Epidemiological and Clinical Insights into Enterovirus Circulation in Europe, 2018-2023: A Multicenter Retrospective Surveillance Study.

IF 4.5 2区 医学 Q2 IMMUNOLOGY
Sten de Schrijver, Emiel Vanhulle, Anne Ingenbleek, Leonidas Alexakis, Caroline Klint Johannesen, Eeva K Broberg, Heli Harvala, Thea K Fischer, Kimberley S M Benschop
{"title":"Epidemiological and Clinical Insights into Enterovirus Circulation in Europe, 2018-2023: A Multicenter Retrospective Surveillance Study.","authors":"Sten de Schrijver, Emiel Vanhulle, Anne Ingenbleek, Leonidas Alexakis, Caroline Klint Johannesen, Eeva K Broberg, Heli Harvala, Thea K Fischer, Kimberley S M Benschop","doi":"10.1093/infdis/jiaf179","DOIUrl":null,"url":null,"abstract":"<p><strong>Background: </strong>Enteroviruses (EV) cause yearly outbreaks with severe infections, particularly in young children. This study investigates EV circulation, age, and clinical presentations in Europe from 2018 to 2023.</p><p><strong>Methods: </strong>Aggregated data were requested from the European Centre for Disease Prevention and Control National Focal Points for Surveillance and European Non-Polio Enterovirus Network. Data included detection month, specimen type, age group, and clinical presentation for the 10 most commonly reported EV types per year.</p><p><strong>Results: </strong>Twenty-eight institutions (16 countries) reported 563 654 EV tests during the study period with 33 265 (5.9%) EV positive. Forty-two types were identified (n = 11 605 cases) with echovirus 30 (E30), coxsackievirus A6 (CVA6), EV-D68, E9, E11, CVB5, E18, CVB4, EV-A71, and E6 most frequently reported. E30 declined after 2018/2019, while CVA6, CVB5, E9, E11, and EV-D68 were prevalent both before and after the coronavirus disease 2019 (COVID-19) pandemic, and CVB4 and E18 were prevalent after the pandemic. A shift in seasons (summer to fall) and specimen positivity (feces to respiratory) was observed. Neurological signs predominated among EV-A71, CVB4, CVB5, E6, E9, E11, E18, and E30 (30%-72%). CVB4, CVB5, E9, E11, and E18 were frequently reported among neonates (18%-32%). CVA6 was frequently associated with hand, foot and mouth disease, and EV-D68 with respiratory infections. Paralysis was reported among 22 infections, associated with 10 nonpolio types.</p><p><strong>Conclusions: </strong>This study emphasizes the widespread circulation and severity of EV infections in Europe, as well as the (re)emergence of specific types postpandemic. Our findings highlight the need for continuous EV surveillance to monitor variation in circulation, age, and clinical presentations, including paralysis among nonpolio EV infections.</p>","PeriodicalId":50179,"journal":{"name":"Journal of Infectious Diseases","volume":" ","pages":"e104-e115"},"PeriodicalIF":4.5000,"publicationDate":"2025-07-30","publicationTypes":"Journal Article","fieldsOfStudy":null,"isOpenAccess":false,"openAccessPdf":"https://www.ncbi.nlm.nih.gov/pmc/articles/PMC12308651/pdf/","citationCount":"0","resultStr":null,"platform":"Semanticscholar","paperid":null,"PeriodicalName":"Journal of Infectious Diseases","FirstCategoryId":"3","ListUrlMain":"https://doi.org/10.1093/infdis/jiaf179","RegionNum":2,"RegionCategory":"医学","ArticlePicture":[],"TitleCN":null,"AbstractTextCN":null,"PMCID":null,"EPubDate":"","PubModel":"","JCR":"Q2","JCRName":"IMMUNOLOGY","Score":null,"Total":0}
引用次数: 0

Abstract

Background: Enteroviruses (EV) cause yearly outbreaks with severe infections, particularly in young children. This study investigates EV circulation, age, and clinical presentations in Europe from 2018 to 2023.

Methods: Aggregated data were requested from the European Centre for Disease Prevention and Control National Focal Points for Surveillance and European Non-Polio Enterovirus Network. Data included detection month, specimen type, age group, and clinical presentation for the 10 most commonly reported EV types per year.

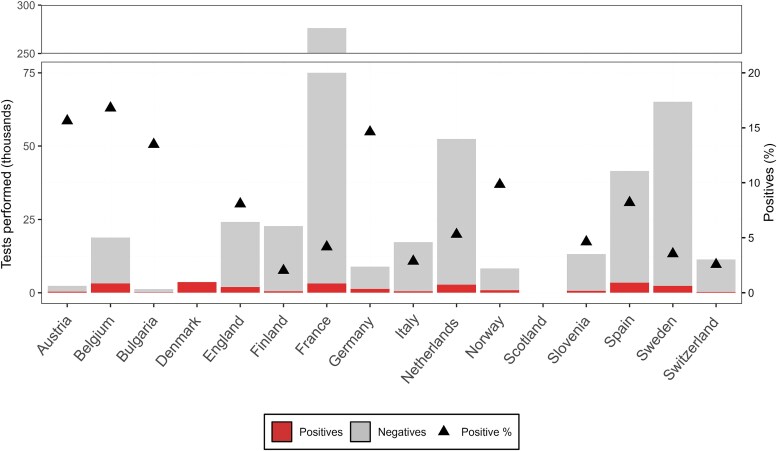
Results: Twenty-eight institutions (16 countries) reported 563 654 EV tests during the study period with 33 265 (5.9%) EV positive. Forty-two types were identified (n = 11 605 cases) with echovirus 30 (E30), coxsackievirus A6 (CVA6), EV-D68, E9, E11, CVB5, E18, CVB4, EV-A71, and E6 most frequently reported. E30 declined after 2018/2019, while CVA6, CVB5, E9, E11, and EV-D68 were prevalent both before and after the coronavirus disease 2019 (COVID-19) pandemic, and CVB4 and E18 were prevalent after the pandemic. A shift in seasons (summer to fall) and specimen positivity (feces to respiratory) was observed. Neurological signs predominated among EV-A71, CVB4, CVB5, E6, E9, E11, E18, and E30 (30%-72%). CVB4, CVB5, E9, E11, and E18 were frequently reported among neonates (18%-32%). CVA6 was frequently associated with hand, foot and mouth disease, and EV-D68 with respiratory infections. Paralysis was reported among 22 infections, associated with 10 nonpolio types.

Conclusions: This study emphasizes the widespread circulation and severity of EV infections in Europe, as well as the (re)emergence of specific types postpandemic. Our findings highlight the need for continuous EV surveillance to monitor variation in circulation, age, and clinical presentations, including paralysis among nonpolio EV infections.

Abstract Image

Abstract Image

Abstract Image

2018 - 2023年欧洲肠病毒传播的流行病学和临床洞察:一项多中心回顾性监测研究
背景:肠病毒(EV)每年引起严重感染,特别是在幼儿中。本研究调查了2018-2023年欧洲的EV循环、年龄分布和临床表现。方法:从ECDC国家监测联络点和欧洲非脊髓灰质炎肠病毒网络索取汇总数据。数据包括每年10种最常见的EV类型的检测月份、标本类型、年龄组和临床表现。研究结果:在研究期间,来自16个国家的28个机构报告了563,654例ev检测,其中33,265例(5.9%)ev阳性。共鉴定出42种病毒(11,605例),其中以埃可病毒(E)30、柯萨奇病毒(CV)A6、EV-D68、E9、E11、CVB5、E18、CVB4、EV-A71和E6最常见。2018/2019年疫情后E30检出率下降,疫情前后CVA6、CVB5、E9、E11、EV-D68流行,疫情后CVB4、E18流行。在研究期间,观察到季节(夏季到秋季)和标本阳性(粪便到呼吸道)的变化。神经学症状在EV-A71、CVB4、CVB5、E6、E9、E11、E18和E30中占主导地位(30-72%)。新生儿中也经常报告CVB4、CVB5、E9、E11和E18(18-32%)。CVA6常与手足口病相关,EV-D68常与呼吸道感染相关。在22例感染中报告了瘫痪,与10种非脊髓灰质炎类型有关。结论:这项研究强调了欧洲EV感染的广泛传播和严重性,特别是在新生儿中,以及大流行后特定类型的(重新)出现。我们的研究结果强调需要持续监测EV,以监测循环、年龄和临床表现的变化,包括非脊髓灰质炎EV感染中的瘫痪。
本文章由计算机程序翻译,如有差异,请以英文原文为准。
求助全文
约1分钟内获得全文 求助全文
来源期刊
Journal of Infectious Diseases
Journal of Infectious Diseases 医学-传染病学
CiteScore
13.50
自引率
3.10%
发文量
449
审稿时长
2-4 weeks
期刊介绍: Published continuously since 1904, The Journal of Infectious Diseases (JID) is the premier global journal for original research on infectious diseases. The editors welcome Major Articles and Brief Reports describing research results on microbiology, immunology, epidemiology, and related disciplines, on the pathogenesis, diagnosis, and treatment of infectious diseases; on the microbes that cause them; and on disorders of host immune responses. JID is an official publication of the Infectious Diseases Society of America.
×
引用
GB/T 7714-2015
复制
MLA
复制
APA
复制
导出至
BibTeX EndNote RefMan NoteFirst NoteExpress
×
提示
您的信息不完整,为了账户安全,请先补充。
现在去补充
×
提示
您因"违规操作"
具体请查看互助需知
我知道了
×
提示
确定
请完成安全验证×
copy
已复制链接
快去分享给好友吧!
我知道了
右上角分享
点击右上角分享
0
联系我们:info@booksci.cn Book学术提供免费学术资源搜索服务,方便国内外学者检索中英文文献。致力于提供最便捷和优质的服务体验。 Copyright © 2023 布克学术 All rights reserved.
京ICP备2023020795号-1
ghs 京公网安备 11010802042870号
Book学术文献互助
Book学术文献互助群
群 号:604180095
Book学术官方微信