Effects of localized and general fatigue on postural adjustments coupling during predictable external perturbations.

IF 2.7 3区 医学 Q2 PHYSIOLOGY
European Journal of Applied Physiology Pub Date : 2025-09-01 Epub Date: 2025-04-05 DOI:10.1007/s00421-025-05760-y
Mauro Nardon, Francesco Piscitelli, Cristiano Alessandro, Enrico Tam, Matteo Bertucco
{"title":"Effects of localized and general fatigue on postural adjustments coupling during predictable external perturbations.","authors":"Mauro Nardon, Francesco Piscitelli, Cristiano Alessandro, Enrico Tam, Matteo Bertucco","doi":"10.1007/s00421-025-05760-y","DOIUrl":null,"url":null,"abstract":"<p><strong>Purpose: </strong>The central nervous system (CNS) coordinates anticipatory (APA) and compensatory postural adjustments (CPA) to face both self-induced and external perturbations. Neuromuscular fatigue (NMF), whether localized or general, impairs the CNS's ability to maintain postural stability, but the differential effects of these fatigue types on the coupling between APA and CPA remain unclear. This study aimed to investigate how localized and general NMF influence the neuromuscular control of postural adjustments during predictable external perturbations.</p><p><strong>Methods: </strong>Fourteen participants were exposed to two exercise protocols: intermittent isometric exercise to induce localized NMF and prolonged upper body exercise at high cardiometabolic effort to induce general NMF. Exercise intensity was monitored by measuring cardiometabolic parameters during exercise and recovery. Postural adjustments were assessed before and after NMF (recovery period) using electromyography and kinematic analyses while participants were exposed to predictable perturbations.</p><p><strong>Results: </strong>Localized NMF led to decreased muscle activation and co-activation across both fatigued and non-fatigued muscles during APA, with persistent kinematic changes in lower limb joints. In contrast, general NMF induced short-lived increases in EMG activity and co-activation, reflecting a strategic CNS adaptation to maintain stability.</p><p><strong>Conclusions: </strong>The results suggest that localized NMF induces a more extensive and enduring impact on postural control mechanisms, likely due to altered proprioceptive feedback, whereas general NMF effects are more transient, aligning with the rapid recovery of cardiometabolic parameters. These findings highlight the CNS's role in differentially adapting postural strategies depending on the type of fatigue, with implications for understanding how fatigue impacts stability in dynamic environments.</p>","PeriodicalId":12005,"journal":{"name":"European Journal of Applied Physiology","volume":" ","pages":"2539-2561"},"PeriodicalIF":2.7000,"publicationDate":"2025-09-01","publicationTypes":"Journal Article","fieldsOfStudy":null,"isOpenAccess":false,"openAccessPdf":"https://www.ncbi.nlm.nih.gov/pmc/articles/PMC12423267/pdf/","citationCount":"0","resultStr":null,"platform":"Semanticscholar","paperid":null,"PeriodicalName":"European Journal of Applied Physiology","FirstCategoryId":"3","ListUrlMain":"https://doi.org/10.1007/s00421-025-05760-y","RegionNum":3,"RegionCategory":"医学","ArticlePicture":[],"TitleCN":null,"AbstractTextCN":null,"PMCID":null,"EPubDate":"2025/4/5 0:00:00","PubModel":"Epub","JCR":"Q2","JCRName":"PHYSIOLOGY","Score":null,"Total":0}
引用次数: 0

Abstract

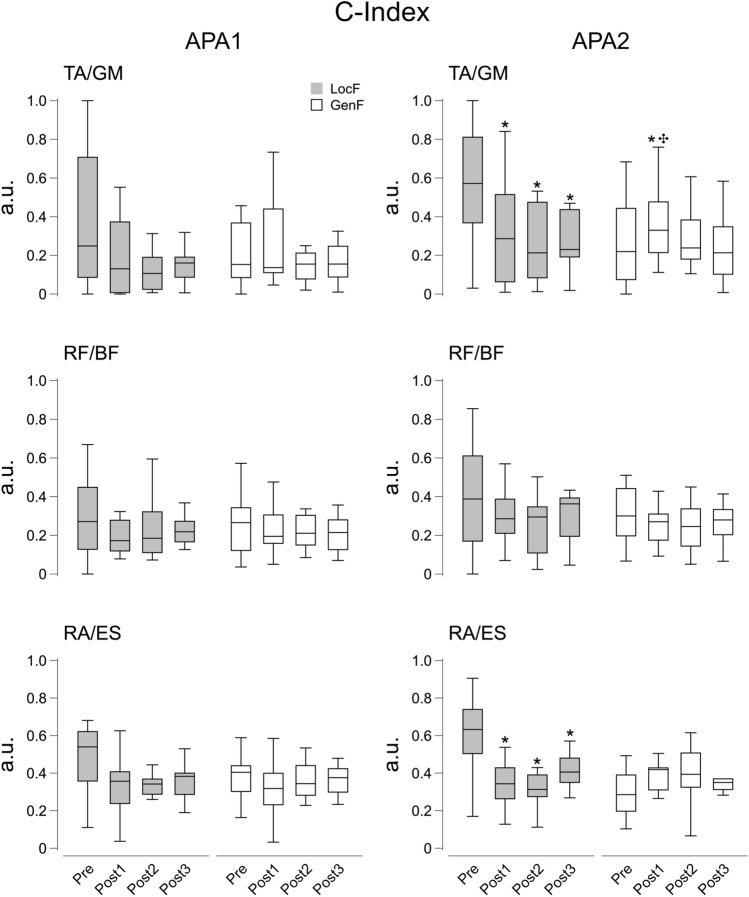
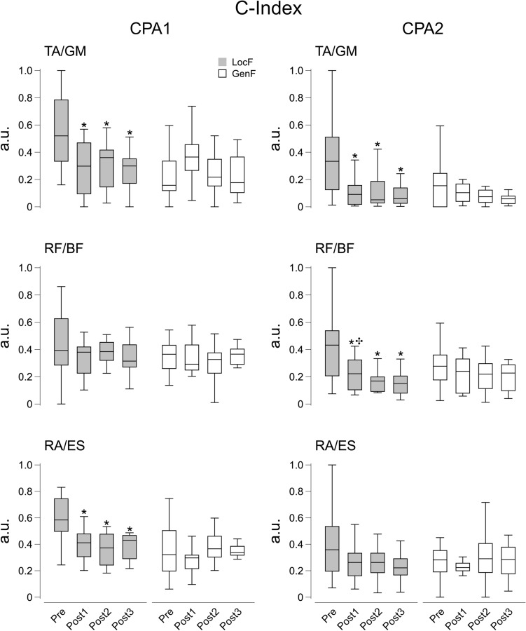
Purpose: The central nervous system (CNS) coordinates anticipatory (APA) and compensatory postural adjustments (CPA) to face both self-induced and external perturbations. Neuromuscular fatigue (NMF), whether localized or general, impairs the CNS's ability to maintain postural stability, but the differential effects of these fatigue types on the coupling between APA and CPA remain unclear. This study aimed to investigate how localized and general NMF influence the neuromuscular control of postural adjustments during predictable external perturbations.

Methods: Fourteen participants were exposed to two exercise protocols: intermittent isometric exercise to induce localized NMF and prolonged upper body exercise at high cardiometabolic effort to induce general NMF. Exercise intensity was monitored by measuring cardiometabolic parameters during exercise and recovery. Postural adjustments were assessed before and after NMF (recovery period) using electromyography and kinematic analyses while participants were exposed to predictable perturbations.

Results: Localized NMF led to decreased muscle activation and co-activation across both fatigued and non-fatigued muscles during APA, with persistent kinematic changes in lower limb joints. In contrast, general NMF induced short-lived increases in EMG activity and co-activation, reflecting a strategic CNS adaptation to maintain stability.

Conclusions: The results suggest that localized NMF induces a more extensive and enduring impact on postural control mechanisms, likely due to altered proprioceptive feedback, whereas general NMF effects are more transient, aligning with the rapid recovery of cardiometabolic parameters. These findings highlight the CNS's role in differentially adapting postural strategies depending on the type of fatigue, with implications for understanding how fatigue impacts stability in dynamic environments.

Abstract Image

Abstract Image

Abstract Image

在可预测的外部扰动中,局部和全身疲劳对姿势调整耦合的影响。
目的:中枢神经系统(CNS)协调预期性(APA)和代偿性体位调节(CPA)来面对自我诱导和外部扰动。神经肌肉疲劳(NMF),无论是局部的还是全身性的,都会损害中枢神经系统维持姿势稳定性的能力,但这些疲劳类型对APA和CPA之间耦合的不同影响尚不清楚。本研究旨在探讨局部和一般NMF如何在可预测的外部扰动中影响姿势调整的神经肌肉控制。方法:14名参与者接受两种运动方案:间歇性等长运动诱导局部NMF和长时间高心脏代谢运动诱导全身NMF。通过测量运动和恢复期间的心脏代谢参数来监测运动强度。当参与者暴露于可预测的扰动时,使用肌电图和运动学分析评估NMF(恢复期)前后的姿势调整。结果:局部NMF导致APA期间疲劳和非疲劳肌肉的肌肉激活和共激活减少,并伴有下肢关节持续的运动学变化。相比之下,一般NMF诱导肌电活动和共激活的短暂增加,反映了中枢神经系统为维持稳定而进行的战略性适应。结论:研究结果表明,局部NMF对体位控制机制的影响更广泛、更持久,这可能是由于本体感觉反馈的改变,而一般NMF的影响更短暂,与心脏代谢参数的快速恢复一致。这些发现强调了中枢神经系统在根据疲劳类型不同地适应姿势策略中的作用,这对理解疲劳如何影响动态环境中的稳定性具有重要意义。
本文章由计算机程序翻译,如有差异,请以英文原文为准。
求助全文
约1分钟内获得全文 求助全文
来源期刊
CiteScore
6.00
自引率
6.70%
发文量
227
审稿时长
3 months
期刊介绍: The European Journal of Applied Physiology (EJAP) aims to promote mechanistic advances in human integrative and translational physiology. Physiology is viewed broadly, having overlapping context with related disciplines such as biomechanics, biochemistry, endocrinology, ergonomics, immunology, motor control, and nutrition. EJAP welcomes studies dealing with physical exercise, training and performance. Studies addressing physiological mechanisms are preferred over descriptive studies. Papers dealing with animal models or pathophysiological conditions are not excluded from consideration, but must be clearly relevant to human physiology.
×
引用
GB/T 7714-2015
复制
MLA
复制
APA
复制
导出至
BibTeX EndNote RefMan NoteFirst NoteExpress
×
提示
您的信息不完整,为了账户安全,请先补充。
现在去补充
×
提示
您因"违规操作"
具体请查看互助需知
我知道了
×
提示
确定
请完成安全验证×
copy
已复制链接
快去分享给好友吧!
我知道了
右上角分享
点击右上角分享
0
联系我们:info@booksci.cn Book学术提供免费学术资源搜索服务,方便国内外学者检索中英文文献。致力于提供最便捷和优质的服务体验。 Copyright © 2023 布克学术 All rights reserved.
京ICP备2023020795号-1
ghs 京公网安备 11010802042870号
Book学术文献互助
Book学术文献互助群
群 号:604180095
Book学术官方微信