Erythroferrone-Driven Regulation of Hepcidin and Iron Levels in Polytransfused Sickle Cell Anaemia Patients: A Prospective Study.

IF 2.3 3区 生物学 Q3 BIOTECHNOLOGY & APPLIED MICROBIOLOGY
BioMed Research International Pub Date : 2025-03-26 eCollection Date: 2025-01-01 DOI:10.1155/bmri/6803051
Samuel Kwasi Appiah, Charles Nkansah, Godfred Amoah Appiah, Gabriel Abbam, Felix Osei-Boakye, Samira Daud, Kofi Mensah, Safo Adwoa, Korah Seedolf Kuwaahsuore, Emmanuel Yeboah, Abu Siraj Salma Tiyumba, Dennis Thompson, Viel Mary Paula, Louis Adda Duibajia, Peter Takyia, Franklina Ataa Kwarteng, Obed Odame Asiedu, Firdaus Ibrahim Sukasorr, Vincent Kawuribi, Boniface Nwofoke Ukwah, Ejike Felix Chukwurah
{"title":"Erythroferrone-Driven Regulation of Hepcidin and Iron Levels in Polytransfused Sickle Cell Anaemia Patients: A Prospective Study.","authors":"Samuel Kwasi Appiah, Charles Nkansah, Godfred Amoah Appiah, Gabriel Abbam, Felix Osei-Boakye, Samira Daud, Kofi Mensah, Safo Adwoa, Korah Seedolf Kuwaahsuore, Emmanuel Yeboah, Abu Siraj Salma Tiyumba, Dennis Thompson, Viel Mary Paula, Louis Adda Duibajia, Peter Takyia, Franklina Ataa Kwarteng, Obed Odame Asiedu, Firdaus Ibrahim Sukasorr, Vincent Kawuribi, Boniface Nwofoke Ukwah, Ejike Felix Chukwurah","doi":"10.1155/bmri/6803051","DOIUrl":null,"url":null,"abstract":"<p><p>The interplay of erythroferrone (ERFE), hepcidin, and ferroportin is crucial for ensuring systemic iron homeostasis. This study determined the influence of ERFE on hepcidin and iron levels in polytransfused patients with sickle cell anaemia (SCA). This multicentre case-control study recruited 60 SCA participants and 30 controls (HbA), aged 2-34 years, from Tamale Teaching Hospital; Methodist Hospital, Wenchi; and Seventh Day Adventist Hospital, Sunyani, Ghana, between the periods of March to July 2023. About 4 mL of blood was collected for a full blood count using a haematology analyzer and serum ERFE, hepcidin, ferroportin, and ferritin estimation using an enzyme-linked immunosorbent assay. Data were analyzed using SPSS Version 26.0. ERFE (<i>p</i> < 0.001), ferroportin (<i>p</i> = 0.016), ferritin (<i>p</i> < 0.001), serum iron (<i>p</i> < 0.001), transferrin (<i>p</i> = 0.001), soluble transferrin receptor (sTFR) (<i>p</i> = 0.019), TWBC (<i>p</i> < 0.001), and platelet (<i>p</i> < 0.001) were significantly higher in SCA participants and hydroxyurea-naïve participants than in the control group and hydroxyurea-treated participants, respectively. Levels of hepcidin (<i>p</i> < 0.001), red blood cell (<i>p</i> < 0.001), haemoglobin (<i>p</i> < 0.001), and haematocrit (<i>p</i> < 0.001) were lower in the SCA and hydroxyurea-naïve groups than in the control and hydroxyurea-treated groups, respectively. An inverse correlation was observed between serum ERFE and hepcidin (<i>r</i> = -0.391, <i>p</i> = 0.002) and hepcidin and ferroportin (<i>r</i> = -0.266, <i>p</i> = 0.040), while ferritin (<i>r</i> = 0.439, <i>p</i> < 0.001) and ferroportin (<i>r</i> = 0.309, <i>p</i> = 0.016) showed a positive correlation with ERFE. No correlation was found between serum hepcidin and ferritin levels (<i>r</i> = 0.025, <i>p</i> = 0.853). Again, participants with regular blood transfusions had significantly higher levels of ERFE (<i>p</i> < 0.001) and ferritin (<i>p</i> = 0.002) than those with rare and no transfusions per year. None of the SCA participants had done iron testing. In conclusion, the negative impact of ERFE on hepcidin levels may exacerbate the risk of iron burden, as evident by elevated iron levels in SCA patients and the need for regular monitoring of the iron status of polytransfused SCA patients.</p>","PeriodicalId":9007,"journal":{"name":"BioMed Research International","volume":"2025 ","pages":"6803051"},"PeriodicalIF":2.3000,"publicationDate":"2025-03-26","publicationTypes":"Journal Article","fieldsOfStudy":null,"isOpenAccess":false,"openAccessPdf":"https://www.ncbi.nlm.nih.gov/pmc/articles/PMC11964725/pdf/","citationCount":"0","resultStr":null,"platform":"Semanticscholar","paperid":null,"PeriodicalName":"BioMed Research International","FirstCategoryId":"99","ListUrlMain":"https://doi.org/10.1155/bmri/6803051","RegionNum":3,"RegionCategory":"生物学","ArticlePicture":[],"TitleCN":null,"AbstractTextCN":null,"PMCID":null,"EPubDate":"2025/1/1 0:00:00","PubModel":"eCollection","JCR":"Q3","JCRName":"BIOTECHNOLOGY & APPLIED MICROBIOLOGY","Score":null,"Total":0}
引用次数: 0

Abstract

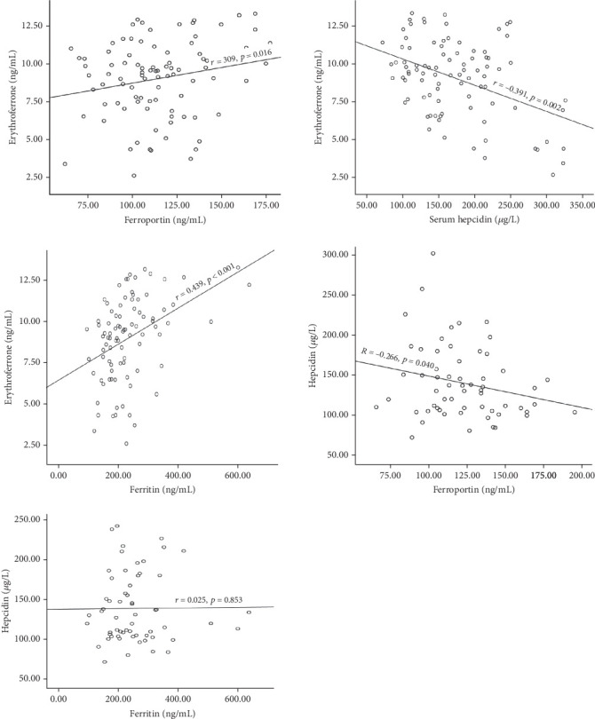
The interplay of erythroferrone (ERFE), hepcidin, and ferroportin is crucial for ensuring systemic iron homeostasis. This study determined the influence of ERFE on hepcidin and iron levels in polytransfused patients with sickle cell anaemia (SCA). This multicentre case-control study recruited 60 SCA participants and 30 controls (HbA), aged 2-34 years, from Tamale Teaching Hospital; Methodist Hospital, Wenchi; and Seventh Day Adventist Hospital, Sunyani, Ghana, between the periods of March to July 2023. About 4 mL of blood was collected for a full blood count using a haematology analyzer and serum ERFE, hepcidin, ferroportin, and ferritin estimation using an enzyme-linked immunosorbent assay. Data were analyzed using SPSS Version 26.0. ERFE (p < 0.001), ferroportin (p = 0.016), ferritin (p < 0.001), serum iron (p < 0.001), transferrin (p = 0.001), soluble transferrin receptor (sTFR) (p = 0.019), TWBC (p < 0.001), and platelet (p < 0.001) were significantly higher in SCA participants and hydroxyurea-naïve participants than in the control group and hydroxyurea-treated participants, respectively. Levels of hepcidin (p < 0.001), red blood cell (p < 0.001), haemoglobin (p < 0.001), and haematocrit (p < 0.001) were lower in the SCA and hydroxyurea-naïve groups than in the control and hydroxyurea-treated groups, respectively. An inverse correlation was observed between serum ERFE and hepcidin (r = -0.391, p = 0.002) and hepcidin and ferroportin (r = -0.266, p = 0.040), while ferritin (r = 0.439, p < 0.001) and ferroportin (r = 0.309, p = 0.016) showed a positive correlation with ERFE. No correlation was found between serum hepcidin and ferritin levels (r = 0.025, p = 0.853). Again, participants with regular blood transfusions had significantly higher levels of ERFE (p < 0.001) and ferritin (p = 0.002) than those with rare and no transfusions per year. None of the SCA participants had done iron testing. In conclusion, the negative impact of ERFE on hepcidin levels may exacerbate the risk of iron burden, as evident by elevated iron levels in SCA patients and the need for regular monitoring of the iron status of polytransfused SCA patients.

Abstract Image

红细胞铁素驱动的镰状细胞贫血患者Hepcidin和铁水平调节:一项前瞻性研究。
红细胞铁素(ERFE)、hepcidin和铁转运蛋白的相互作用对确保全身铁稳态至关重要。本研究确定了ERFE对多次输血的镰状细胞贫血(SCA)患者肝磷脂和铁水平的影响。本多中心病例对照研究从Tamale教学医院招募了60名SCA参与者和30名对照(HbA),年龄2-34岁;文池卫理公会医院;和加纳Sunyani的基督复临安息日会医院,于2023年3月至7月期间。采集约4ml血液,使用血液学分析仪进行全血细胞计数,并使用酶联免疫吸附法测定血清ERFE、hepcidin、铁转运蛋白和铁蛋白。数据分析采用SPSS 26.0版本。SCA参与者和hydroxyurea-naïve参与者的ERFE (p < 0.001)、铁转运蛋白(p = 0.016)、铁蛋白(p < 0.001)、血清铁(p < 0.001)、转铁蛋白(p = 0.001)、可溶性转铁蛋白受体(sTFR) (p = 0.019)、TWBC (p < 0.001)和血小板(p < 0.001)分别显著高于对照组和羟基脲治疗组。SCA组和hydroxyurea-naïve组的hepcidin (p < 0.001)、红细胞(p < 0.001)、血红蛋白(p < 0.001)和红细胞压积(p < 0.001)水平分别低于对照组和羟基脲处理组。血清ERFE与hepcidin (r = -0.391, p = 0.002)、hepcidin与铁转运蛋白(r = -0.266, p = 0.040)呈负相关,铁蛋白(r = 0.439, p < 0.001)、铁转运蛋白(r = 0.309, p = 0.016)与ERFE呈正相关。血清hepcidin与铁蛋白水平无相关性(r = 0.025, p = 0.853)。同样,定期输血的参与者ERFE (p < 0.001)和铁蛋白(p = 0.002)水平明显高于每年很少输血和不输血的参与者。没有一个SCA参与者做过铁测试。综上所述,ERFE对hepcidin水平的负面影响可能会加剧铁负荷的风险,SCA患者铁水平升高以及需要定期监测多次输血SCA患者的铁状态就是证据。
本文章由计算机程序翻译,如有差异,请以英文原文为准。
求助全文
约1分钟内获得全文 求助全文
来源期刊
BioMed Research International
BioMed Research International BIOTECHNOLOGY & APPLIED MICROBIOLOGY-MEDICINE, RESEARCH & EXPERIMENTAL
CiteScore
6.70
自引率
0.00%
发文量
1942
审稿时长
19 weeks
期刊介绍: BioMed Research International is a peer-reviewed, Open Access journal that publishes original research articles, review articles, and clinical studies covering a wide range of subjects in life sciences and medicine. The journal is divided into 55 subject areas.
×
引用
GB/T 7714-2015
复制
MLA
复制
APA
复制
导出至
BibTeX EndNote RefMan NoteFirst NoteExpress
×
提示
您的信息不完整,为了账户安全,请先补充。
现在去补充
×
提示
您因"违规操作"
具体请查看互助需知
我知道了
×
提示
确定
请完成安全验证×
copy
已复制链接
快去分享给好友吧!
我知道了
右上角分享
点击右上角分享
0
联系我们:info@booksci.cn Book学术提供免费学术资源搜索服务,方便国内外学者检索中英文文献。致力于提供最便捷和优质的服务体验。 Copyright © 2023 布克学术 All rights reserved.
京ICP备2023020795号-1
ghs 京公网安备 11010802042870号
Book学术文献互助
Book学术文献互助群
群 号:604180095
Book学术官方微信