Coumarins from Citrus aurantiifolia (Christm.) Swingle Peel with Potential Cytotoxic Activity Against MCF-7 Breast Cancer Cell Line: In Vitro and In Silico Studies.

IF 2.8 4区 医学 Q3 BIOTECHNOLOGY & APPLIED MICROBIOLOGY
OncoTargets and therapy Pub Date : 2025-03-30 eCollection Date: 2025-01-01 DOI:10.2147/OTT.S506978
Euis Julaeha, Faryanti Eka Mulyawan, Feby Marlia Anwar, Abd Wahid Rizaldi Akili, Nandang Permadi, Darwati, Dikdik Kurnia, Tati Herlina
{"title":"Coumarins from <i>Citrus aurantiifolia</i> (Christm.) Swingle Peel with Potential Cytotoxic Activity Against MCF-7 Breast Cancer Cell Line: In Vitro and In Silico Studies.","authors":"Euis Julaeha, Faryanti Eka Mulyawan, Feby Marlia Anwar, Abd Wahid Rizaldi Akili, Nandang Permadi, Darwati, Dikdik Kurnia, Tati Herlina","doi":"10.2147/OTT.S506978","DOIUrl":null,"url":null,"abstract":"<p><strong>Aim: </strong>Breast cancer remains a prevalent and challenging health issue for women globally. In the pursuit of more effective and less harmful therapies, researchers have focused on natural compounds, especially phenolic compounds found in various plants and fruits.</p><p><strong>Purpose: </strong>This study aims to explore the potency of coumarin compounds from <i>Citrus aurantiifolia</i> (Christm.) Swingle peel as alternative treatment for breast cancer through in vitro and in silico studies.</p><p><strong>Methods: </strong>Three coumarins were isolated from <i>C. aurantiifolia</i> peel through multiple steps of column chromatograph. Their cytotoxic activities against the MCF-7 breast cancer cell line were evaluated using the MTT assay. Additionally, in silico studies, including molecular docking and molecular dynamics simulations, were conducted to evaluate the interactions of the most potent compound with estrogen receptor alpha (ERα).</p><p><strong>Results: </strong>Chemical investigation of <i>C. aurantiifolia</i> peel led to the isolation of three compounds: 5-geranyloxy-7-methoxycoumarin (1), 5-geranyloxypsoralen (2), and 8-geranyloxypsoralen (3). Cytotoxic assays revealed that compound 2 exhibited the highest cytotoxic potency against MCF-7 breast cancer cell line with an IC<sub>50</sub> of 138.51 ± 14.44 µg/mL, followed by compounds 1 and 3 with IC<sub>50</sub> values of 204.69 ± 22.91 and 478.15 ± 34.85 µg/mL, respectively. Molecular docking studies against estrogen receptor alpha (ERα) showed that 5-geranyloxypsoralen (2) had a lower docking score (-10.63 kcal/mol) compared to estradiol (-9.99 kcal/mol). Molecular dynamics simulation revealed the binding stability ERα-Compound 2 complex as evidence from the root mean square deviation (RMSD) of 2.964 ± 0.460 Å. Furthermore, pharmacokinetic predictions suggested that 5-geranyloxypsoralen may possess favourable pharmacokinetic properties, highlighting its potential as a therapeutic agent.</p><p><strong>Conclusion: </strong>The study highlights the potential of coumarin compounds from <i>C. aurantiifolia</i> peel as an alternative treatment for breast cancer, particularly 5-geranyloxypsoralen could be a promising therapeutic agent in breast cancer treatment, warranting further investigation.</p>","PeriodicalId":19534,"journal":{"name":"OncoTargets and therapy","volume":"18 ","pages":"441-452"},"PeriodicalIF":2.8000,"publicationDate":"2025-03-30","publicationTypes":"Journal Article","fieldsOfStudy":null,"isOpenAccess":false,"openAccessPdf":"https://www.ncbi.nlm.nih.gov/pmc/articles/PMC11967363/pdf/","citationCount":"0","resultStr":null,"platform":"Semanticscholar","paperid":null,"PeriodicalName":"OncoTargets and therapy","FirstCategoryId":"3","ListUrlMain":"https://doi.org/10.2147/OTT.S506978","RegionNum":4,"RegionCategory":"医学","ArticlePicture":[],"TitleCN":null,"AbstractTextCN":null,"PMCID":null,"EPubDate":"2025/1/1 0:00:00","PubModel":"eCollection","JCR":"Q3","JCRName":"BIOTECHNOLOGY & APPLIED MICROBIOLOGY","Score":null,"Total":0}
引用次数: 0

Abstract

Aim: Breast cancer remains a prevalent and challenging health issue for women globally. In the pursuit of more effective and less harmful therapies, researchers have focused on natural compounds, especially phenolic compounds found in various plants and fruits.

Purpose: This study aims to explore the potency of coumarin compounds from Citrus aurantiifolia (Christm.) Swingle peel as alternative treatment for breast cancer through in vitro and in silico studies.

Methods: Three coumarins were isolated from C. aurantiifolia peel through multiple steps of column chromatograph. Their cytotoxic activities against the MCF-7 breast cancer cell line were evaluated using the MTT assay. Additionally, in silico studies, including molecular docking and molecular dynamics simulations, were conducted to evaluate the interactions of the most potent compound with estrogen receptor alpha (ERα).

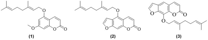
Results: Chemical investigation of C. aurantiifolia peel led to the isolation of three compounds: 5-geranyloxy-7-methoxycoumarin (1), 5-geranyloxypsoralen (2), and 8-geranyloxypsoralen (3). Cytotoxic assays revealed that compound 2 exhibited the highest cytotoxic potency against MCF-7 breast cancer cell line with an IC50 of 138.51 ± 14.44 µg/mL, followed by compounds 1 and 3 with IC50 values of 204.69 ± 22.91 and 478.15 ± 34.85 µg/mL, respectively. Molecular docking studies against estrogen receptor alpha (ERα) showed that 5-geranyloxypsoralen (2) had a lower docking score (-10.63 kcal/mol) compared to estradiol (-9.99 kcal/mol). Molecular dynamics simulation revealed the binding stability ERα-Compound 2 complex as evidence from the root mean square deviation (RMSD) of 2.964 ± 0.460 Å. Furthermore, pharmacokinetic predictions suggested that 5-geranyloxypsoralen may possess favourable pharmacokinetic properties, highlighting its potential as a therapeutic agent.

Conclusion: The study highlights the potential of coumarin compounds from C. aurantiifolia peel as an alternative treatment for breast cancer, particularly 5-geranyloxypsoralen could be a promising therapeutic agent in breast cancer treatment, warranting further investigation.

Abstract Image

Abstract Image

Abstract Image

柑橘香豆素(圣诞节)对MCF-7乳腺癌细胞系具有潜在细胞毒活性的单皮:体外和计算机研究。
目的:乳腺癌对全球妇女来说仍然是一个普遍和具有挑战性的健康问题。为了寻求更有效、危害更小的治疗方法,研究人员一直把重点放在天然化合物上,尤其是在各种植物和水果中发现的酚类化合物。目的:探讨柑橘香豆素类化合物的效价。通过体外和计算机研究,单一果皮作为乳腺癌的替代治疗方法。方法:采用柱层析法,从金缕兰果皮中分离得到3种香豆素。用MTT法评价其对MCF-7乳腺癌细胞系的细胞毒活性。此外,还进行了包括分子对接和分子动力学模拟在内的计算机研究,以评估最有效的化合物与雌激素受体α (ERα)的相互作用。结果:从金缕兰果皮中分离到3个化合物:5-香叶氧基-7-甲氧基香豆素(1)、5-香叶氧基补骨脂素(2)和8-香叶氧基补骨脂素(3)。细胞毒实验结果显示,化合物2对MCF-7乳腺癌细胞株的细胞毒作用最强,IC50值为138.51±14.44µg/mL,其次是化合物1和3,IC50值分别为204.69±22.91和478.15±34.85µg/mL。对雌激素受体α (ERα)的分子对接研究表明,5-香叶氧补骨脂素(2)的对接评分(-10.63 kcal/mol)低于雌二醇(-9.99 kcal/mol)。分子动力学模拟结果表明,ERα-Compound 2配合物的结合稳定性为2.964±0.460 Å。此外,药代动力学预测表明,5-香叶氧补骨脂素可能具有良好的药代动力学特性,突出了其作为治疗剂的潜力。结论:本研究强调了金荷叶果皮香豆素类化合物作为乳腺癌替代治疗药物的潜力,特别是5-香叶氧补骨脂素可能是一种有前景的乳腺癌治疗药物,值得进一步研究。
本文章由计算机程序翻译,如有差异,请以英文原文为准。
求助全文
约1分钟内获得全文 求助全文
来源期刊
OncoTargets and therapy
OncoTargets and therapy BIOTECHNOLOGY & APPLIED MICROBIOLOGY-ONCOLOGY
CiteScore
9.70
自引率
0.00%
发文量
221
审稿时长
1 months
期刊介绍: OncoTargets and Therapy is an international, peer-reviewed journal focusing on molecular aspects of cancer research, that is, the molecular diagnosis of and targeted molecular or precision therapy for all types of cancer. The journal is characterized by the rapid reporting of high-quality original research, basic science, reviews and evaluations, expert opinion and commentary that shed novel insight on a cancer or cancer subtype. Specific topics covered by the journal include: -Novel therapeutic targets and innovative agents -Novel therapeutic regimens for improved benefit and/or decreased side effects -Early stage clinical trials Further considerations when submitting to OncoTargets and Therapy: -Studies containing in vivo animal model data will be considered favorably. -Tissue microarray analyses will not be considered except in cases where they are supported by comprehensive biological studies involving multiple cell lines. -Biomarker association studies will be considered only when validated by comprehensive in vitro data and analysis of human tissue samples. -Studies utilizing publicly available data (e.g. GWAS/TCGA/GEO etc.) should add to the body of knowledge about a specific disease or relevant phenotype and must be validated using the authors’ own data through replication in an independent sample set and functional follow-up. -Bioinformatics studies must be validated using the authors’ own data through replication in an independent sample set and functional follow-up. -Single nucleotide polymorphism (SNP) studies will not be considered.
×
引用
GB/T 7714-2015
复制
MLA
复制
APA
复制
导出至
BibTeX EndNote RefMan NoteFirst NoteExpress
×
提示
您的信息不完整,为了账户安全,请先补充。
现在去补充
×
提示
您因"违规操作"
具体请查看互助需知
我知道了
×
提示
确定
请完成安全验证×
copy
已复制链接
快去分享给好友吧!
我知道了
右上角分享
点击右上角分享
0
联系我们:info@booksci.cn Book学术提供免费学术资源搜索服务,方便国内外学者检索中英文文献。致力于提供最便捷和优质的服务体验。 Copyright © 2023 布克学术 All rights reserved.
京ICP备2023020795号-1
ghs 京公网安备 11010802042870号
Book学术文献互助
Book学术文献互助群
群 号:604180095
Book学术官方微信