New Insights Into Visual Word Recognition: Analyzing Error Distribution in Typical Readers.

IF 2.3 Q1 Psychology
Journal of Cognition Pub Date : 2025-04-03 eCollection Date: 2025-01-01 DOI:10.5334/joc.441
Fanny Grisetto, Clémence Roger, Gwendoline Mahé
{"title":"New Insights Into Visual Word Recognition: Analyzing Error Distribution in Typical Readers.","authors":"Fanny Grisetto, Clémence Roger, Gwendoline Mahé","doi":"10.5334/joc.441","DOIUrl":null,"url":null,"abstract":"<p><p>Previous studies have examined error dynamics to investigate the origins of incorrect lexical access. The comparison of correct and incorrect reaction times (RTs) and the use of Conditional Accuracy Functions (CAFs) in lexical decision tasks have led to inconclusive findings. The present study aimed to clarify these inconsistencies by integrating both methodological approaches across a larger dataset. Our results revealed a pattern of fast errors for pseudowords in both measures, with faster error trials compared to correct trials and a marked decrease in accuracy for the fastest trials. This pattern is discussed within diffusion models of visual word recognition and cognitive control which suggest that pseudoword errors are associated with uninhibited automatic lexical activation. Word errors appeared relatively insensitive to RTs, as no significant difference was found between correct and error RTs, and the CAF displayed a more uniform pattern, but yet not homogeneous. Indeed, a pattern of slow errors was observed for both words and pseudowords in the CAFs, with less accuracy in the slowest RTs. An exploratory analysis suggested that this pattern of slow errors in the word condition might be characteristic of poor reading skills. These aspects are discussed in regard to visual word recognition models that postulate several factors to explain the occurrence of slow errors. Taken together, this research provides a framework that could be used for identifying cognitive markers of reading difficulties. Future research could explore how factors like word frequency or reading skills influence error dynamics, potentially informing interventions targeting lexical retrieval deficits.</p>","PeriodicalId":32728,"journal":{"name":"Journal of Cognition","volume":"8 1","pages":"29"},"PeriodicalIF":2.3000,"publicationDate":"2025-04-03","publicationTypes":"Journal Article","fieldsOfStudy":null,"isOpenAccess":false,"openAccessPdf":"https://www.ncbi.nlm.nih.gov/pmc/articles/PMC11967458/pdf/","citationCount":"0","resultStr":null,"platform":"Semanticscholar","paperid":null,"PeriodicalName":"Journal of Cognition","FirstCategoryId":"1085","ListUrlMain":"https://doi.org/10.5334/joc.441","RegionNum":0,"RegionCategory":null,"ArticlePicture":[],"TitleCN":null,"AbstractTextCN":null,"PMCID":null,"EPubDate":"2025/1/1 0:00:00","PubModel":"eCollection","JCR":"Q1","JCRName":"Psychology","Score":null,"Total":0}
引用次数: 0

Abstract

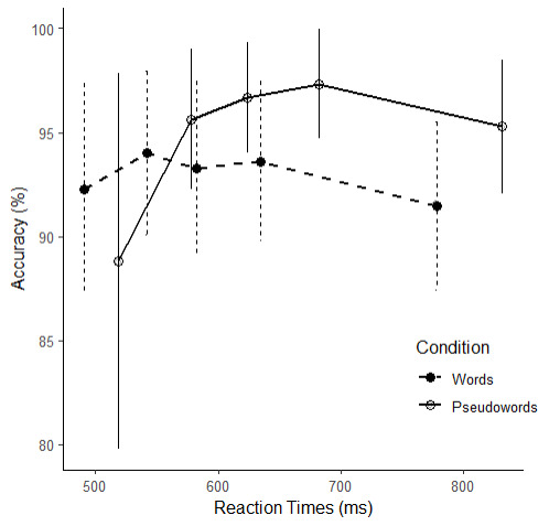
Previous studies have examined error dynamics to investigate the origins of incorrect lexical access. The comparison of correct and incorrect reaction times (RTs) and the use of Conditional Accuracy Functions (CAFs) in lexical decision tasks have led to inconclusive findings. The present study aimed to clarify these inconsistencies by integrating both methodological approaches across a larger dataset. Our results revealed a pattern of fast errors for pseudowords in both measures, with faster error trials compared to correct trials and a marked decrease in accuracy for the fastest trials. This pattern is discussed within diffusion models of visual word recognition and cognitive control which suggest that pseudoword errors are associated with uninhibited automatic lexical activation. Word errors appeared relatively insensitive to RTs, as no significant difference was found between correct and error RTs, and the CAF displayed a more uniform pattern, but yet not homogeneous. Indeed, a pattern of slow errors was observed for both words and pseudowords in the CAFs, with less accuracy in the slowest RTs. An exploratory analysis suggested that this pattern of slow errors in the word condition might be characteristic of poor reading skills. These aspects are discussed in regard to visual word recognition models that postulate several factors to explain the occurrence of slow errors. Taken together, this research provides a framework that could be used for identifying cognitive markers of reading difficulties. Future research could explore how factors like word frequency or reading skills influence error dynamics, potentially informing interventions targeting lexical retrieval deficits.

Abstract Image

Abstract Image

视觉词识别的新见解:分析典型读者的错误分布。
以往的研究通过对错误动态的研究来探究错误词汇访问的根源。在词汇决策任务中比较正确和错误的反应时间(RTs)以及使用条件准确度函数(CAFs)的结果并不一致。本研究旨在通过在一个更大的数据集中整合这两种方法来澄清这些不一致之处。我们的结果表明,在这两种测量方法中,假词都存在快速错误的模式,与正确的试验相比,错误的试验速度更快,而速度最快的试验的准确性明显下降。我们在视觉单词识别和认知控制的扩散模型中讨论了这种模式,该模型认为假词错误与未受抑制的自动词汇激活有关。单词错误似乎对实时反应时间相对不敏感,因为在正确和错误的实时反应时间之间没有发现显著差异,CAF 显示了一种更统一的模式,但并不均匀。事实上,在 CAF 中观察到单词和假词的慢速错误模式,最慢 RT 的准确性较低。一项探索性分析表明,单词条件下的这种慢速错误模式可能是阅读能力差的特征。这些方面的讨论与视觉单词识别模型有关,视觉单词识别模型假设了几个因素来解释慢速错误的发生。总之,这项研究提供了一个框架,可用于识别阅读困难的认知标记。未来的研究可以探索单词频率或阅读技能等因素如何影响错误的动态变化,从而为针对词汇检索缺陷的干预措施提供参考。
本文章由计算机程序翻译,如有差异,请以英文原文为准。
求助全文
约1分钟内获得全文 求助全文
来源期刊
Journal of Cognition
Journal of Cognition Psychology-Experimental and Cognitive Psychology
CiteScore
4.50
自引率
0.00%
发文量
43
审稿时长
6 weeks
×
引用
GB/T 7714-2015
复制
MLA
复制
APA
复制
导出至
BibTeX EndNote RefMan NoteFirst NoteExpress
×
提示
您的信息不完整,为了账户安全,请先补充。
现在去补充
×
提示
您因"违规操作"
具体请查看互助需知
我知道了
×
提示
确定
请完成安全验证×
copy
已复制链接
快去分享给好友吧!
我知道了
右上角分享
点击右上角分享
0
联系我们:info@booksci.cn Book学术提供免费学术资源搜索服务,方便国内外学者检索中英文文献。致力于提供最便捷和优质的服务体验。 Copyright © 2023 布克学术 All rights reserved.
京ICP备2023020795号-1
ghs 京公网安备 11010802042870号
Book学术文献互助
Book学术文献互助群
群 号:604180095
Book学术官方微信