Perfect health not so perfect after all - a methodological study on patient-reported outcome measures in 2574 patients following percutaneous coronary intervention.

IF 3.4 2区 医学 Q1 HEALTH CARE SCIENCES & SERVICES
T M Norekvål, M M Iversen, K Oterhals, H Allore, B Borregaard, T R Pettersen, D R Thompson, A D Zwisler, K Breivik
{"title":"Perfect health not so perfect after all - a methodological study on patient-reported outcome measures in 2574 patients following percutaneous coronary intervention.","authors":"T M Norekvål, M M Iversen, K Oterhals, H Allore, B Borregaard, T R Pettersen, D R Thompson, A D Zwisler, K Breivik","doi":"10.1186/s12955-025-02360-4","DOIUrl":null,"url":null,"abstract":"<p><strong>Background: </strong>Patient-reported outcome measures (PROMs) are crucial to capture patients' health and illness status. Selecting the most suitable PROM to measure self-reported health in a specific study population is essential. Shortcomings of much used generic instruments have been identified in certain populations, and more investigation is needed to clarify the extent to which the generic instruments capture the aspects of health that really matter to patients. Therefore, the aim of this study was to determine floor and ceiling effects of a generic health utility instrument (EQ-5D-5L) in an international multi-centre cohort of patients after percutaneous coronary intervention (PCI) and further explore those with perfect health scores by using a disease-specific instrument.</p><p><strong>Methods: </strong>The CONCARD<sup>PCI</sup> study was conducted at seven large referral PCI centres in Norway and Denmark between June 2017 and May 2020. In all, 2574 unique patients were available for this analysis. The generic EQ-5D-5L descriptive system and visual analogue scale, and the disease-specific Myocardial Infarction Dimensional Assessment Scale (MIDAS) comprising 35 items measuring seven areas of health status and daily life challenges were used to scrutinize the aims. Latent class analyses were conducted to identify classes with similar patterns of daily life challenges based on MIDAS item scores within the group of patients with best possible EQ-5D-5L score ('perfect scorers').</p><p><strong>Results: </strong>There was a large ceiling effect on the EQ-5D-5L score in patients with coronary artery disease (CAD) with 32% scoring the best possible EQ-5D-5L score, suggesting perfect health. Latent class analysis on the MIDAS revealed, however, four classes where 17-46% of the perfect scorers did perceive challenges in health, particularly related to symptoms of fatigue, and worries about risk factors and side effects of medication.</p><p><strong>Conclusion: </strong>To obtain an accurate picture of patients' health status, these results emphasize that both generic and disease-specific patient-reported outcomes measures are needed to capture the distinct problems that patients with CAD experience after PCI. Caution should be made when using the EQ-5D-5L as the sole measure, particularly in priority settings, due to its potential ceiling effect and the fact that important aspects of patient health may be neglected.</p><p><strong>Trial registration: </strong>NCT03810612.</p>","PeriodicalId":12980,"journal":{"name":"Health and Quality of Life Outcomes","volume":"23 1","pages":"35"},"PeriodicalIF":3.4000,"publicationDate":"2025-04-05","publicationTypes":"Journal Article","fieldsOfStudy":null,"isOpenAccess":false,"openAccessPdf":"https://www.ncbi.nlm.nih.gov/pmc/articles/PMC11972467/pdf/","citationCount":"0","resultStr":null,"platform":"Semanticscholar","paperid":null,"PeriodicalName":"Health and Quality of Life Outcomes","FirstCategoryId":"3","ListUrlMain":"https://doi.org/10.1186/s12955-025-02360-4","RegionNum":2,"RegionCategory":"医学","ArticlePicture":[],"TitleCN":null,"AbstractTextCN":null,"PMCID":null,"EPubDate":"","PubModel":"","JCR":"Q1","JCRName":"HEALTH CARE SCIENCES & SERVICES","Score":null,"Total":0}
引用次数: 0

Abstract

Background: Patient-reported outcome measures (PROMs) are crucial to capture patients' health and illness status. Selecting the most suitable PROM to measure self-reported health in a specific study population is essential. Shortcomings of much used generic instruments have been identified in certain populations, and more investigation is needed to clarify the extent to which the generic instruments capture the aspects of health that really matter to patients. Therefore, the aim of this study was to determine floor and ceiling effects of a generic health utility instrument (EQ-5D-5L) in an international multi-centre cohort of patients after percutaneous coronary intervention (PCI) and further explore those with perfect health scores by using a disease-specific instrument.

Methods: The CONCARDPCI study was conducted at seven large referral PCI centres in Norway and Denmark between June 2017 and May 2020. In all, 2574 unique patients were available for this analysis. The generic EQ-5D-5L descriptive system and visual analogue scale, and the disease-specific Myocardial Infarction Dimensional Assessment Scale (MIDAS) comprising 35 items measuring seven areas of health status and daily life challenges were used to scrutinize the aims. Latent class analyses were conducted to identify classes with similar patterns of daily life challenges based on MIDAS item scores within the group of patients with best possible EQ-5D-5L score ('perfect scorers').

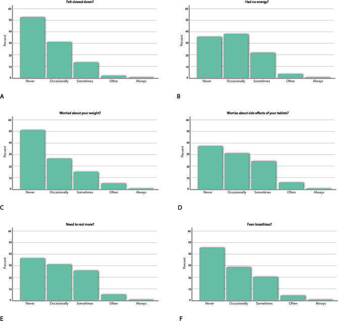
Results: There was a large ceiling effect on the EQ-5D-5L score in patients with coronary artery disease (CAD) with 32% scoring the best possible EQ-5D-5L score, suggesting perfect health. Latent class analysis on the MIDAS revealed, however, four classes where 17-46% of the perfect scorers did perceive challenges in health, particularly related to symptoms of fatigue, and worries about risk factors and side effects of medication.

Conclusion: To obtain an accurate picture of patients' health status, these results emphasize that both generic and disease-specific patient-reported outcomes measures are needed to capture the distinct problems that patients with CAD experience after PCI. Caution should be made when using the EQ-5D-5L as the sole measure, particularly in priority settings, due to its potential ceiling effect and the fact that important aspects of patient health may be neglected.

Trial registration: NCT03810612.

Abstract Image

Abstract Image

Abstract Image

完美的健康并不是那么完美——一项对2574例经皮冠状动脉介入治疗后患者报告的结果的方法学研究
背景:患者报告的结果测量(PROMs)对于捕获患者的健康和疾病状态至关重要。在特定研究人群中选择最合适的PROM来衡量自我报告的健康状况是至关重要的。在某些人群中发现了大量使用的通用仪器的缺点,需要进行更多的调查,以澄清通用仪器在多大程度上捕捉到对患者真正重要的健康方面。因此,本研究的目的是确定通用健康实用仪器(EQ-5D-5L)在经皮冠状动脉介入治疗(PCI)后的国际多中心队列患者中的下限和上限效应,并进一步探索使用疾病特异性仪器获得完美健康评分的患者。方法:CONCARDPCI研究于2017年6月至2020年5月在挪威和丹麦的7家大型转诊PCI中心进行。总共有2574名独特的患者可用于该分析。采用通用的EQ-5D-5L描述系统和视觉模拟量表,以及由7个健康状况和日常生活挑战领域的35个项目组成的疾病特异性心肌梗死维度评估量表(MIDAS)来审查目标。进行潜在类别分析,以确定在具有最佳EQ-5D-5L评分(“完美评分者”)的患者组中具有相似日常生活挑战模式的类别。结果:冠心病(CAD)患者的EQ-5D-5L评分存在较大的天花板效应,32%的患者EQ-5D-5L评分达到可能的最佳水平,表明健康状况良好。然而,对MIDAS的潜在类别分析显示,在四个类别中,17-46%的满分者确实感受到健康方面的挑战,特别是与疲劳症状有关的挑战,以及对风险因素和药物副作用的担忧。结论:为了准确了解患者的健康状况,这些结果强调,需要采用通用和疾病特异性患者报告的结果测量方法来捕捉CAD患者在PCI后经历的不同问题。当使用EQ-5D-5L作为唯一的测量时,特别是在优先设置时,由于其潜在的天花板效应和患者健康的重要方面可能被忽视的事实,应谨慎使用。试验注册:NCT03810612。
本文章由计算机程序翻译,如有差异,请以英文原文为准。
求助全文
约1分钟内获得全文 求助全文
来源期刊
CiteScore
7.30
自引率
2.80%
发文量
154
审稿时长
3-8 weeks
期刊介绍: Health and Quality of Life Outcomes is an open access, peer-reviewed, journal offering high quality articles, rapid publication and wide diffusion in the public domain. Health and Quality of Life Outcomes considers original manuscripts on the Health-Related Quality of Life (HRQOL) assessment for evaluation of medical and psychosocial interventions. It also considers approaches and studies on psychometric properties of HRQOL and patient reported outcome measures, including cultural validation of instruments if they provide information about the impact of interventions. The journal publishes study protocols and reviews summarising the present state of knowledge concerning a particular aspect of HRQOL and patient reported outcome measures. Reviews should generally follow systematic review methodology. Comments on articles and letters to the editor are welcome.
×
引用
GB/T 7714-2015
复制
MLA
复制
APA
复制
导出至
BibTeX EndNote RefMan NoteFirst NoteExpress
×
提示
您的信息不完整,为了账户安全,请先补充。
现在去补充
×
提示
您因"违规操作"
具体请查看互助需知
我知道了
×
提示
确定
请完成安全验证×
copy
已复制链接
快去分享给好友吧!
我知道了
右上角分享
点击右上角分享
0
联系我们:info@booksci.cn Book学术提供免费学术资源搜索服务,方便国内外学者检索中英文文献。致力于提供最便捷和优质的服务体验。 Copyright © 2023 布克学术 All rights reserved.
京ICP备2023020795号-1
ghs 京公网安备 11010802042870号
Book学术文献互助
Book学术文献互助群
群 号:604180095
Book学术官方微信