Metabolic cost of physical rehabilitation in mechanically ventilated patients in critical care: an observational study.

IF 3.4 3区 医学 Q1 RESPIRATORY SYSTEM
Timothy O Jenkins, Dan Stieper Karbing, Stephen Edward Rees, Mathias Krogh Poulsen, Brijesh V Patel, Michael I Polkey, Vicky MacBean
{"title":"Metabolic cost of physical rehabilitation in mechanically ventilated patients in critical care: an observational study.","authors":"Timothy O Jenkins, Dan Stieper Karbing, Stephen Edward Rees, Mathias Krogh Poulsen, Brijesh V Patel, Michael I Polkey, Vicky MacBean","doi":"10.1136/bmjresp-2024-002878","DOIUrl":null,"url":null,"abstract":"<p><strong>Background: </strong>Physical rehabilitation is advocated to improve muscle strength and function after critical illness, yet interventional studies have reported inconsistent benefits. A greater insight into patients' physiological response to exercise may provide an option to prescribe individualised, targeted rehabilitation, yet there is limited data measuring oxygen consumption (VO<sub>2</sub>) during physical rehabilitation. We aimed to test the feasibility of measuring VO<sub>2</sub> during seated and standing exercise using the Beacon Caresystem and quantify within- and between-patient variability of VO<sub>2</sub> percentage change.</p><p><strong>Methods: </strong>We conducted a prospective observational study on patients mechanically ventilated for ≥72 hours and able to participate in physical rehabilitation in critical care. Oxygen consumption was measured continuously using indirect calorimetry. A total of 29 measurements were taken from ten participants performing active sitting and standing exercise.</p><p><strong>Results: </strong>Median (IQR) first session baseline VO<sub>2</sub> was 3.54 (2.9-3.9) mL/kg/min, increasing significantly to 4.37 (3.96-5.14) mL/kg/min during exercise (p=0.005). The median (IQR) coefficient of variation of VO<sub>2</sub> percentage change in participants (n=7) who completed more than one rehabilitation session (range 2-7 sessions) was 43 (34-61)% in 26 measurements. The median (IQR) coefficient of variation of VO<sub>2</sub> percentage change was 46 (26-63)% in participants performing >1 sitting exercise session (six participants, 19 sessions).</p><p><strong>Conclusions: </strong>VO<sub>2</sub> increases significantly with exercise but is highly variable between participants, and in the same participant on separate occasions, performing the same functional activity. These data suggest that simplified measures of function do not necessarily relate to oxygen consumption.</p><p><strong>Trial registration number: </strong>NCT05101850.</p>","PeriodicalId":9048,"journal":{"name":"BMJ Open Respiratory Research","volume":"12 1","pages":""},"PeriodicalIF":3.4000,"publicationDate":"2025-04-05","publicationTypes":"Journal Article","fieldsOfStudy":null,"isOpenAccess":false,"openAccessPdf":"https://www.ncbi.nlm.nih.gov/pmc/articles/PMC11973748/pdf/","citationCount":"0","resultStr":null,"platform":"Semanticscholar","paperid":null,"PeriodicalName":"BMJ Open Respiratory Research","FirstCategoryId":"3","ListUrlMain":"https://doi.org/10.1136/bmjresp-2024-002878","RegionNum":3,"RegionCategory":"医学","ArticlePicture":[],"TitleCN":null,"AbstractTextCN":null,"PMCID":null,"EPubDate":"","PubModel":"","JCR":"Q1","JCRName":"RESPIRATORY SYSTEM","Score":null,"Total":0}
引用次数: 0

Abstract

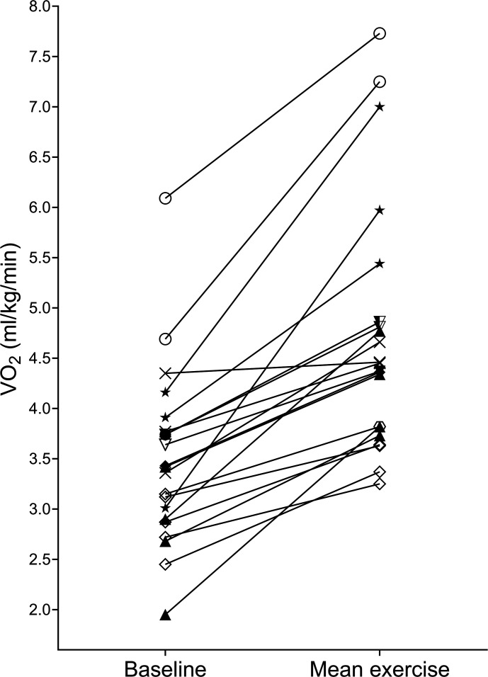
Background: Physical rehabilitation is advocated to improve muscle strength and function after critical illness, yet interventional studies have reported inconsistent benefits. A greater insight into patients' physiological response to exercise may provide an option to prescribe individualised, targeted rehabilitation, yet there is limited data measuring oxygen consumption (VO2) during physical rehabilitation. We aimed to test the feasibility of measuring VO2 during seated and standing exercise using the Beacon Caresystem and quantify within- and between-patient variability of VO2 percentage change.

Methods: We conducted a prospective observational study on patients mechanically ventilated for ≥72 hours and able to participate in physical rehabilitation in critical care. Oxygen consumption was measured continuously using indirect calorimetry. A total of 29 measurements were taken from ten participants performing active sitting and standing exercise.

Results: Median (IQR) first session baseline VO2 was 3.54 (2.9-3.9) mL/kg/min, increasing significantly to 4.37 (3.96-5.14) mL/kg/min during exercise (p=0.005). The median (IQR) coefficient of variation of VO2 percentage change in participants (n=7) who completed more than one rehabilitation session (range 2-7 sessions) was 43 (34-61)% in 26 measurements. The median (IQR) coefficient of variation of VO2 percentage change was 46 (26-63)% in participants performing >1 sitting exercise session (six participants, 19 sessions).

Conclusions: VO2 increases significantly with exercise but is highly variable between participants, and in the same participant on separate occasions, performing the same functional activity. These data suggest that simplified measures of function do not necessarily relate to oxygen consumption.

Trial registration number: NCT05101850.

Abstract Image

Abstract Image

Abstract Image

危重病机械通气患者身体康复的代谢成本:一项观察性研究。
背景:人们提倡在危重疾病后进行身体康复以改善肌肉力量和功能,然而介入性研究报道的益处并不一致。更深入地了解患者对运动的生理反应可能会提供个体化的、有针对性的康复治疗方案,然而,在身体康复期间测量氧气消耗(VO2)的数据有限。我们的目的是测试使用Beacon Caresystem测量坐姿和站立运动时VO2的可行性,并量化患者内部和患者之间VO2百分比变化的可变性。方法:我们对机械通气≥72小时且能够参加重症康复的患者进行前瞻性观察研究。用间接量热法连续测定耗氧量。共有29项测量数据来自10名积极进行坐姿和站立锻炼的参与者。结果:中位(IQR)第一次基线VO2为3.54 (2.9-3.9)mL/kg/min,运动期间显著增加至4.37 (3.96-5.14)mL/kg/min (p=0.005)。在26次测量中,完成一次以上康复疗程(范围2-7次)的参与者(n=7)的VO2百分比变化的中位(IQR)变异系数为43(34-61)%。在进行1次静坐锻炼(6名参与者,19次)的参与者中,VO2百分比变化的中位(IQR)变异系数为46(26-63)%。结论:VO2随运动显著增加,但参与者之间的差异很大,同一参与者在不同场合进行相同的功能活动。这些数据表明,功能的简化测量不一定与耗氧量有关。试验注册号:NCT05101850。
本文章由计算机程序翻译,如有差异,请以英文原文为准。
求助全文
约1分钟内获得全文 求助全文
来源期刊
BMJ Open Respiratory Research
BMJ Open Respiratory Research RESPIRATORY SYSTEM-
CiteScore
6.60
自引率
2.40%
发文量
95
审稿时长
12 weeks
期刊介绍: BMJ Open Respiratory Research is a peer-reviewed, open access journal publishing respiratory and critical care medicine. It is the sister journal to Thorax and co-owned by the British Thoracic Society and BMJ. The journal focuses on robustness of methodology and scientific rigour with less emphasis on novelty or perceived impact. BMJ Open Respiratory Research operates a rapid review process, with continuous publication online, ensuring timely, up-to-date research is available worldwide. The journal publishes review articles and all research study types: Basic science including laboratory based experiments and animal models, Pilot studies or proof of concept, Observational studies, Study protocols, Registries, Clinical trials from phase I to multicentre randomised clinical trials, Systematic reviews and meta-analyses.
×
引用
GB/T 7714-2015
复制
MLA
复制
APA
复制
导出至
BibTeX EndNote RefMan NoteFirst NoteExpress
×
提示
您的信息不完整,为了账户安全,请先补充。
现在去补充
×
提示
您因"违规操作"
具体请查看互助需知
我知道了
×
提示
确定
请完成安全验证×
copy
已复制链接
快去分享给好友吧!
我知道了
右上角分享
点击右上角分享
0
联系我们:info@booksci.cn Book学术提供免费学术资源搜索服务,方便国内外学者检索中英文文献。致力于提供最便捷和优质的服务体验。 Copyright © 2023 布克学术 All rights reserved.
京ICP备2023020795号-1
ghs 京公网安备 11010802042870号
Book学术文献互助
Book学术文献互助群
群 号:604180095
Book学术官方微信