Oscillometry-defined Small Airway Dysfunction in Tobacco-exposed Adults with Impaired or Preserved Airflow.

IF 19.4 1区 医学 Q1 CRITICAL CARE MEDICINE
Mustafa Abdo, Henrik Watz, Frederik Trinkmann, Sabine Bohnet, Miriam Annabelle Marcella Guess, Johannes Roeben, Katharina May, Martin Reck, Benjamin-Alexander Bollmann, Susanne Stiebeler, Sabine Dettmer, Benjamin Waschki, Klaus F Rabe, Klaas Frederik Franzen, Jens Vogel-Claussen
{"title":"Oscillometry-defined Small Airway Dysfunction in Tobacco-exposed Adults with Impaired or Preserved Airflow.","authors":"Mustafa Abdo, Henrik Watz, Frederik Trinkmann, Sabine Bohnet, Miriam Annabelle Marcella Guess, Johannes Roeben, Katharina May, Martin Reck, Benjamin-Alexander Bollmann, Susanne Stiebeler, Sabine Dettmer, Benjamin Waschki, Klaus F Rabe, Klaas Frederik Franzen, Jens Vogel-Claussen","doi":"10.1164/rccm.202501-0028OC","DOIUrl":null,"url":null,"abstract":"<p><p><b>Rationale:</b> Small airway dysfunction (SAD) is a key feature of chronic obstructive pulmonary disease and might present in tobacco-exposed adults with normal spirometry. So far, the role of oscillometry-defined SAD in this population is largely unexplored. <b>Objective:</b> To investigate the prevalence of oscillometry-defined SAD and its associations with airway structural changes, quality of life (QoL), metabolic disease, and cardiovascular disease (CVD) in tobacco-exposed adults with impaired airflow or preserved airflow (PA). <b>Methods:</b> In a subcohort (<i>n</i> = 1,628) nested within a lung cancer screening trial, we assessed airway disease using pre-bronchodilator spirometry, oscillometry, and artificial intelligence-powered computed tomography. Impaired airflow included airflow obstruction (AFO) and preserved ratio impaired spirometry (PRISm). Subjects with PA, defined as FEV<sub>1</sub> and FEV<sub>1</sub>:FVC greater than the lower limit of normal, were further stratified as PA with SAD (PA-SAD) or normal lung function. SAD was defined as the frequency dependence of resistance or reactance area greater than the upper limit of normal. Computed tomography biomarkers included airway wall thickness, luminal diameter, branch count, and emphysema. QoL was measured using the euroqol 5-dimension 5-level (EQ-5D-5L). <b>Measurements and Main Results:</b> The overall prevalence of SAD was 39%. SAD was present in 26% of subjects with PA and in 60% of those with impaired airflow. The frequency of AFO, PRISm, and PA-SAD was 21%, 15%, and 16%, respectively. Similar to those with impaired airflow, subjects with PA-SAD had lower EQ-5D-5L scores, greater airway wall thickness, narrower lumen, lower branch count, and higher rate of metabolic disease and CVD than those with normal lung function (<i>P</i> < 0.01 for all). However, they had minimal emphysema and significantly higher branch count than those with AFO. Subjects with AFO or PRISm and concurrent SAD had greater structural changes and more frequent CVD than those with AFO or PRISm alone. SAD was associated with CVD (odds ratio, 1.91 [95% confidence interval, 1.55-2.36]), even after adjusting for confounders and metabolic disease. <b>Conclusions:</b> SAD is highly prevalent among tobacco-exposed adults and is associated with airway structural changes, impaired QoL, and an increased rate of CVD, even among those with PA. PA-SAD is distinct from AFO by its preserved airway count and minimal emphysema.</p>","PeriodicalId":7664,"journal":{"name":"American journal of respiratory and critical care medicine","volume":" ","pages":"1652-1661"},"PeriodicalIF":19.4000,"publicationDate":"2025-09-01","publicationTypes":"Journal Article","fieldsOfStudy":null,"isOpenAccess":false,"openAccessPdf":"https://www.ncbi.nlm.nih.gov/pmc/articles/PMC12432392/pdf/","citationCount":"0","resultStr":null,"platform":"Semanticscholar","paperid":null,"PeriodicalName":"American journal of respiratory and critical care medicine","FirstCategoryId":"3","ListUrlMain":"https://doi.org/10.1164/rccm.202501-0028OC","RegionNum":1,"RegionCategory":"医学","ArticlePicture":[],"TitleCN":null,"AbstractTextCN":null,"PMCID":null,"EPubDate":"","PubModel":"","JCR":"Q1","JCRName":"CRITICAL CARE MEDICINE","Score":null,"Total":0}
引用次数: 0

Abstract

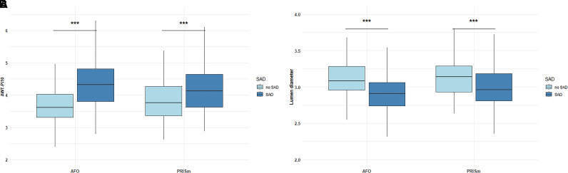
Rationale: Small airway dysfunction (SAD) is a key feature of chronic obstructive pulmonary disease and might present in tobacco-exposed adults with normal spirometry. So far, the role of oscillometry-defined SAD in this population is largely unexplored. Objective: To investigate the prevalence of oscillometry-defined SAD and its associations with airway structural changes, quality of life (QoL), metabolic disease, and cardiovascular disease (CVD) in tobacco-exposed adults with impaired airflow or preserved airflow (PA). Methods: In a subcohort (n = 1,628) nested within a lung cancer screening trial, we assessed airway disease using pre-bronchodilator spirometry, oscillometry, and artificial intelligence-powered computed tomography. Impaired airflow included airflow obstruction (AFO) and preserved ratio impaired spirometry (PRISm). Subjects with PA, defined as FEV1 and FEV1:FVC greater than the lower limit of normal, were further stratified as PA with SAD (PA-SAD) or normal lung function. SAD was defined as the frequency dependence of resistance or reactance area greater than the upper limit of normal. Computed tomography biomarkers included airway wall thickness, luminal diameter, branch count, and emphysema. QoL was measured using the euroqol 5-dimension 5-level (EQ-5D-5L). Measurements and Main Results: The overall prevalence of SAD was 39%. SAD was present in 26% of subjects with PA and in 60% of those with impaired airflow. The frequency of AFO, PRISm, and PA-SAD was 21%, 15%, and 16%, respectively. Similar to those with impaired airflow, subjects with PA-SAD had lower EQ-5D-5L scores, greater airway wall thickness, narrower lumen, lower branch count, and higher rate of metabolic disease and CVD than those with normal lung function (P < 0.01 for all). However, they had minimal emphysema and significantly higher branch count than those with AFO. Subjects with AFO or PRISm and concurrent SAD had greater structural changes and more frequent CVD than those with AFO or PRISm alone. SAD was associated with CVD (odds ratio, 1.91 [95% confidence interval, 1.55-2.36]), even after adjusting for confounders and metabolic disease. Conclusions: SAD is highly prevalent among tobacco-exposed adults and is associated with airway structural changes, impaired QoL, and an increased rate of CVD, even among those with PA. PA-SAD is distinct from AFO by its preserved airway count and minimal emphysema.

Abstract Image

Abstract Image

Abstract Image

振荡测量法定义的空气流通受损或保留的烟草暴露成人小气道功能障碍。
理由:小气道功能障碍(SAD)是COPD的一个关键特征,可能存在于肺功能正常的烟草暴露成人中。到目前为止,振荡测量定义的SAD在这一人群中的作用在很大程度上尚未被探索。目的:探讨振荡测量定义的SAD患病率及其与气道结构改变、生活质量(QoL)、代谢和心血管疾病(CVD)的关系。方法:在一项肺癌筛查试验中的亚队列(n=1628)中,我们使用预bd -肺活量测定法、振荡测量法和人工智能驱动的CT评估气道疾病。气流受损包括气流阻塞(AFO)和保留比肺功能受损(PRISm)。以FEV1和FEV1/FVC > LLN定义气流保持(PA)的受试者,进一步分为PA合并SAD (PA-SAD)或肺功能正常。SAD定义为电阻(R5-19)或电抗面积(AX) > ULN的频率依赖性。CT生物标志物包括气道壁厚度(AWT-Pi10)、管腔直径、分支计数和肺气肿。生活质量采用EQ-5D-5L测定。结果:SAD的总患病率为39%。26%的PA患者和60%的气流受损患者存在SAD。AFO、PRISm和PA-SAD的频率分别为21%、15%和16%。与气流受损相似,与肺功能正常的受试者相比,PA-SAD受试者EQ-5D-5L评分较低,AWT-Pi10评分较高,管腔变窄,分支计数较低,代谢率和心血管疾病率较高(所有p值)。结论:SAD在烟草暴露成人中非常普遍,并且与气道结构改变、生活质量受损和心血管疾病发生率升高有关,即使在PA患者中也是如此。PA-SAD与AFO的区别在于其保留的气道数量和最小的肺气肿。本文在知识共享署名非商业禁止衍生品许可4.0 (http://creativecommons.org/licenses/by-nc-nd/4.0/)的条款下开放获取和分发。
本文章由计算机程序翻译,如有差异,请以英文原文为准。
求助全文
约1分钟内获得全文 求助全文
来源期刊
CiteScore
27.30
自引率
4.50%
发文量
1313
审稿时长
3-6 weeks
期刊介绍: The American Journal of Respiratory and Critical Care Medicine focuses on human biology and disease, as well as animal studies that contribute to the understanding of pathophysiology and treatment of diseases that affect the respiratory system and critically ill patients. Papers that are solely or predominantly based in cell and molecular biology are published in the companion journal, the American Journal of Respiratory Cell and Molecular Biology. The Journal also seeks to publish clinical trials and outstanding review articles on areas of interest in several forms. The State-of-the-Art review is a treatise usually covering a broad field that brings bench research to the bedside. Shorter reviews are published as Critical Care Perspectives or Pulmonary Perspectives. These are generally focused on a more limited area and advance a concerted opinion about care for a specific process. Concise Clinical Reviews provide an evidence-based synthesis of the literature pertaining to topics of fundamental importance to the practice of pulmonary, critical care, and sleep medicine. Images providing advances or unusual contributions to the field are published as Images in Pulmonary, Critical Care, Sleep Medicine and the Sciences. A recent trend and future direction of the Journal has been to include debates of a topical nature on issues of importance in pulmonary and critical care medicine and to the membership of the American Thoracic Society. Other recent changes have included encompassing works from the field of critical care medicine and the extension of the editorial governing of journal policy to colleagues outside of the United States of America. The focus and direction of the Journal is to establish an international forum for state-of-the-art respiratory and critical care medicine.
×
引用
GB/T 7714-2015
复制
MLA
复制
APA
复制
导出至
BibTeX EndNote RefMan NoteFirst NoteExpress
×
提示
您的信息不完整,为了账户安全,请先补充。
现在去补充
×
提示
您因"违规操作"
具体请查看互助需知
我知道了
×
提示
确定
请完成安全验证×
copy
已复制链接
快去分享给好友吧!
我知道了
右上角分享
点击右上角分享
0
联系我们:info@booksci.cn Book学术提供免费学术资源搜索服务,方便国内外学者检索中英文文献。致力于提供最便捷和优质的服务体验。 Copyright © 2023 布克学术 All rights reserved.
京ICP备2023020795号-1
ghs 京公网安备 11010802042870号
Book学术文献互助
Book学术文献互助群
群 号:604180095
Book学术官方微信