CpG site methylation regulates mouse Rec8 gene promoter activity.

IF 2.2 4区 生物学 Q2 AGRICULTURE, DAIRY & ANIMAL SCIENCE
Journal of Reproduction and Development Pub Date : 2025-06-06 Epub Date: 2025-04-04 DOI:10.1262/jrd.2024-077
Mei Rong, Na Feng, Jinghuan Li, Wuyun Dalai
{"title":"CpG site methylation regulates mouse Rec8 gene promoter activity.","authors":"Mei Rong, Na Feng, Jinghuan Li, Wuyun Dalai","doi":"10.1262/jrd.2024-077","DOIUrl":null,"url":null,"abstract":"<p><p>The Rec8 gene is specifically expressed in fetal and adult gonads. Although the importance of REC8 in gametogenesis is widely acknowledged, the mechanisms underlying its germ cell-specific expression remain unclear. In this study, we utilized the mouse Rec8 gene sequence to construct a 2577 bp sequence, which included intron 1 (180 bp), exon 1 (118 bp), and an upstream 2279 bp region. The dual-luciferase assay results showed significant differences in promoter activity between -650 bp and -385 bp and between -89 bp and -35 bp. This indicated that the core promoter region of the Rec8 gene may exist within these regions. Bisulfite sequencing PCR results showed that CpGs 10-19 were largely unmethylated in the testes but hypermethylated in other tissues. Interestingly, correlation analysis between CpG methylation status and Rec8 mRNA expression levels showed that methylation of CpGs 10 to 19 was negatively correlated with Rec8 mRNA expression levels (Pearson's r = -0.991, P = 0.009). Furthermore, RNA-Seq data and bioinformatic analyses suggested that the specific expression of Rec8 may be linked to the presence of TATA-like sequences within its core promoter region. Overall, these findings indicate that Rec8 expression is regulated by the low methylation of CpG sites and the presence of TATA-like sequences in its core promoter.</p>","PeriodicalId":16942,"journal":{"name":"Journal of Reproduction and Development","volume":" ","pages":"145-153"},"PeriodicalIF":2.2000,"publicationDate":"2025-06-06","publicationTypes":"Journal Article","fieldsOfStudy":null,"isOpenAccess":false,"openAccessPdf":"https://www.ncbi.nlm.nih.gov/pmc/articles/PMC12151637/pdf/","citationCount":"0","resultStr":null,"platform":"Semanticscholar","paperid":null,"PeriodicalName":"Journal of Reproduction and Development","FirstCategoryId":"99","ListUrlMain":"https://doi.org/10.1262/jrd.2024-077","RegionNum":4,"RegionCategory":"生物学","ArticlePicture":[],"TitleCN":null,"AbstractTextCN":null,"PMCID":null,"EPubDate":"2025/4/4 0:00:00","PubModel":"Epub","JCR":"Q2","JCRName":"AGRICULTURE, DAIRY & ANIMAL SCIENCE","Score":null,"Total":0}
引用次数: 0

Abstract

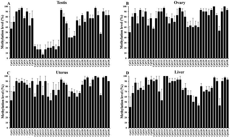
The Rec8 gene is specifically expressed in fetal and adult gonads. Although the importance of REC8 in gametogenesis is widely acknowledged, the mechanisms underlying its germ cell-specific expression remain unclear. In this study, we utilized the mouse Rec8 gene sequence to construct a 2577 bp sequence, which included intron 1 (180 bp), exon 1 (118 bp), and an upstream 2279 bp region. The dual-luciferase assay results showed significant differences in promoter activity between -650 bp and -385 bp and between -89 bp and -35 bp. This indicated that the core promoter region of the Rec8 gene may exist within these regions. Bisulfite sequencing PCR results showed that CpGs 10-19 were largely unmethylated in the testes but hypermethylated in other tissues. Interestingly, correlation analysis between CpG methylation status and Rec8 mRNA expression levels showed that methylation of CpGs 10 to 19 was negatively correlated with Rec8 mRNA expression levels (Pearson's r = -0.991, P = 0.009). Furthermore, RNA-Seq data and bioinformatic analyses suggested that the specific expression of Rec8 may be linked to the presence of TATA-like sequences within its core promoter region. Overall, these findings indicate that Rec8 expression is regulated by the low methylation of CpG sites and the presence of TATA-like sequences in its core promoter.

Abstract Image

Abstract Image

Abstract Image

CpG位点甲基化调控小鼠Rec8基因启动子活性。
Rec8基因在胎儿和成人性腺中特异性表达。尽管REC8在配子发生中的重要性已得到广泛认可,但其生殖细胞特异性表达的机制尚不清楚。在本研究中,我们利用小鼠Rec8基因序列构建了一个2577 bp的序列,包括内含子1 (180 bp)、外显子1 (118 bp)和上游2279 bp区域。双荧光素酶检测结果显示,启动子活性在-650 bp和-385 bp之间、-89 bp和-35 bp之间存在显著差异。这表明Rec8基因的核心启动子区可能存在于这些区域内。亚硫酸氢盐测序PCR结果显示,CpGs 10-19在睾丸中大部分未甲基化,但在其他组织中高甲基化。有趣的是,CpG甲基化状态与Rec8 mRNA表达水平的相关分析显示,CpGs 10 ~ 19的甲基化与Rec8 mRNA表达水平呈负相关(Pearson’s r = -0.991, P = 0.009)。此外,RNA-Seq数据和生物信息学分析表明,Rec8的特异性表达可能与其核心启动子区域中tata样序列的存在有关。总的来说,这些发现表明Rec8的表达受CpG位点的低甲基化和其核心启动子中tata样序列的存在的调控。
本文章由计算机程序翻译,如有差异,请以英文原文为准。
求助全文
约1分钟内获得全文 求助全文
来源期刊
Journal of Reproduction and Development
Journal of Reproduction and Development 生物-奶制品与动物科学
CiteScore
3.70
自引率
11.10%
发文量
52
审稿时长
2 months
期刊介绍: Journal of Reproduction and Development (JRD) is the official journal of the Society for Reproduction and Development, published bimonthly, and welcomes original articles. JRD provides free full-text access of all the published articles on the web. The functions of the journal are managed by Editorial Board Members, such as the Editor-in-Chief, Co-Editor-inChief, Managing Editors and Editors. All manuscripts are peer-reviewed critically by two or more reviewers. Acceptance is based on scientific content and presentation of the materials. The Editors select reviewers and correspond with authors. Final decisions about acceptance or rejection of manuscripts are made by the Editor-in-Chief and Co-Editor-in-Chief.
×
引用
GB/T 7714-2015
复制
MLA
复制
APA
复制
导出至
BibTeX EndNote RefMan NoteFirst NoteExpress
×
提示
您的信息不完整,为了账户安全,请先补充。
现在去补充
×
提示
您因"违规操作"
具体请查看互助需知
我知道了
×
提示
确定
请完成安全验证×
copy
已复制链接
快去分享给好友吧!
我知道了
右上角分享
点击右上角分享
0
联系我们:info@booksci.cn Book学术提供免费学术资源搜索服务,方便国内外学者检索中英文文献。致力于提供最便捷和优质的服务体验。 Copyright © 2023 布克学术 All rights reserved.
京ICP备2023020795号-1
ghs 京公网安备 11010802042870号
Book学术文献互助
Book学术文献互助群
群 号:604180095
Book学术官方微信