Optimization of triterpenoids biosynthesis in Athelia termitophila as a source of natural products.

IF 3.7 3区 生物学 Q2 BIOTECHNOLOGY & APPLIED MICROBIOLOGY
Fangcheng Hu, Yonggang Fang, Zahid Khan, Lianxi Xing
{"title":"Optimization of triterpenoids biosynthesis in Athelia termitophila as a source of natural products.","authors":"Fangcheng Hu, Yonggang Fang, Zahid Khan, Lianxi Xing","doi":"10.1186/s13568-025-01840-6","DOIUrl":null,"url":null,"abstract":"<p><p>Triterpenoids exhibit considerable potential and are extensively utilized in both food and pharmaceutical industries. However, Athelia termitophila (TMB) naturally harbors only trace amounts of these compounds. Consequently, this study sought to optimize the composition of the culture medium and its cultivation parameters to augment both triterpenoids biosynthesis and TMB biomass. To this end, a series of systematic experiments were carried out. At the outset, a One Factor at a Time (OFAT) approach was employed to identify key culture components and conditions. Based on the OFAT findings, six factors were selected for further investigation using the Plackett-Burman design (PBD) to assess their influence on triterpenoids production and biomass yield. The PBD outcomes pinpointed three critical factors-cultural duration, yeast extract powder, and KH<sub>2</sub>PO<sub>4</sub>-each of which was subjected to further optimization through the Box-Behnken design (BBD). The BBD analysis determined the optimal culture medium and conditions: 30 g/L corn starch, 13.44 g/L yeast extract powder, 4.74 g/L KH<sub>2</sub>PO<sub>4</sub>, a liquid-to-volume ratio of 130/250 mL, 6% inoculum volumes, and a cultivation period of 7.8 days. Upon optimization, both triterpenoids yield (1.9-fold increase) and mycelial biomass (1.66-fold increase) were significantly enhanced compared to the unoptimized medium. This study not only provides a robust methodology for enhancing triterpenoids content and mycelial biomass in TMB, but also contributes novel insights into the biosynthesis of triterpenoids.</p>","PeriodicalId":7537,"journal":{"name":"AMB Express","volume":"15 1","pages":"61"},"PeriodicalIF":3.7000,"publicationDate":"2025-04-05","publicationTypes":"Journal Article","fieldsOfStudy":null,"isOpenAccess":false,"openAccessPdf":"https://www.ncbi.nlm.nih.gov/pmc/articles/PMC11972269/pdf/","citationCount":"0","resultStr":null,"platform":"Semanticscholar","paperid":null,"PeriodicalName":"AMB Express","FirstCategoryId":"5","ListUrlMain":"https://doi.org/10.1186/s13568-025-01840-6","RegionNum":3,"RegionCategory":"生物学","ArticlePicture":[],"TitleCN":null,"AbstractTextCN":null,"PMCID":null,"EPubDate":"","PubModel":"","JCR":"Q2","JCRName":"BIOTECHNOLOGY & APPLIED MICROBIOLOGY","Score":null,"Total":0}
引用次数: 0

Abstract

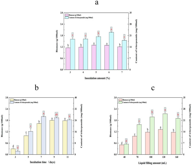
Triterpenoids exhibit considerable potential and are extensively utilized in both food and pharmaceutical industries. However, Athelia termitophila (TMB) naturally harbors only trace amounts of these compounds. Consequently, this study sought to optimize the composition of the culture medium and its cultivation parameters to augment both triterpenoids biosynthesis and TMB biomass. To this end, a series of systematic experiments were carried out. At the outset, a One Factor at a Time (OFAT) approach was employed to identify key culture components and conditions. Based on the OFAT findings, six factors were selected for further investigation using the Plackett-Burman design (PBD) to assess their influence on triterpenoids production and biomass yield. The PBD outcomes pinpointed three critical factors-cultural duration, yeast extract powder, and KH2PO4-each of which was subjected to further optimization through the Box-Behnken design (BBD). The BBD analysis determined the optimal culture medium and conditions: 30 g/L corn starch, 13.44 g/L yeast extract powder, 4.74 g/L KH2PO4, a liquid-to-volume ratio of 130/250 mL, 6% inoculum volumes, and a cultivation period of 7.8 days. Upon optimization, both triterpenoids yield (1.9-fold increase) and mycelial biomass (1.66-fold increase) were significantly enhanced compared to the unoptimized medium. This study not only provides a robust methodology for enhancing triterpenoids content and mycelial biomass in TMB, but also contributes novel insights into the biosynthesis of triterpenoids.

Abstract Image

Abstract Image

Abstract Image

作为天然产物来源的嗜白蚁三萜类生物合成的优化。
三萜具有相当大的潜力,在食品和制药工业中得到广泛应用。然而,嗜白蚁(Athelia termitophila, TMB)天然只含有微量的这些化合物。因此,本研究试图优化培养基的组成及其培养参数,以增加三萜类生物合成和TMB生物量。为此,进行了一系列系统的实验。一开始,采用一次一个因素(OFAT)方法来确定关键的培养成分和条件。基于OFAT的研究结果,我们选择了6个因素进行进一步研究,使用Plackett-Burman设计(PBD)来评估它们对三萜产量和生物量产量的影响。PBD结果确定了三个关键因素:培养时间、酵母提取物粉和kh2po4,每个因素都通过Box-Behnken设计(BBD)进一步优化。BBD分析确定了最佳培养基和培养条件:玉米淀粉30 g/L,酵母浸膏粉13.44 g/L, KH2PO4 4.74 g/L,液量比130/250 mL,接种量6%,培养时间7.8 d。优化后,与未优化培养基相比,三萜产量和菌丝生物量均显著提高(分别提高1.9倍和1.66倍)。该研究不仅为提高TMB中三萜含量和菌丝生物量提供了可靠的方法,而且为三萜的生物合成提供了新的见解。
本文章由计算机程序翻译,如有差异,请以英文原文为准。
求助全文
约1分钟内获得全文 求助全文
来源期刊
AMB Express
AMB Express BIOTECHNOLOGY & APPLIED MICROBIOLOGY-
CiteScore
7.20
自引率
2.70%
发文量
141
审稿时长
13 weeks
期刊介绍: AMB Express is a high quality journal that brings together research in the area of Applied and Industrial Microbiology with a particular interest in ''White Biotechnology'' and ''Red Biotechnology''. The emphasis is on processes employing microorganisms, eukaryotic cell cultures or enzymes for the biosynthesis, transformation and degradation of compounds. This includes fine and bulk chemicals, polymeric compounds and enzymes or other proteins. Downstream processes are also considered. Integrated processes combining biochemical and chemical processes are also published.
×
引用
GB/T 7714-2015
复制
MLA
复制
APA
复制
导出至
BibTeX EndNote RefMan NoteFirst NoteExpress
×
提示
您的信息不完整,为了账户安全,请先补充。
现在去补充
×
提示
您因"违规操作"
具体请查看互助需知
我知道了
×
提示
确定
请完成安全验证×
copy
已复制链接
快去分享给好友吧!
我知道了
右上角分享
点击右上角分享
0
联系我们:info@booksci.cn Book学术提供免费学术资源搜索服务,方便国内外学者检索中英文文献。致力于提供最便捷和优质的服务体验。 Copyright © 2023 布克学术 All rights reserved.
京ICP备2023020795号-1
ghs 京公网安备 11010802042870号
Book学术文献互助
Book学术文献互助群
群 号:604180095
Book学术官方微信