Root colonization dynamics of alginate encapsulated rhizobacteria: implications for Arabidopsis thaliana root growth and durum wheat performance.

IF 4.1 Q3 MICROBIOLOGY
AIMS Microbiology Pub Date : 2025-02-05 eCollection Date: 2025-01-01 DOI:10.3934/microbiol.2025006
Amel Balla, Allaoua Silini, Hafsa Cherif-Silini, Francesca Mapelli, Sara Borin
{"title":"Root colonization dynamics of alginate encapsulated rhizobacteria: implications for <i>Arabidopsis thaliana</i> root growth and durum wheat performance.","authors":"Amel Balla, Allaoua Silini, Hafsa Cherif-Silini, Francesca Mapelli, Sara Borin","doi":"10.3934/microbiol.2025006","DOIUrl":null,"url":null,"abstract":"<p><p>Bioencapsulation in alginate capsules offers an interesting opportunity for the efficient delivery of microbial inoculants for agricultural purposes. The present study evaluated the ionic gelation technique to prepare beads loaded with two plant growth-promoting bacteria (PGPB), <i>Bacillus thuringiensis</i> strain B25 and <i>Pantoea agglomerans</i> strain Pa in 1% alginate supplemented with 5mM proline as an osmoprotectant. Capsule morphology, survival rate, encapsulation efficiency, and viability during 24 months of storage as well as the stability of PGP activities were studied. Our results indicate that more than 99% of bacteria were effectively trapped in the alginate beads, which successfully released live bacteria after 60 days of storage at room temperature. A considerable survival of <i>B. thuringiensis</i> B25 throughout the storage period was detected, while the inoculated concentration of 8.72 × 10<sup>9</sup> (±0.04 ×10<sup>9</sup>) CFU/mL was reduced to 99.9% for <i>P. agglomerans</i> Pa after 24 months of storage. Notably, a higher survival of individually encapsulated bacteria was observed compared to their co-inoculation. The colonization capacity of model plant <i>Arabidopsis thaliana</i> roots by free and encapsulated bacteria was detected by the triphenyltetrazolium chloride test. Moreover, both strains effectively colonized the rhizosphere, rhizoplane, and endosphere of durum wheat plants and exerted a remarkable improvement in plant growth, estimated as a significant increase in the quantities of total proteins, sugars, and chlorophyll pigments, besides roots and shoots length. This study demonstrated that alginate-encapsulated <i>B. thuringiensis</i> B25 and <i>P. agglomerans</i> Pa could be used as inoculants in agriculture, as their encapsulation ensures robust protection, maintenance of viability and PGP activity, and controlled bacterial biostimulant release into the rhizosphere.</p>","PeriodicalId":46108,"journal":{"name":"AIMS Microbiology","volume":"11 1","pages":"87-125"},"PeriodicalIF":4.1000,"publicationDate":"2025-02-05","publicationTypes":"Journal Article","fieldsOfStudy":null,"isOpenAccess":false,"openAccessPdf":"https://www.ncbi.nlm.nih.gov/pmc/articles/PMC11950683/pdf/","citationCount":"0","resultStr":null,"platform":"Semanticscholar","paperid":null,"PeriodicalName":"AIMS Microbiology","FirstCategoryId":"1085","ListUrlMain":"https://doi.org/10.3934/microbiol.2025006","RegionNum":0,"RegionCategory":null,"ArticlePicture":[],"TitleCN":null,"AbstractTextCN":null,"PMCID":null,"EPubDate":"2025/1/1 0:00:00","PubModel":"eCollection","JCR":"Q3","JCRName":"MICROBIOLOGY","Score":null,"Total":0}
引用次数: 0

Abstract

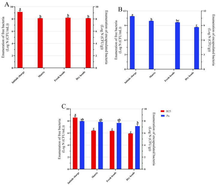
Bioencapsulation in alginate capsules offers an interesting opportunity for the efficient delivery of microbial inoculants for agricultural purposes. The present study evaluated the ionic gelation technique to prepare beads loaded with two plant growth-promoting bacteria (PGPB), Bacillus thuringiensis strain B25 and Pantoea agglomerans strain Pa in 1% alginate supplemented with 5mM proline as an osmoprotectant. Capsule morphology, survival rate, encapsulation efficiency, and viability during 24 months of storage as well as the stability of PGP activities were studied. Our results indicate that more than 99% of bacteria were effectively trapped in the alginate beads, which successfully released live bacteria after 60 days of storage at room temperature. A considerable survival of B. thuringiensis B25 throughout the storage period was detected, while the inoculated concentration of 8.72 × 109 (±0.04 ×109) CFU/mL was reduced to 99.9% for P. agglomerans Pa after 24 months of storage. Notably, a higher survival of individually encapsulated bacteria was observed compared to their co-inoculation. The colonization capacity of model plant Arabidopsis thaliana roots by free and encapsulated bacteria was detected by the triphenyltetrazolium chloride test. Moreover, both strains effectively colonized the rhizosphere, rhizoplane, and endosphere of durum wheat plants and exerted a remarkable improvement in plant growth, estimated as a significant increase in the quantities of total proteins, sugars, and chlorophyll pigments, besides roots and shoots length. This study demonstrated that alginate-encapsulated B. thuringiensis B25 and P. agglomerans Pa could be used as inoculants in agriculture, as their encapsulation ensures robust protection, maintenance of viability and PGP activity, and controlled bacterial biostimulant release into the rhizosphere.

Abstract Image

Abstract Image

Abstract Image

海藻酸盐包封的根细菌的根定植动态:对拟南芥根生长和硬粒小麦生产性能的影响。
海藻酸盐胶囊的生物包封为农业用途的微生物接种剂的有效递送提供了一个有趣的机会。在1%海藻酸盐中添加5mM脯氨酸作为渗透保护剂,研究了离子凝胶法制备两种植物生长促进菌(PGPB)苏云金芽孢杆菌(Bacillus thuringiensis)菌株B25和Pantoea agglomerans菌株Pa。研究了贮藏24个月时荚膜形态、荚膜存活率、荚膜效率、荚膜活力及PGP活性的稳定性。结果表明,99%以上的细菌被有效捕获在藻酸盐珠中,藻酸盐珠在室温下储存60天后成功释放出活菌。结果表明,苏云金芽孢杆菌B25在贮藏期间的存活率较高,而聚珠芽孢杆菌的接种浓度为8.72 ×109(±0.04 ×109) CFU/mL,贮藏24个月后降至99.9%。值得注意的是,单独包封细菌的存活率高于它们的共接种。采用三苯基四氮唑法测定了游离菌和包被菌对模式植物拟南芥根系的定殖能力。此外,这两种菌株都能在硬粒小麦植株的根际、根面和内球层有效定植,并对植株生长有显著的促进作用,除根和芽长外,还能显著增加总蛋白、糖和叶绿素色素的含量。本研究表明,藻酸盐包封的苏云金芽孢杆菌B25和聚团芽孢杆菌Pa可以作为农业接种剂,因为它们的包封保证了强大的保护作用,维持了芽孢杆菌的活力和PGP活性,并控制了细菌生物刺激素向根际的释放。
本文章由计算机程序翻译,如有差异,请以英文原文为准。
求助全文
约1分钟内获得全文 求助全文
来源期刊
AIMS Microbiology
AIMS Microbiology MICROBIOLOGY-
CiteScore
7.00
自引率
2.10%
发文量
22
审稿时长
8 weeks
×
引用
GB/T 7714-2015
复制
MLA
复制
APA
复制
导出至
BibTeX EndNote RefMan NoteFirst NoteExpress
×
提示
您的信息不完整,为了账户安全,请先补充。
现在去补充
×
提示
您因"违规操作"
具体请查看互助需知
我知道了
×
提示
确定
请完成安全验证×
copy
已复制链接
快去分享给好友吧!
我知道了
右上角分享
点击右上角分享
0
联系我们:info@booksci.cn Book学术提供免费学术资源搜索服务,方便国内外学者检索中英文文献。致力于提供最便捷和优质的服务体验。 Copyright © 2023 布克学术 All rights reserved.
京ICP备2023020795号-1
ghs 京公网安备 11010802042870号
Book学术文献互助
Book学术文献互助群
群 号:604180095
Book学术官方微信