Topological determinants in protein folding dynamics: a comparative analysis of metamorphic proteins.

IF 4.9 2区 生物学 Q1 BIOLOGY
Julian Toso, Valeria Pennacchietti, Mariana Di Felice, Eduarda S Ventura, Angelo Toto, Stefano Gianni
{"title":"Topological determinants in protein folding dynamics: a comparative analysis of metamorphic proteins.","authors":"Julian Toso, Valeria Pennacchietti, Mariana Di Felice, Eduarda S Ventura, Angelo Toto, Stefano Gianni","doi":"10.1186/s13062-025-00642-x","DOIUrl":null,"url":null,"abstract":"<p><p>Protein folding remains a fundamental challenge in molecular biology, particularly in understanding how polypeptide chains transition from denatured states to their functional conformations. Here we analyze the folding mechanisms of the engineered metamorphic proteins B4 and Sb3, which share highly similar sequences but adopt distinct topologies. Kinetic analyses revealed that B4 follows a two-state folding mechanism, whereas Sb3 involves the formation of an intermediate species. We further explore the role of topology in folding commitment using the metamorphic mutant Sb4, which can populate both conformations. By analyzing folding and unfolding behaviors under varying experimental conditions, our findings suggest that topology dictates folding mechanisms at an early stage. These results demonstrate that folding landscapes are primarily shaped by final native structures rather than sequence composition.</p>","PeriodicalId":9164,"journal":{"name":"Biology Direct","volume":"20 1","pages":"44"},"PeriodicalIF":4.9000,"publicationDate":"2025-04-03","publicationTypes":"Journal Article","fieldsOfStudy":null,"isOpenAccess":false,"openAccessPdf":"https://www.ncbi.nlm.nih.gov/pmc/articles/PMC11969826/pdf/","citationCount":"0","resultStr":null,"platform":"Semanticscholar","paperid":null,"PeriodicalName":"Biology Direct","FirstCategoryId":"99","ListUrlMain":"https://doi.org/10.1186/s13062-025-00642-x","RegionNum":2,"RegionCategory":"生物学","ArticlePicture":[],"TitleCN":null,"AbstractTextCN":null,"PMCID":null,"EPubDate":"","PubModel":"","JCR":"Q1","JCRName":"BIOLOGY","Score":null,"Total":0}
引用次数: 0

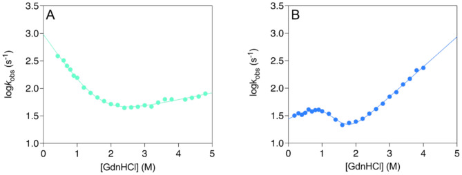
Abstract

Protein folding remains a fundamental challenge in molecular biology, particularly in understanding how polypeptide chains transition from denatured states to their functional conformations. Here we analyze the folding mechanisms of the engineered metamorphic proteins B4 and Sb3, which share highly similar sequences but adopt distinct topologies. Kinetic analyses revealed that B4 follows a two-state folding mechanism, whereas Sb3 involves the formation of an intermediate species. We further explore the role of topology in folding commitment using the metamorphic mutant Sb4, which can populate both conformations. By analyzing folding and unfolding behaviors under varying experimental conditions, our findings suggest that topology dictates folding mechanisms at an early stage. These results demonstrate that folding landscapes are primarily shaped by final native structures rather than sequence composition.

Abstract Image

Abstract Image

Abstract Image

蛋白质折叠动力学中的拓扑决定因素:变质蛋白质的比较分析。
蛋白质折叠仍然是分子生物学中的一个基本挑战,特别是在理解多肽链如何从变性状态转变为其功能构象方面。本文分析了工程变形蛋白B4和Sb3的折叠机制,它们具有高度相似的序列,但采用不同的拓扑结构。动力学分析表明B4遵循双态折叠机制,而Sb3则涉及中间物质的形成。我们进一步探讨了拓扑结构在折叠承诺中的作用,使用了可以填充这两种构象的变质突变体Sb4。通过分析不同实验条件下的折叠和展开行为,我们的发现表明拓扑结构在早期阶段决定了折叠机制。这些结果表明,褶皱景观主要是由最终的天然构造而不是序列组成形成的。
本文章由计算机程序翻译,如有差异,请以英文原文为准。
求助全文
约1分钟内获得全文 求助全文
来源期刊
Biology Direct
Biology Direct 生物-生物学
CiteScore
6.40
自引率
10.90%
发文量
32
审稿时长
7 months
期刊介绍: Biology Direct serves the life science research community as an open access, peer-reviewed online journal, providing authors and readers with an alternative to the traditional model of peer review. Biology Direct considers original research articles, hypotheses, comments, discovery notes and reviews in subject areas currently identified as those most conducive to the open review approach, primarily those with a significant non-experimental component.
×
引用
GB/T 7714-2015
复制
MLA
复制
APA
复制
导出至
BibTeX EndNote RefMan NoteFirst NoteExpress
×
提示
您的信息不完整,为了账户安全,请先补充。
现在去补充
×
提示
您因"违规操作"
具体请查看互助需知
我知道了
×
提示
确定
请完成安全验证×
copy
已复制链接
快去分享给好友吧!
我知道了
右上角分享
点击右上角分享
0
联系我们:info@booksci.cn Book学术提供免费学术资源搜索服务,方便国内外学者检索中英文文献。致力于提供最便捷和优质的服务体验。 Copyright © 2023 布克学术 All rights reserved.
京ICP备2023020795号-1
ghs 京公网安备 11010802042870号
Book学术文献互助
Book学术文献互助群
群 号:604180095
Book学术官方微信