Variable hyperthyroidism outcomes related to different treatment regimens: an analysis of UK Biobank data.

IF 4.3 2区 医学 Q2 ENDOCRINOLOGY & METABOLISM
European Thyroid Journal Pub Date : 2025-04-14 Print Date: 2025-04-01 DOI:10.1530/ETJ-24-0393
Kris Elomaa, Matt Spick, Earn H Gan, Simon H Pearce, Nophar Geifman
{"title":"Variable hyperthyroidism outcomes related to different treatment regimens: an analysis of UK Biobank data.","authors":"Kris Elomaa, Matt Spick, Earn H Gan, Simon H Pearce, Nophar Geifman","doi":"10.1530/ETJ-24-0393","DOIUrl":null,"url":null,"abstract":"<p><strong>Background: </strong>UK guidance on the assessment and management of thyroid disease was set out in NICE guideline NG145 in 2019 and is expected to result in an increase in radioactive iodine (RAI) being offered as a first-line definitive treatment for hyperthyroidism.</p><p><strong>Methodology: </strong>In this work we analyse longitudinal UK Biobank data to assess all-cause mortality and comorbidity risks associated with the main treatment modalities for 793 participants with hyperthyroidism, specifically antithyroid drugs (ATDs), RAI and thyroidectomy.</p><p><strong>Results: </strong>Participants treated with RAI showed reduced all-cause mortality compared with those treated with ATD alone (time to event ratio: 1.8, 95% CI: 0.9-3.6), albeit the result did not reach statistical significance, as did those treated by thyroidectomy (time ratio: 2.0, 95% CI: 1.1-3.9). For treated patients, odds ratios were generally elevated for osteoporosis, cardiovascular events and atrial fibrillation, but again did not reach statistical significance except for those patients treated by ATDs, with an odds ratio for atrial fibrillation of 2.2 (95% CI: 1.2-4.1) versus controls.</p><p><strong>Conclusion: </strong>Our findings were consistent with those previously reported in the literature and do not reveal any evidence from the UK Biobank to contradict the safety of RAI being offered as a first-line treatment. The data are also suggestive, however, that treatments do not fully eliminate risks of complications related to hyperthyroidism. This reinforces the need for both clear communication where there may be risks of complications such as osteoporosis as well as clinical support for patients even after definitive treatment.</p>","PeriodicalId":12159,"journal":{"name":"European Thyroid Journal","volume":" ","pages":""},"PeriodicalIF":4.3000,"publicationDate":"2025-04-14","publicationTypes":"Journal Article","fieldsOfStudy":null,"isOpenAccess":false,"openAccessPdf":"https://www.ncbi.nlm.nih.gov/pmc/articles/PMC12020459/pdf/","citationCount":"0","resultStr":null,"platform":"Semanticscholar","paperid":null,"PeriodicalName":"European Thyroid Journal","FirstCategoryId":"3","ListUrlMain":"https://doi.org/10.1530/ETJ-24-0393","RegionNum":2,"RegionCategory":"医学","ArticlePicture":[],"TitleCN":null,"AbstractTextCN":null,"PMCID":null,"EPubDate":"2025/4/1 0:00:00","PubModel":"Print","JCR":"Q2","JCRName":"ENDOCRINOLOGY & METABOLISM","Score":null,"Total":0}
引用次数: 0

Abstract

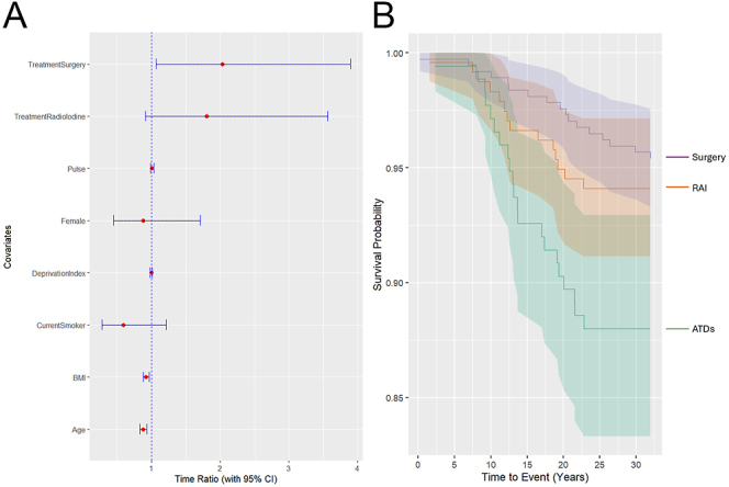
Background: UK guidance on the assessment and management of thyroid disease was set out in NICE guideline NG145 in 2019 and is expected to result in an increase in radioactive iodine (RAI) being offered as a first-line definitive treatment for hyperthyroidism.

Methodology: In this work we analyse longitudinal UK Biobank data to assess all-cause mortality and comorbidity risks associated with the main treatment modalities for 793 participants with hyperthyroidism, specifically antithyroid drugs (ATDs), RAI and thyroidectomy.

Results: Participants treated with RAI showed reduced all-cause mortality compared with those treated with ATD alone (time to event ratio: 1.8, 95% CI: 0.9-3.6), albeit the result did not reach statistical significance, as did those treated by thyroidectomy (time ratio: 2.0, 95% CI: 1.1-3.9). For treated patients, odds ratios were generally elevated for osteoporosis, cardiovascular events and atrial fibrillation, but again did not reach statistical significance except for those patients treated by ATDs, with an odds ratio for atrial fibrillation of 2.2 (95% CI: 1.2-4.1) versus controls.

Conclusion: Our findings were consistent with those previously reported in the literature and do not reveal any evidence from the UK Biobank to contradict the safety of RAI being offered as a first-line treatment. The data are also suggestive, however, that treatments do not fully eliminate risks of complications related to hyperthyroidism. This reinforces the need for both clear communication where there may be risks of complications such as osteoporosis as well as clinical support for patients even after definitive treatment.

Abstract Image

Abstract Image

Abstract Image

不同治疗方案相关的可变甲状腺机能亢进结果——英国生物银行数据分析
英国关于甲状腺疾病评估和管理的指南于2019年在NICE指南NG145中制定,预计将导致放射性碘(RAI)作为甲状腺功能亢进的一线最终治疗方法的增加。在这项工作中,我们分析了英国生物银行的纵向数据,以评估793名甲状腺功能亢进患者的全因死亡率和与主要治疗方式相关的合并症风险,特别是抗甲状腺药物(ATDs)、RAI和甲状腺切除术。结果与单纯接受ATD治疗的患者相比,接受RAI治疗的患者全因死亡率降低(时间与事件比1.8,95% CI 0.9 - 3.6),尽管结果没有达到统计学意义,接受甲状腺切除术治疗的患者也是如此(时间比2.0,95% CI 1.1 - 3.9)。对于接受治疗的患者,骨质疏松症、心血管事件和房颤的比值比普遍升高,但除了那些接受ATDs治疗的患者心房颤动的比值比为2.2 (95% CI 1.2 - 4.1)与对照组相比,同样没有达到统计学意义。结论:我们的研究结果与先前文献报道的结果一致,并且没有发现来自英国生物银行的任何证据与RAI作为一线治疗的安全性相矛盾。然而,这些数据也提示,治疗并不能完全消除与甲亢相关的并发症的风险。这加强了对可能存在骨质疏松症等并发症风险的明确沟通的需求,以及对患者的临床支持,即使在明确治疗后。
本文章由计算机程序翻译,如有差异,请以英文原文为准。
求助全文
约1分钟内获得全文 求助全文
来源期刊
European Thyroid Journal
European Thyroid Journal Medicine-Endocrinology, Diabetes and Metabolism
CiteScore
6.70
自引率
2.10%
发文量
156
期刊介绍: The ''European Thyroid Journal'' publishes papers reporting original research in basic, translational and clinical thyroidology. Original contributions cover all aspects of the field, from molecular and cellular biology to immunology and biochemistry, from physiology to pathology, and from pediatric to adult thyroid diseases with a special focus on thyroid cancer. Readers also benefit from reviews by noted experts, which highlight especially active areas of current research. The journal will further publish formal guidelines in the field, produced and endorsed by the European Thyroid Association.
×
引用
GB/T 7714-2015
复制
MLA
复制
APA
复制
导出至
BibTeX EndNote RefMan NoteFirst NoteExpress
×
提示
您的信息不完整,为了账户安全,请先补充。
现在去补充
×
提示
您因"违规操作"
具体请查看互助需知
我知道了
×
提示
确定
请完成安全验证×
copy
已复制链接
快去分享给好友吧!
我知道了
右上角分享
点击右上角分享
0
联系我们:info@booksci.cn Book学术提供免费学术资源搜索服务,方便国内外学者检索中英文文献。致力于提供最便捷和优质的服务体验。 Copyright © 2023 布克学术 All rights reserved.
京ICP备2023020795号-1
ghs 京公网安备 11010802042870号
Book学术文献互助
Book学术文献互助群
群 号:604180095
Book学术官方微信