Toward model-based individualized fitting of hip-flexion exosuits for persons with unilateral transfemoral amputation.

IF 2.8 Q2 ENGINEERING, BIOMEDICAL
Wearable technologies Pub Date : 2025-03-12 eCollection Date: 2025-01-01 DOI:10.1017/wtc.2025.5
Finn G Eagen, Nicholas P Fey
{"title":"Toward model-based individualized fitting of hip-flexion exosuits for persons with unilateral transfemoral amputation.","authors":"Finn G Eagen, Nicholas P Fey","doi":"10.1017/wtc.2025.5","DOIUrl":null,"url":null,"abstract":"<p><p>The muscular restructuring and loss of function that occurs during a transfemoral amputation surgery has a great impact on the gait and mobility of the individual. The hip of the residual limb adopts a number of functional roles that would previously be controlled by lower joints. In the absence of active plantar flexors, swing initiation must be achieved through an increased hip flexion moment. The high activity of the residual limb is a major contributor to the discomfort and fatigue experienced by individuals with transfemoral amputations during walking. In other patient populations, both passive and active hip exosuits have been shown to positively affect gait mechanics. We believe an exosuit configured to aid with hip flexion could be well applied to individuals with transfemoral amputation. In this article, we model the effects of such a device during whole-body, subject-specific kinematic simulations of level ground walking. The device is simulated for 18 individuals of K2 and K3 Medicare functional classification levels. A user-specific device profile is generated via a three-axis moment-matching optimization using an interior-point algorithm. We employ two related cost functions that reflect an active and passive form of the device. We hypothesized that the optimal device configuration would be highly variable across subjects but that variance within mobility groups would be lower. From the results, we partially accept this hypothesis, as some parameters had high variance across subjects. However, variance did not consistently trend down when dividing into mobility groups, highlighting the need for user-specific design.</p>","PeriodicalId":75318,"journal":{"name":"Wearable technologies","volume":"6 ","pages":"e16"},"PeriodicalIF":2.8000,"publicationDate":"2025-03-12","publicationTypes":"Journal Article","fieldsOfStudy":null,"isOpenAccess":false,"openAccessPdf":"https://www.ncbi.nlm.nih.gov/pmc/articles/PMC11950789/pdf/","citationCount":"0","resultStr":null,"platform":"Semanticscholar","paperid":null,"PeriodicalName":"Wearable technologies","FirstCategoryId":"1085","ListUrlMain":"https://doi.org/10.1017/wtc.2025.5","RegionNum":0,"RegionCategory":null,"ArticlePicture":[],"TitleCN":null,"AbstractTextCN":null,"PMCID":null,"EPubDate":"2025/1/1 0:00:00","PubModel":"eCollection","JCR":"Q2","JCRName":"ENGINEERING, BIOMEDICAL","Score":null,"Total":0}
引用次数: 0

Abstract

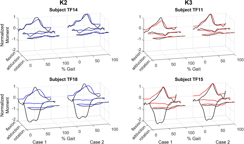
The muscular restructuring and loss of function that occurs during a transfemoral amputation surgery has a great impact on the gait and mobility of the individual. The hip of the residual limb adopts a number of functional roles that would previously be controlled by lower joints. In the absence of active plantar flexors, swing initiation must be achieved through an increased hip flexion moment. The high activity of the residual limb is a major contributor to the discomfort and fatigue experienced by individuals with transfemoral amputations during walking. In other patient populations, both passive and active hip exosuits have been shown to positively affect gait mechanics. We believe an exosuit configured to aid with hip flexion could be well applied to individuals with transfemoral amputation. In this article, we model the effects of such a device during whole-body, subject-specific kinematic simulations of level ground walking. The device is simulated for 18 individuals of K2 and K3 Medicare functional classification levels. A user-specific device profile is generated via a three-axis moment-matching optimization using an interior-point algorithm. We employ two related cost functions that reflect an active and passive form of the device. We hypothesized that the optimal device configuration would be highly variable across subjects but that variance within mobility groups would be lower. From the results, we partially accept this hypothesis, as some parameters had high variance across subjects. However, variance did not consistently trend down when dividing into mobility groups, highlighting the need for user-specific design.

Abstract Image

Abstract Image

Abstract Image

基于模型的单侧经股截肢患者髋关节屈曲外服个性化拟合研究。
在经股截肢手术中发生的肌肉重构和功能丧失对个体的步态和活动能力有很大的影响。残肢的髋部采用了许多以前由较低的关节控制的功能角色。在没有活跃的足底屈肌的情况下,必须通过增加髋屈曲力矩来开始摆动。残肢的高活动性是经股截肢患者行走时感到不适和疲劳的主要原因。在其他患者群体中,被动式和主动式髋关节外装都显示出对步态力学的积极影响。我们相信,一种外装配置,以帮助髋屈曲可以很好地应用于个人经股截肢。在这篇文章中,我们模拟了这种装置在平地行走的全身,特定主题的运动学模拟中的效果。该装置模拟了18名K2和K3医疗保险功能分类水平的个人。用户特定的设备配置文件是通过使用内点算法的三轴力矩匹配优化生成的。我们使用两个相关的成本函数来反映设备的主动和被动形式。我们假设,最佳的设备配置在不同的受试者之间是高度可变的,但在移动组内的差异会更低。从结果来看,我们部分接受这一假设,因为一些参数在受试者之间有很高的方差。然而,当划分为移动组时,方差并没有持续下降,这突出了对用户特定设计的需求。
本文章由计算机程序翻译,如有差异,请以英文原文为准。
求助全文
约1分钟内获得全文 求助全文
来源期刊
CiteScore
5.80
自引率
0.00%
发文量
0
审稿时长
11 weeks
×
引用
GB/T 7714-2015
复制
MLA
复制
APA
复制
导出至
BibTeX EndNote RefMan NoteFirst NoteExpress
×
提示
您的信息不完整,为了账户安全,请先补充。
现在去补充
×
提示
您因"违规操作"
具体请查看互助需知
我知道了
×
提示
确定
请完成安全验证×
copy
已复制链接
快去分享给好友吧!
我知道了
右上角分享
点击右上角分享
0
联系我们:info@booksci.cn Book学术提供免费学术资源搜索服务,方便国内外学者检索中英文文献。致力于提供最便捷和优质的服务体验。 Copyright © 2023 布克学术 All rights reserved.
京ICP备2023020795号-1
ghs 京公网安备 11010802042870号
Book学术文献互助
Book学术文献互助群
群 号:604180095
Book学术官方微信