The Effect of Transcranial Direct Current Stimulation (TDCS) on Cognitive Functioning in Individuals with Attention Deficit/Hyperactivity Disorder (ADHD).

IF 2.4 Q3 CLINICAL NEUROLOGY
Noa Beiman, Renana Eitan, Doron Todder, Eldad Keha, Eyal Kalanthroff
{"title":"The Effect of Transcranial Direct Current Stimulation (TDCS) on Cognitive Functioning in Individuals with Attention Deficit/Hyperactivity Disorder (ADHD).","authors":"Noa Beiman, Renana Eitan, Doron Todder, Eldad Keha, Eyal Kalanthroff","doi":"10.36131/cnfioritieditore20250107","DOIUrl":null,"url":null,"abstract":"<p><strong>Objective: </strong>Attention deficit/hyperactivity disorder (ADHD) is among the most prevalent neurodevelopmental disorders in children, often persisting into adulthood. It is characterized by two symptom domains: impulsivity and inattention, both associated with underlying neural and cognitive deficiencies. This study is the first toinvestigate the potential effects of transcranial direct current stimulation (tDCS) targeting the left DLPFC on cognitive functions related to both symptom domains in adults with ADHD compared to typically developed controls.</p><p><strong>Method: </strong>This pre-registered clinical trial enrolled 55 participants, 25 of whom were diagnosed with ADHD. Participants completed a series of cognitive tasks before and after receiving either tDCS or sham treatment.</p><p><strong>Results: </strong>In the ADHD group, tDCS treatment improved measures associated with inattention,but not measures related to impulsivity. In the control group, tDCS treatment had no benefits.</p><p><strong>Conclusions: </strong>The discrepancy in treatment response observed between inattentive and impulsivesymptoms has implications for understanding the neurobiological mechanisms of ADHD. Our findings offer new evidence supporting the positive impact of tDCS on cognitive functions linked to inattention.</p>","PeriodicalId":46700,"journal":{"name":"Clinical Neuropsychiatry","volume":"22 1","pages":"87-98"},"PeriodicalIF":2.4000,"publicationDate":"2025-02-01","publicationTypes":"Journal Article","fieldsOfStudy":null,"isOpenAccess":false,"openAccessPdf":"https://www.ncbi.nlm.nih.gov/pmc/articles/PMC11956886/pdf/","citationCount":"0","resultStr":null,"platform":"Semanticscholar","paperid":null,"PeriodicalName":"Clinical Neuropsychiatry","FirstCategoryId":"1085","ListUrlMain":"https://doi.org/10.36131/cnfioritieditore20250107","RegionNum":0,"RegionCategory":null,"ArticlePicture":[],"TitleCN":null,"AbstractTextCN":null,"PMCID":null,"EPubDate":"","PubModel":"","JCR":"Q3","JCRName":"CLINICAL NEUROLOGY","Score":null,"Total":0}
引用次数: 0

Abstract

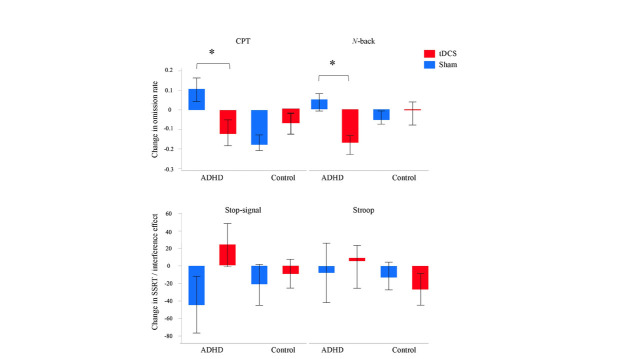
Objective: Attention deficit/hyperactivity disorder (ADHD) is among the most prevalent neurodevelopmental disorders in children, often persisting into adulthood. It is characterized by two symptom domains: impulsivity and inattention, both associated with underlying neural and cognitive deficiencies. This study is the first toinvestigate the potential effects of transcranial direct current stimulation (tDCS) targeting the left DLPFC on cognitive functions related to both symptom domains in adults with ADHD compared to typically developed controls.

Method: This pre-registered clinical trial enrolled 55 participants, 25 of whom were diagnosed with ADHD. Participants completed a series of cognitive tasks before and after receiving either tDCS or sham treatment.

Results: In the ADHD group, tDCS treatment improved measures associated with inattention,but not measures related to impulsivity. In the control group, tDCS treatment had no benefits.

Conclusions: The discrepancy in treatment response observed between inattentive and impulsivesymptoms has implications for understanding the neurobiological mechanisms of ADHD. Our findings offer new evidence supporting the positive impact of tDCS on cognitive functions linked to inattention.

Abstract Image

Abstract Image

Abstract Image

经颅直流刺激(TDCS)对注意缺陷/多动障碍(ADHD)个体认知功能的影响
目的:注意缺陷/多动障碍(ADHD)是儿童中最常见的神经发育障碍之一,通常持续到成年。它的特点是两个症状域:冲动和注意力不集中,两者都与潜在的神经和认知缺陷有关。这项研究首次调查了针对左侧DLPFC的经颅直流电刺激(tDCS)对ADHD成人患者与两个症状域相关的认知功能的潜在影响。方法:这项预先注册的临床试验招募了55名参与者,其中25名被诊断为多动症。参与者在接受tDCS或假治疗前后完成了一系列认知任务。结果:在ADHD组中,tDCS治疗改善了与注意力不集中相关的指标,但没有改善与冲动相关的指标。在对照组中,tDCS治疗没有任何益处。结论:观察到注意力不集中和冲动症状在治疗反应上的差异,对理解ADHD的神经生物学机制具有重要意义。我们的发现提供了新的证据,支持tDCS对与注意力不集中相关的认知功能的积极影响。
本文章由计算机程序翻译,如有差异,请以英文原文为准。
求助全文
约1分钟内获得全文 求助全文
来源期刊
Clinical Neuropsychiatry
Clinical Neuropsychiatry CLINICAL NEUROLOGY-
CiteScore
11.10
自引率
1.60%
发文量
0
×
引用
GB/T 7714-2015
复制
MLA
复制
APA
复制
导出至
BibTeX EndNote RefMan NoteFirst NoteExpress
×
提示
您的信息不完整,为了账户安全,请先补充。
现在去补充
×
提示
您因"违规操作"
具体请查看互助需知
我知道了
×
提示
确定
请完成安全验证×
copy
已复制链接
快去分享给好友吧!
我知道了
右上角分享
点击右上角分享
0
联系我们:info@booksci.cn Book学术提供免费学术资源搜索服务,方便国内外学者检索中英文文献。致力于提供最便捷和优质的服务体验。 Copyright © 2023 布克学术 All rights reserved.
京ICP备2023020795号-1
ghs 京公网安备 11010802042870号
Book学术文献互助
Book学术文献互助群
群 号:604180095
Book学术官方微信