Impact of health intervention coverage on reducing maternal mortality in 126 low- and middle-income countries: a Lives Saved Tool modelling study.

IF 4.6 2区 医学 Q1 PUBLIC, ENVIRONMENTAL & OCCUPATIONAL HEALTH
Xi-Ru Guo, Jue Liu, Hai-Jun Wang
{"title":"Impact of health intervention coverage on reducing maternal mortality in 126 low- and middle-income countries: a Lives Saved Tool modelling study.","authors":"Xi-Ru Guo, Jue Liu, Hai-Jun Wang","doi":"10.1186/s41256-025-00414-0","DOIUrl":null,"url":null,"abstract":"<p><strong>Background: </strong>There is a continued and urgent need to address the stagnation of the global maternal mortality ratio (MMR), especially for low- and middle-income countries (LMICs). We aimed to assess the impact of scaling up health intervention coverage on reducing MMR under four scenarios for 126 LMICs.</p><p><strong>Methods: </strong>We conducted the modelling study to estimate MMR and additional maternal lives saved by intervention by 2030 for 126 LMICs using the Lives Saved Tool (LiST). We applied four scenarios to assess the impact of scaling up health intervention coverage with no scale-up (no change), a modest scale-up (increased by 2% per year), a substantial scale-up (increased by 5% per year), and universal coverage (coverage reached 95% by 2030). In sensitivity analysis, with the current trend, we assumed that coverage of each intervention remained unchanged from 2024, with MMR changing according to the annual percentage change (APC) of 2015-2020.</p><p><strong>Results: </strong>Among the 126 LMICs, 31.7% (40/126) countries showed an increase in MMR, and 38.1% (48/126) stalled on the reduction of MMR from 2015 to 2020. With a modest, substantial, or universal scale-up, the 2030 average MMR would be 172.1 (117.6-262.9), 139.8 (95.6-213.5) or 98.6 (67.8-149.7), not reaching the SDG Target 3.1. Additional maternal lives saved by scaling up the coverage of health interventions were mainly clustered in the African Region, the Southeast Asia Region, and the Eastern Mediterranean Region. Compared with other included interventions, uterotonics for postpartum hemorrhage, assisted vaginal delivery and cesarean delivery played more important roles in reducing maternal mortality.</p><p><strong>Conclusions: </strong>The study findings highlighted that even under a substantial scale-up of intervention coverage or scaling up to universal coverage of interventions, it would be difficult for the 126 LMICs to achieve the SDG Target 3.1 on time. Optimizing the allocation of health resources, promoting health equality, taking more decisive national, regional and global actions are urgently needed for LMICs to reduce MMR and reach the SDG Target 3.1.</p>","PeriodicalId":52405,"journal":{"name":"Global Health Research and Policy","volume":"10 1","pages":"15"},"PeriodicalIF":4.6000,"publicationDate":"2025-04-02","publicationTypes":"Journal Article","fieldsOfStudy":null,"isOpenAccess":false,"openAccessPdf":"https://www.ncbi.nlm.nih.gov/pmc/articles/PMC11963500/pdf/","citationCount":"0","resultStr":null,"platform":"Semanticscholar","paperid":null,"PeriodicalName":"Global Health Research and Policy","FirstCategoryId":"3","ListUrlMain":"https://doi.org/10.1186/s41256-025-00414-0","RegionNum":2,"RegionCategory":"医学","ArticlePicture":[],"TitleCN":null,"AbstractTextCN":null,"PMCID":null,"EPubDate":"","PubModel":"","JCR":"Q1","JCRName":"PUBLIC, ENVIRONMENTAL & OCCUPATIONAL HEALTH","Score":null,"Total":0}
引用次数: 0

Abstract

Background: There is a continued and urgent need to address the stagnation of the global maternal mortality ratio (MMR), especially for low- and middle-income countries (LMICs). We aimed to assess the impact of scaling up health intervention coverage on reducing MMR under four scenarios for 126 LMICs.

Methods: We conducted the modelling study to estimate MMR and additional maternal lives saved by intervention by 2030 for 126 LMICs using the Lives Saved Tool (LiST). We applied four scenarios to assess the impact of scaling up health intervention coverage with no scale-up (no change), a modest scale-up (increased by 2% per year), a substantial scale-up (increased by 5% per year), and universal coverage (coverage reached 95% by 2030). In sensitivity analysis, with the current trend, we assumed that coverage of each intervention remained unchanged from 2024, with MMR changing according to the annual percentage change (APC) of 2015-2020.

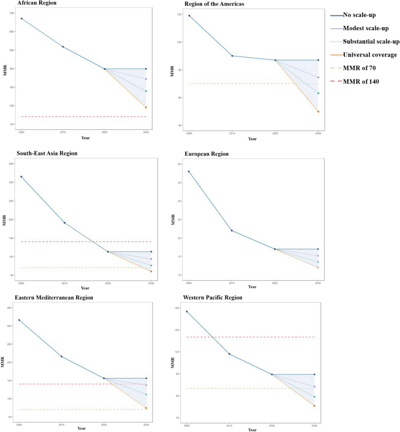
Results: Among the 126 LMICs, 31.7% (40/126) countries showed an increase in MMR, and 38.1% (48/126) stalled on the reduction of MMR from 2015 to 2020. With a modest, substantial, or universal scale-up, the 2030 average MMR would be 172.1 (117.6-262.9), 139.8 (95.6-213.5) or 98.6 (67.8-149.7), not reaching the SDG Target 3.1. Additional maternal lives saved by scaling up the coverage of health interventions were mainly clustered in the African Region, the Southeast Asia Region, and the Eastern Mediterranean Region. Compared with other included interventions, uterotonics for postpartum hemorrhage, assisted vaginal delivery and cesarean delivery played more important roles in reducing maternal mortality.

Conclusions: The study findings highlighted that even under a substantial scale-up of intervention coverage or scaling up to universal coverage of interventions, it would be difficult for the 126 LMICs to achieve the SDG Target 3.1 on time. Optimizing the allocation of health resources, promoting health equality, taking more decisive national, regional and global actions are urgently needed for LMICs to reduce MMR and reach the SDG Target 3.1.

Abstract Image

Abstract Image

126个低收入和中等收入国家卫生干预覆盖对降低孕产妇死亡率的影响:一项拯救生命工具模型研究。
背景:解决全球孕产妇死亡率(MMR)停滞不前的问题依然刻不容缓,尤其是中低收入国家(LMICs)。我们旨在评估在 126 个中低收入国家的四种情况下,扩大医疗干预覆盖面对降低孕产妇死亡率的影响:我们进行了建模研究,利用 "挽救生命工具"(LiST)估算了到 2030 年 126 个 LMICs 的产妇死亡率和干预措施挽救的额外产妇生命。我们采用了四种情景来评估扩大卫生干预覆盖面的影响,分别为不扩大(不变)、小幅扩大(每年增加 2%)、大幅扩大(每年增加 5%)和全民覆盖(到 2030 年覆盖率达到 95%)。在敏感性分析中,根据目前的趋势,我们假设各项干预措施的覆盖率从 2024 年起保持不变,而 MMR 则根据 2015-2020 年的年度百分比变化(APC)而变化:结果:在 126 个低收入和中等收入国家中,31.7% 的国家(40/126)显示 MMR 上升,38.1% 的国家(48/126)在 2015-2020 年间 MMR 下降方面停滞不前。如果适度、大幅或普遍扩大规模,2030 年平均孕产妇死亡率将分别为 172.1(117.6-262.9)、139.8(95.6-213.5)或 98.6(67.8-149.7),达不到可持续发展目标 3.1 的具体目标。通过扩大保健干预措施的覆盖面而额外挽救的孕产妇生命主要集中在非洲地区、东南亚地区和地中海东部地区。与其他干预措施相比,子宫收缩剂治疗产后出血、阴道助产和剖宫产在降低孕产妇死亡率方面发挥了更重要的作用:研究结果表明,即使大幅扩大干预措施的覆盖范围或将干预措施扩大到全民覆盖,126 个低收入和中等收入国家也很难按时实现可持续发展目标的具体目标 3.1。为降低孕产妇死亡率,实现可持续发展目标 3.1,低收入和中等收入国家亟需优化卫生资源分配,促进卫生平等,采取更果断的国家、区域和全球行动。
本文章由计算机程序翻译,如有差异,请以英文原文为准。
求助全文
约1分钟内获得全文 求助全文
来源期刊
Global Health Research and Policy
Global Health Research and Policy Social Sciences-Health (social science)
CiteScore
12.00
自引率
1.10%
发文量
43
审稿时长
5 weeks
期刊介绍: Global Health Research and Policy, an open-access, multidisciplinary journal, publishes research on various aspects of global health, addressing topics like health equity, health systems and policy, social determinants of health, disease burden, population health, and other urgent global health issues. It serves as a forum for high-quality research focused on regional and global health improvement, emphasizing solutions for health equity.
×
引用
GB/T 7714-2015
复制
MLA
复制
APA
复制
导出至
BibTeX EndNote RefMan NoteFirst NoteExpress
×
提示
您的信息不完整,为了账户安全,请先补充。
现在去补充
×
提示
您因"违规操作"
具体请查看互助需知
我知道了
×
提示
确定
请完成安全验证×
copy
已复制链接
快去分享给好友吧!
我知道了
右上角分享
点击右上角分享
0
联系我们:info@booksci.cn Book学术提供免费学术资源搜索服务,方便国内外学者检索中英文文献。致力于提供最便捷和优质的服务体验。 Copyright © 2023 布克学术 All rights reserved.
京ICP备2023020795号-1
ghs 京公网安备 11010802042870号
Book学术文献互助
Book学术文献互助群
群 号:604180095
Book学术官方微信