In vitro efficacy of aqueous PVP-iodine solution below 5% as alternative to preoperative antisepsis in ophthalmology as the basis for an in vivo study.

IF 2.3 Q1 OPHTHALMOLOGY
Paula Zwicker, Nevin Opitz, Julia Harris, Andreas Stahl, Ulrich Kellner, Ruth Koelb-Keerl, Philipp S Muether, Anne Hunold, Axel Kramer
{"title":"In vitro efficacy of aqueous PVP-iodine solution below 5% as alternative to preoperative antisepsis in ophthalmology as the basis for an in vivo study.","authors":"Paula Zwicker, Nevin Opitz, Julia Harris, Andreas Stahl, Ulrich Kellner, Ruth Koelb-Keerl, Philipp S Muether, Anne Hunold, Axel Kramer","doi":"10.1186/s12348-025-00489-3","DOIUrl":null,"url":null,"abstract":"<p><strong>Purpose: </strong>Pre-operative antisepsis of the conjunctiva is indicated prior to intraocular surgery to prevent post-interventional endophthalmitis. In Germany, antisepsis with 5% povidone-iodine (PI) aqueous solution is explicitly required prior to intravitreal injections (IVI), and also generally recommended for intraocular surgery. However, this concentration often leads to a foreign body sensation and an unpleasant burning in combination with dry eye symptoms. Postoperative eye pain, persistent corneal epithelial defects, and a risk of keratitis are further side effects. Due to the repetitive nature of IVI, these symptoms are particularly present in IVI patients. A reduced concentration may be favorable to decrease patient discomfort. A 1.25% PI solution does not increase the iodine concentration in the aqueous humor and is also used for prophylaxis of ophthalmia neonatorum and for preoperative antisepsis; in both cases the renal iodine excretion stays in a physiological range thus thyroid diseases are no contraindication for its use. Thus, the efficacy of reduced concentrations of PI should be evaluated in vitro.</p><p><strong>Methods: </strong>PI with dilutions below 5% (0.625 - 2.5% serial 1:2 dilution) was tested in vitro in a quantitative suspension assay and in a quantitative carrier test without and with addition of matrices to identify their antimicrobial effect against Staphylococcus epidermidis, Pseudomonas aeruginosa, Cutibacterium acnes and Candida albicans.</p><p><strong>Results: </strong>No differences in the antimicrobial effect was seen due to reduced concentrations of PI in comparison to a 5% solution. However, a trend was seen regarding the required contact time of the antiseptic solution.</p><p><strong>Conclusion: </strong>The in-vitro tests have shown adequate antisepsis of 1.25% PI prior to intraocular surgery. However, it is important to pay attention to a sufficient contact time of the antiseptic of about 1 min before ophthalmologic intervention. In order to give final recommendations, in vivo testing is needed to build a robust data foundation.</p>","PeriodicalId":16600,"journal":{"name":"Journal of Ophthalmic Inflammation and Infection","volume":"15 1","pages":"35"},"PeriodicalIF":2.3000,"publicationDate":"2025-04-02","publicationTypes":"Journal Article","fieldsOfStudy":null,"isOpenAccess":false,"openAccessPdf":"https://www.ncbi.nlm.nih.gov/pmc/articles/PMC11965046/pdf/","citationCount":"0","resultStr":null,"platform":"Semanticscholar","paperid":null,"PeriodicalName":"Journal of Ophthalmic Inflammation and Infection","FirstCategoryId":"1085","ListUrlMain":"https://doi.org/10.1186/s12348-025-00489-3","RegionNum":0,"RegionCategory":null,"ArticlePicture":[],"TitleCN":null,"AbstractTextCN":null,"PMCID":null,"EPubDate":"","PubModel":"","JCR":"Q1","JCRName":"OPHTHALMOLOGY","Score":null,"Total":0}
引用次数: 0

Abstract

Purpose: Pre-operative antisepsis of the conjunctiva is indicated prior to intraocular surgery to prevent post-interventional endophthalmitis. In Germany, antisepsis with 5% povidone-iodine (PI) aqueous solution is explicitly required prior to intravitreal injections (IVI), and also generally recommended for intraocular surgery. However, this concentration often leads to a foreign body sensation and an unpleasant burning in combination with dry eye symptoms. Postoperative eye pain, persistent corneal epithelial defects, and a risk of keratitis are further side effects. Due to the repetitive nature of IVI, these symptoms are particularly present in IVI patients. A reduced concentration may be favorable to decrease patient discomfort. A 1.25% PI solution does not increase the iodine concentration in the aqueous humor and is also used for prophylaxis of ophthalmia neonatorum and for preoperative antisepsis; in both cases the renal iodine excretion stays in a physiological range thus thyroid diseases are no contraindication for its use. Thus, the efficacy of reduced concentrations of PI should be evaluated in vitro.

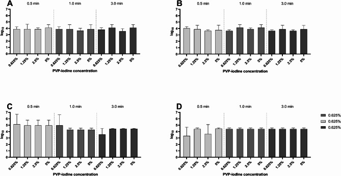
Methods: PI with dilutions below 5% (0.625 - 2.5% serial 1:2 dilution) was tested in vitro in a quantitative suspension assay and in a quantitative carrier test without and with addition of matrices to identify their antimicrobial effect against Staphylococcus epidermidis, Pseudomonas aeruginosa, Cutibacterium acnes and Candida albicans.

Results: No differences in the antimicrobial effect was seen due to reduced concentrations of PI in comparison to a 5% solution. However, a trend was seen regarding the required contact time of the antiseptic solution.

Conclusion: The in-vitro tests have shown adequate antisepsis of 1.25% PI prior to intraocular surgery. However, it is important to pay attention to a sufficient contact time of the antiseptic of about 1 min before ophthalmologic intervention. In order to give final recommendations, in vivo testing is needed to build a robust data foundation.

Abstract Image

Abstract Image

低于5%的pvp -碘水溶液作为眼科术前消毒的替代方案的体外疗效,作为体内研究的基础。
目的:眼内手术前应进行结膜消毒,预防介入后眼内炎。在德国,玻璃体内注射(IVI)前明确要求用5%聚维酮碘(PI)水溶液进行消毒,也通常推荐用于眼内手术。然而,这种浓度往往会导致异物感和不愉快的灼烧感,并伴有干眼症状。术后眼痛、持续性角膜上皮缺损和角膜炎风险是进一步的副作用。由于IVI的重复性,这些症状尤其存在于IVI患者中。降低浓度可能有利于减轻病人的不适感。1.25%的PI溶液不会增加房水中的碘浓度,也可用于预防新生儿眼炎和术前消毒;在这两种情况下,肾脏碘排泄保持在生理范围内,因此甲状腺疾病不是使用它的禁忌症。因此,应该在体外评估降低PI浓度的效果。方法:采用浓度小于5%(0.625 ~ 2.5%串联1:2稀释)的PI进行体外定量悬液试验和不加基质和加基质的定量载体试验,鉴定其对表皮葡萄球菌、铜绿假单胞菌、痤疮表皮杆菌和白色念珠菌的抑菌效果。结果:与5%溶液相比,由于PI浓度降低,抗菌效果没有差异。然而,在灭菌液所需的接触时间方面,出现了一种趋势。结论:眼内手术前的体外试验显示1.25% PI足够的消毒。然而,重要的是要注意在眼科干预前有足够的消毒接触时间约1分钟。为了给出最终建议,需要进行体内试验以建立可靠的数据基础。
本文章由计算机程序翻译,如有差异,请以英文原文为准。
求助全文
约1分钟内获得全文 求助全文
来源期刊
CiteScore
3.80
自引率
3.40%
发文量
39
审稿时长
13 weeks
×
引用
GB/T 7714-2015
复制
MLA
复制
APA
复制
导出至
BibTeX EndNote RefMan NoteFirst NoteExpress
×
提示
您的信息不完整,为了账户安全,请先补充。
现在去补充
×
提示
您因"违规操作"
具体请查看互助需知
我知道了
×
提示
确定
请完成安全验证×
copy
已复制链接
快去分享给好友吧!
我知道了
右上角分享
点击右上角分享
0
联系我们:info@booksci.cn Book学术提供免费学术资源搜索服务,方便国内外学者检索中英文文献。致力于提供最便捷和优质的服务体验。 Copyright © 2023 布克学术 All rights reserved.
京ICP备2023020795号-1
ghs 京公网安备 11010802042870号
Book学术文献互助
Book学术文献互助群
群 号:604180095
Book学术官方微信