High-dose versus low-dose block-and-replace treatment for a first episode of Graves' disease.

IF 4.3 2区 医学 Q2 ENDOCRINOLOGY & METABOLISM
European Thyroid Journal Pub Date : 2025-04-14 Print Date: 2025-04-01 DOI:10.1530/ETJ-25-0039
Arnaud Smolders, Aglaia Kyrilli, Stefan Matei Constantinescu, Bernard Corvilain, Chantal Daumerie, Maria-Cristina Burlacu
{"title":"High-dose versus low-dose block-and-replace treatment for a first episode of Graves' disease.","authors":"Arnaud Smolders, Aglaia Kyrilli, Stefan Matei Constantinescu, Bernard Corvilain, Chantal Daumerie, Maria-Cristina Burlacu","doi":"10.1530/ETJ-25-0039","DOIUrl":null,"url":null,"abstract":"<p><strong>Objective: </strong>The optimal treatment with antithyroid drugs (ATDs) for a first episode of Graves' disease (GD) remains controversial.</p><p><strong>Methods: </strong>Retrospective, two academic centres study of newly diagnosed GD between 1990 and 2022, treated with ATD in block-and-replace (B+R) regimen for at least 12 months and followed up for at least 1 year after ATD discontinuation or until disease relapse. Sixty patients received high-dose B+R (HD) with fixed ATD dose maintained during the study, and 60 patients received low-dose B+R (LD) with lower ATD dose adjusted during the study.</p><p><strong>Results: </strong>Baseline characteristics were similar in both groups. The point-prevalence of euthyroidism was not different between HD and LD (38 vs 47%, P = 0.460 at 6 months, 69 vs 82%, P = 0.194 at 12 months, 70 vs 78%, P = 0.370 at 18 months, respectively). At 18 months, 27% HD vs 38% LD (P = 0.242) had thyroid eye disease. There were no differences in the number or type of ATD-related adverse events (AE) (no AE 73 vs 78%, P = 0.707). LD received mean lower ATD dose (15.3 ± 4.2 vs 30.0 ± 0.0 mg/day, P < 0.001) and lower levothyroxine dose (72.6 ± 16.7 vs 100.6 ± 24.5 μg/day, P < 0.001). After a first course of ATD, 63% of HD patients and 60% of LD patients relapsed (P = 0.707) after a median time (interquartile range) of 11.0 (18) vs 7.0 (19) months (P = 0.109).</p><p><strong>Conclusion: </strong>We observed similar relapse rates in patients with a first episode of GD receiving up to 50% less ATD and 30% less levothyroxine dose than high-dose B+R regimen.</p>","PeriodicalId":12159,"journal":{"name":"European Thyroid Journal","volume":" ","pages":""},"PeriodicalIF":4.3000,"publicationDate":"2025-04-14","publicationTypes":"Journal Article","fieldsOfStudy":null,"isOpenAccess":false,"openAccessPdf":"https://www.ncbi.nlm.nih.gov/pmc/articles/PMC12020463/pdf/","citationCount":"0","resultStr":null,"platform":"Semanticscholar","paperid":null,"PeriodicalName":"European Thyroid Journal","FirstCategoryId":"3","ListUrlMain":"https://doi.org/10.1530/ETJ-25-0039","RegionNum":2,"RegionCategory":"医学","ArticlePicture":[],"TitleCN":null,"AbstractTextCN":null,"PMCID":null,"EPubDate":"2025/4/1 0:00:00","PubModel":"Print","JCR":"Q2","JCRName":"ENDOCRINOLOGY & METABOLISM","Score":null,"Total":0}
引用次数: 0

Abstract

Objective: The optimal treatment with antithyroid drugs (ATDs) for a first episode of Graves' disease (GD) remains controversial.

Methods: Retrospective, two academic centres study of newly diagnosed GD between 1990 and 2022, treated with ATD in block-and-replace (B+R) regimen for at least 12 months and followed up for at least 1 year after ATD discontinuation or until disease relapse. Sixty patients received high-dose B+R (HD) with fixed ATD dose maintained during the study, and 60 patients received low-dose B+R (LD) with lower ATD dose adjusted during the study.

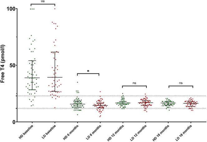
Results: Baseline characteristics were similar in both groups. The point-prevalence of euthyroidism was not different between HD and LD (38 vs 47%, P = 0.460 at 6 months, 69 vs 82%, P = 0.194 at 12 months, 70 vs 78%, P = 0.370 at 18 months, respectively). At 18 months, 27% HD vs 38% LD (P = 0.242) had thyroid eye disease. There were no differences in the number or type of ATD-related adverse events (AE) (no AE 73 vs 78%, P = 0.707). LD received mean lower ATD dose (15.3 ± 4.2 vs 30.0 ± 0.0 mg/day, P < 0.001) and lower levothyroxine dose (72.6 ± 16.7 vs 100.6 ± 24.5 μg/day, P < 0.001). After a first course of ATD, 63% of HD patients and 60% of LD patients relapsed (P = 0.707) after a median time (interquartile range) of 11.0 (18) vs 7.0 (19) months (P = 0.109).

Conclusion: We observed similar relapse rates in patients with a first episode of GD receiving up to 50% less ATD and 30% less levothyroxine dose than high-dose B+R regimen.

Abstract Image

Abstract Image

Abstract Image

Graves病首发的高剂量与低剂量阻断替代治疗
目的:抗甲状腺药物(ATD)对首发Graves病(GD)的最佳治疗仍存在争议。方法回顾性研究两个学术中心1990 - 2022年间新诊断的GD, ATD阻滞替代(B+R)方案治疗至少12个月,ATD停药后随访至少1年或直到疾病复发。60例患者接受高剂量B+R (HD)治疗,在研究期间维持固定的ATD剂量;60例患者接受低剂量B+R (LD)治疗,在研究期间调整较低的ATD剂量。结果两组患者基线特征相似。HD和LD的甲状腺功能减退点患病率无差异(6个月时38% vs 47%, p=0.460, 12个月时69% vs 82%, p=0.194, 18个月时70% vs 78%, p=0.370)。18个月时,27% HD vs 38% LD (p=0.242)有甲状腺眼病。atd相关不良事件(AE)的数量和类型无差异(无AE 73% vs. 78%, p=0.707)。LD接受平均较低ATD剂量(15.3±4.2 vs. 30.0±0.0 mg/d, p
本文章由计算机程序翻译,如有差异,请以英文原文为准。
求助全文
约1分钟内获得全文 求助全文
来源期刊
European Thyroid Journal
European Thyroid Journal Medicine-Endocrinology, Diabetes and Metabolism
CiteScore
6.70
自引率
2.10%
发文量
156
期刊介绍: The ''European Thyroid Journal'' publishes papers reporting original research in basic, translational and clinical thyroidology. Original contributions cover all aspects of the field, from molecular and cellular biology to immunology and biochemistry, from physiology to pathology, and from pediatric to adult thyroid diseases with a special focus on thyroid cancer. Readers also benefit from reviews by noted experts, which highlight especially active areas of current research. The journal will further publish formal guidelines in the field, produced and endorsed by the European Thyroid Association.
×
引用
GB/T 7714-2015
复制
MLA
复制
APA
复制
导出至
BibTeX EndNote RefMan NoteFirst NoteExpress
×
提示
您的信息不完整,为了账户安全,请先补充。
现在去补充
×
提示
您因"违规操作"
具体请查看互助需知
我知道了
×
提示
确定
请完成安全验证×
copy
已复制链接
快去分享给好友吧!
我知道了
右上角分享
点击右上角分享
0
联系我们:info@booksci.cn Book学术提供免费学术资源搜索服务,方便国内外学者检索中英文文献。致力于提供最便捷和优质的服务体验。 Copyright © 2023 布克学术 All rights reserved.
京ICP备2023020795号-1
ghs 京公网安备 11010802042870号
Book学术文献互助
Book学术文献互助群
群 号:604180095
Book学术官方微信