Competitive demands during international sprint-distance triathlon races according to the course type: The influence of cycling on subsequent running performance.

IF 5.9 2区 医学 Q1 SPORT SCIENCES
Raúl Espejo, Jesús Martínez-Sobrino, Santiago Veiga
{"title":"Competitive demands during international sprint-distance triathlon races according to the course type: The influence of cycling on subsequent running performance.","authors":"Raúl Espejo, Jesús Martínez-Sobrino, Santiago Veiga","doi":"10.1186/s40798-025-00828-7","DOIUrl":null,"url":null,"abstract":"<p><strong>Background: </strong>Despite the great contribution of the cycling segment to the Sprint-Distance Triathlon (SDT) races, very few studies have reported the power output of elite triathletes during races. The aim of this study was to analyse the competitive demands of elite triathletes during the cycling segment of SDT races and their influence on the subsequent running segment performance, considering the different types of race courses.</p><p><strong>Methods: </strong>Power variables during the cycling segment as well as the running performance metrics during 82 SDT races organised by World Triathlon (68 Continental Cups and Championships, 12 World Cups, and 2 World Triathlon Series) were analysed in 10 male and 7 female U23 participants.</p><p><strong>Results: </strong>The number of power peaks above 800 W and 1000 W for males was significantly greater (p < 0.05) in the technical courses (23 ± 13 and 5 ± 6 peaks, respectively) compared to the rolling courses (10 ± 6 and 2 ± 2 peaks, respectively). Similarly, females presented more (p < 0.05) power peaks above 500 W in the technical courses (24 ± 9 peaks) than in the rolling courses (14 ± 7 peaks). Additionally, the percentage of race time in severe power bands increased from rolling to technical courses in both sexes (males 21 ± 1% to 24 ± 2% and females 12 ± 1% to 15 ± 1%, both p < 0.05). Males spent a greater percentage of race time in the moderate (< 2 W·kg⁻¹) and severe (> 6 W·kg⁻¹) power bands, but a lower percentage in the heavy (2-6 W·kg⁻¹) band compared to females (p < 0.05). Time spent in the heavy (200-400 W) and severe (> 400 W) power bands showed a strong correlation with running rankings for males on both rolling (r = 0.62) and technical (r = 0.55) courses, as well as for females on rolling courses (r = 0.52).</p><p><strong>Conclusions: </strong>An increased number of corners in SDT cycling courses requires more focused training on repeated power peaks and spending more time in the > 6 W·kg⁻¹ power bands to minimize performance losses in the subsequent running segment.</p>","PeriodicalId":21788,"journal":{"name":"Sports Medicine - Open","volume":"11 1","pages":"32"},"PeriodicalIF":5.9000,"publicationDate":"2025-04-05","publicationTypes":"Journal Article","fieldsOfStudy":null,"isOpenAccess":false,"openAccessPdf":"https://www.ncbi.nlm.nih.gov/pmc/articles/PMC11972242/pdf/","citationCount":"0","resultStr":null,"platform":"Semanticscholar","paperid":null,"PeriodicalName":"Sports Medicine - Open","FirstCategoryId":"3","ListUrlMain":"https://doi.org/10.1186/s40798-025-00828-7","RegionNum":2,"RegionCategory":"医学","ArticlePicture":[],"TitleCN":null,"AbstractTextCN":null,"PMCID":null,"EPubDate":"","PubModel":"","JCR":"Q1","JCRName":"SPORT SCIENCES","Score":null,"Total":0}
引用次数: 0

Abstract

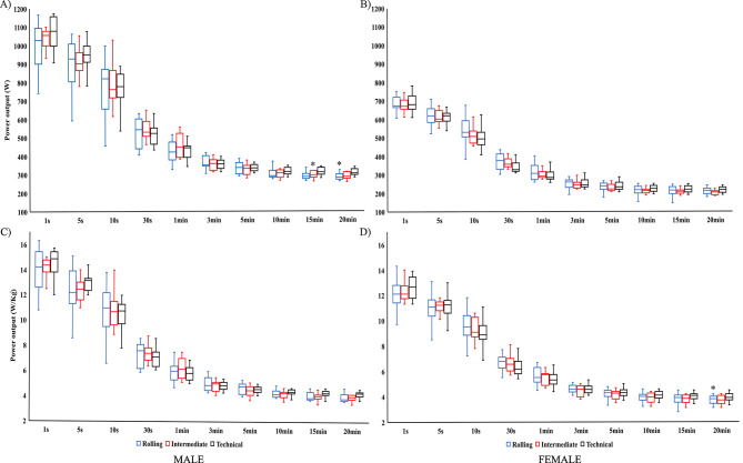
Background: Despite the great contribution of the cycling segment to the Sprint-Distance Triathlon (SDT) races, very few studies have reported the power output of elite triathletes during races. The aim of this study was to analyse the competitive demands of elite triathletes during the cycling segment of SDT races and their influence on the subsequent running segment performance, considering the different types of race courses.

Methods: Power variables during the cycling segment as well as the running performance metrics during 82 SDT races organised by World Triathlon (68 Continental Cups and Championships, 12 World Cups, and 2 World Triathlon Series) were analysed in 10 male and 7 female U23 participants.

Results: The number of power peaks above 800 W and 1000 W for males was significantly greater (p < 0.05) in the technical courses (23 ± 13 and 5 ± 6 peaks, respectively) compared to the rolling courses (10 ± 6 and 2 ± 2 peaks, respectively). Similarly, females presented more (p < 0.05) power peaks above 500 W in the technical courses (24 ± 9 peaks) than in the rolling courses (14 ± 7 peaks). Additionally, the percentage of race time in severe power bands increased from rolling to technical courses in both sexes (males 21 ± 1% to 24 ± 2% and females 12 ± 1% to 15 ± 1%, both p < 0.05). Males spent a greater percentage of race time in the moderate (< 2 W·kg⁻¹) and severe (> 6 W·kg⁻¹) power bands, but a lower percentage in the heavy (2-6 W·kg⁻¹) band compared to females (p < 0.05). Time spent in the heavy (200-400 W) and severe (> 400 W) power bands showed a strong correlation with running rankings for males on both rolling (r = 0.62) and technical (r = 0.55) courses, as well as for females on rolling courses (r = 0.52).

Conclusions: An increased number of corners in SDT cycling courses requires more focused training on repeated power peaks and spending more time in the > 6 W·kg⁻¹ power bands to minimize performance losses in the subsequent running segment.

Abstract Image

Abstract Image

按赛道类型划分的国际短程铁人三项比赛的竞技需求:骑行对后续跑步表现的影响。
背景:尽管自行车部分在三项全能短跑(SDT)比赛中做出了巨大贡献,但很少有研究报道精英三项全能运动员在比赛中的功率输出。本研究的目的是分析优秀铁人三项运动员在SDT比赛中自行车赛段的竞争需求及其对随后跑步赛段表现的影响,考虑不同类型的赛道。方法:对世界铁人三项组织的82场SDT比赛(68场洲际杯和锦标赛、12场世界杯和2场世界铁人三项系列赛)中10名男性和7名女性U23选手进行自行车赛段的动力变量和跑步性能指标分析。结果:800w和1000w以上的功率峰值在男性中明显更大(p6w·kg毒枭),但在重型(2- 6w·kg毒枭)功率波段中所占的百分比比女性(p400w)低,这表明男性在滚道(r = 0.62)和技术(r = 0.55)跑道上的跑步排名与女性在滚道(r = 0.52)上的跑步排名有很强的相关性。结论:随着SDT赛道弯道数量的增加,需要对重复的功率峰值进行更集中的训练,并将更多的时间花在bb6 W·kg - 1功率带上,以尽量减少后续跑段的性能损失。
本文章由计算机程序翻译,如有差异,请以英文原文为准。
求助全文
约1分钟内获得全文 求助全文
来源期刊
Sports Medicine - Open
Sports Medicine - Open SPORT SCIENCES-
CiteScore
7.00
自引率
4.30%
发文量
142
审稿时长
13 weeks
×
引用
GB/T 7714-2015
复制
MLA
复制
APA
复制
导出至
BibTeX EndNote RefMan NoteFirst NoteExpress
×
提示
您的信息不完整,为了账户安全,请先补充。
现在去补充
×
提示
您因"违规操作"
具体请查看互助需知
我知道了
×
提示
确定
请完成安全验证×
copy
已复制链接
快去分享给好友吧!
我知道了
右上角分享
点击右上角分享
0
联系我们:info@booksci.cn Book学术提供免费学术资源搜索服务,方便国内外学者检索中英文文献。致力于提供最便捷和优质的服务体验。 Copyright © 2023 布克学术 All rights reserved.
京ICP备2023020795号-1
ghs 京公网安备 11010802042870号
Book学术文献互助
Book学术文献互助群
群 号:604180095
Book学术官方微信