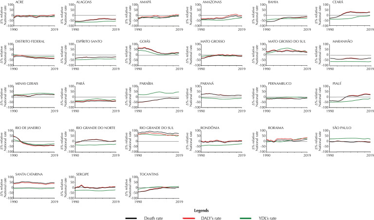
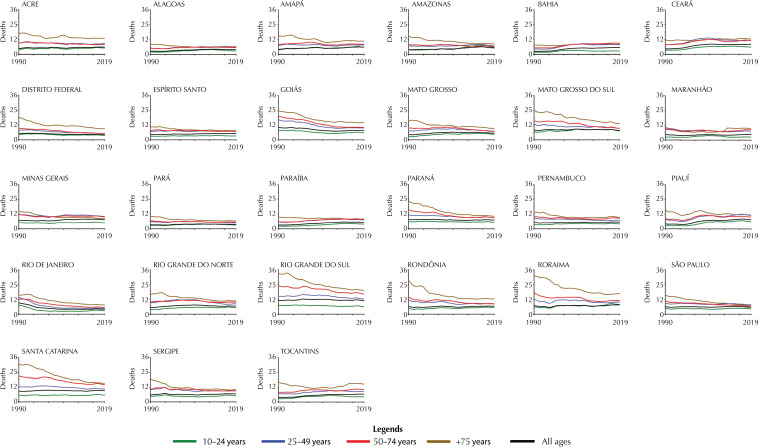
Trends in mortality, disability-adjusted life years, and years of healthy life lost due to self-harming in Brazilian states from 1990 to 2019.

IF 2.1 4区 医学 Q3 PUBLIC, ENVIRONMENTAL & OCCUPATIONAL HEALTH
Revista de saude publica Pub Date : 2025-03-31 eCollection Date: 2025-01-01 DOI:10.11606/s1518-8787.2025059006322
Milena Sabino Fonseca, Gustavo Gusmão Dos Santos, Patricia Colombo de Souza, Lúcia Helena de Azevedo, Jane de Eston Armond, Lucas Melo Neves
{"title":"Trends in mortality, disability-adjusted life years, and years of healthy life lost due to self-harming in Brazilian states from 1990 to 2019.","authors":"Milena Sabino Fonseca, Gustavo Gusmão Dos Santos, Patricia Colombo de Souza, Lúcia Helena de Azevedo, Jane de Eston Armond, Lucas Melo Neves","doi":"10.11606/s1518-8787.2025059006322","DOIUrl":null,"url":null,"abstract":"<p><strong>Objectives: </strong>To compare rates, disability-adjusted life years (DALYs), and years of healthy life lost due to disability (YLDs) associated with deaths due to self-harm in Brazil.</p><p><strong>Methods: </strong>This epidemiological study utilized secondary data obtained from the Global Burden of Disease Study. Analytical examinations were conducted to provide detailed descriptions of national and subnational rates.</p><p><strong>Results: </strong>We identified mortality rates, DALYs, and YLDs resulting from deaths due to self-harm - national data from 26 states and the Federal District - between 1990 and 2019. The national rates in 1990 and 2019 were the same for mortality = 6.2 deaths per 100.000 inhabitants, reduced for DALYs = 312-289 DALYs, and the same for YLDs = 1.6 YLDs. Four united federations had higher mortality rates, DALYs, and YLDs caused by self-harm compared to national rates throughout the analyzed period (between 1990 and 2019) - Goiás (mortality = 11-67%, DALYs = 13-73%, and YLDs = 4-45%), Mato Grosso do Sul (mortality = 23-42%, DALYs = 28-46%, and YLDs = 13-64%), Minas Gerais (mortality = 5-25%, DALYs = 7-25%, and YLDs = 19-35%), and Rio Grande do Sul (mortality = 73-98%, DALYs = 55-84 %, and YLDs = 52-70%).</p><p><strong>Conclusion: </strong>Although national mortality rates and YLD caused by self-harm have been maintained, there has been a decrease in the incidence of DALYs. However, certain states in Brazil have rates higher than the national average, indicating the need for multiple strategies to be implemented to reduce mortality rates, DALYs, and YLDs resulting from self-harm in these specific states.</p>","PeriodicalId":21230,"journal":{"name":"Revista de saude publica","volume":"59 ","pages":"e7"},"PeriodicalIF":2.1000,"publicationDate":"2025-03-31","publicationTypes":"Journal Article","fieldsOfStudy":null,"isOpenAccess":false,"openAccessPdf":"https://www.ncbi.nlm.nih.gov/pmc/articles/PMC11967339/pdf/","citationCount":"0","resultStr":null,"platform":"Semanticscholar","paperid":null,"PeriodicalName":"Revista de saude publica","FirstCategoryId":"3","ListUrlMain":"https://doi.org/10.11606/s1518-8787.2025059006322","RegionNum":4,"RegionCategory":"医学","ArticlePicture":[],"TitleCN":null,"AbstractTextCN":null,"PMCID":null,"EPubDate":"2025/1/1 0:00:00","PubModel":"eCollection","JCR":"Q3","JCRName":"PUBLIC, ENVIRONMENTAL & OCCUPATIONAL HEALTH","Score":null,"Total":0}
引用次数: 0

Abstract

Objectives: To compare rates, disability-adjusted life years (DALYs), and years of healthy life lost due to disability (YLDs) associated with deaths due to self-harm in Brazil.

Methods: This epidemiological study utilized secondary data obtained from the Global Burden of Disease Study. Analytical examinations were conducted to provide detailed descriptions of national and subnational rates.

Results: We identified mortality rates, DALYs, and YLDs resulting from deaths due to self-harm - national data from 26 states and the Federal District - between 1990 and 2019. The national rates in 1990 and 2019 were the same for mortality = 6.2 deaths per 100.000 inhabitants, reduced for DALYs = 312-289 DALYs, and the same for YLDs = 1.6 YLDs. Four united federations had higher mortality rates, DALYs, and YLDs caused by self-harm compared to national rates throughout the analyzed period (between 1990 and 2019) - Goiás (mortality = 11-67%, DALYs = 13-73%, and YLDs = 4-45%), Mato Grosso do Sul (mortality = 23-42%, DALYs = 28-46%, and YLDs = 13-64%), Minas Gerais (mortality = 5-25%, DALYs = 7-25%, and YLDs = 19-35%), and Rio Grande do Sul (mortality = 73-98%, DALYs = 55-84 %, and YLDs = 52-70%).

Conclusion: Although national mortality rates and YLD caused by self-harm have been maintained, there has been a decrease in the incidence of DALYs. However, certain states in Brazil have rates higher than the national average, indicating the need for multiple strategies to be implemented to reduce mortality rates, DALYs, and YLDs resulting from self-harm in these specific states.

Abstract Image

Abstract Image

Abstract Image

1990年至2019年巴西各州因自残而丧失的死亡率、残疾调整生命年和健康生命年的趋势。
目的:比较巴西与自残死亡相关的伤残调整生命年(DALYs)和伤残损失健康生命年(YLDs)的比率。方法:本流行病学研究利用了从全球疾病负担研究中获得的二手数据。进行了分析性检查,以提供国家和国家以下各级比率的详细说明。结果:我们确定了1990年至2019年间26个州和联邦区因自残死亡导致的死亡率、DALYs和YLDs——全国数据。1990年和2019年的全国死亡率相同,死亡率为每10万居民6.2例,DALYs降低为312-289例,YLDs降低为1.6例。与整个分析期间(1990年至2019年)的全国死亡率相比,四个联邦的自残死亡率、DALYs和YLDs更高:Goiás(死亡率= 11-67%,DALYs = 13-73%, YLDs = 4-45%)、南马托格罗索州(死亡率= 23-42%,DALYs = 28-46%, YLDs = 13-64%)、米纳斯吉拉斯州(死亡率= 5-25%,DALYs = 7-25%, YLDs = 19-35%)和南里约热内卢格兰德州(死亡率= 73-98%,DALYs = 55- 84%, YLDs = 52-70%)。结论:虽然自残导致的全国死亡率和伤残死亡率保持不变,但伤残残疾者的发生率有所下降。然而,巴西某些州的自残率高于全国平均水平,这表明需要实施多种战略,以降低这些特定州因自残而导致的死亡率、伤残调整生命年和伤残恢复生命年。
本文章由计算机程序翻译,如有差异,请以英文原文为准。
求助全文
约1分钟内获得全文 求助全文
来源期刊
Revista de saude publica
Revista de saude publica PUBLIC, ENVIRONMENTAL & OCCUPATIONAL HEALTH-
CiteScore
4.60
自引率
3.60%
发文量
93
审稿时长
4-8 weeks
期刊介绍: The Revista de Saúde Pública has the purpose of publishing original scientific contributions on topics of relevance to public health in general.
×
引用
GB/T 7714-2015
复制
MLA
复制
APA
复制
导出至
BibTeX EndNote RefMan NoteFirst NoteExpress
×
提示
您的信息不完整,为了账户安全,请先补充。
现在去补充
×
提示
您因"违规操作"
具体请查看互助需知
我知道了
×
提示
确定
请完成安全验证×
copy
已复制链接
快去分享给好友吧!
我知道了
右上角分享
点击右上角分享
0
联系我们:info@booksci.cn Book学术提供免费学术资源搜索服务,方便国内外学者检索中英文文献。致力于提供最便捷和优质的服务体验。 Copyright © 2023 布克学术 All rights reserved.
京ICP备2023020795号-1
ghs 京公网安备 11010802042870号
Book学术文献互助
Book学术文献互助群
群 号:604180095
Book学术官方微信