Functional analysis of 6 variations in FOXL2.

IF 2.1 Q2 MEDICINE, GENERAL & INTERNAL
SAGE Open Medicine Pub Date : 2025-03-29 eCollection Date: 2025-01-01 DOI:10.1177/20503121251329287
Yuan Wang, Qian Wu, Yunyu Zhou, Wen Liu, Wenhong Cao, Yunwei Fan, Ningdong Li
{"title":"Functional analysis of 6 variations in <i>FOXL2</i>.","authors":"Yuan Wang, Qian Wu, Yunyu Zhou, Wen Liu, Wenhong Cao, Yunwei Fan, Ningdong Li","doi":"10.1177/20503121251329287","DOIUrl":null,"url":null,"abstract":"<p><strong>Objective: </strong>We aimed to investigate the functional alterations caused by pathogenic variants in the <i>FOXL2</i> gene, a forkhead transcriptional factor.</p><p><strong>Methods: </strong>This study is an experimental research with a duration from January to September 2022. We selected six variants for analysis, including a double missense variant, c.150C>G (p. Asp50Glu) and c.326A>T (p. Asn109Ile); three deletions, c.411_412del (p. Met137Ilefs101), c.533_542del (p. Val178Alafs90), and c.684delA (p. Ala229Leufs43); a nonsense variant, c.214G>T (p. Glu72); and a duplication, c.663_692dup (p. Ala225_Ala234dup). We constructed expression vectors containing these variants and transfected them into HeLa cells. Confocal microscopy was used to observe the subcellular localization of the expressed proteins. We evaluated gene expression using dual luciferase reporter assays and quantitative PCR.</p><p><strong>Results: </strong>Proteins expressed by vectors with deletion variants were predominantly localized to the nucleus, while those with the double missense variant exhibited diffuse expression throughout the cell. Proteins from nonsense and duplication variants localized to the cytoplasm. Luciferase activity assays revealed that proteins encoded by the p. Ala229Leufs43, p. Glu72, and p. Ala225_Ala234dup variants significantly diminished the inhibitory effects on the transcription of the <i>StAR</i> gene. Additionally, all proteins encoded by indel and nonsense variants, except for the double missense variant, demonstrated a marked reduction in their inhibitory effects on <i>CCDN2</i> and <i>INHBB</i> gene expression.</p><p><strong>Conclusions: </strong>The double missense variant does not exert a superimposed inhibitory effect on gene expression. Despite differences in subcellular localization, all mutant proteins produced by these variants likely interfere with downstream gene expression through a shared pathway. Furthermore, mutant <i>FOXL2</i> proteins may disrupt ovarian development via multiple pathways, extending beyond their impact on <i>StAR</i> gene expression.</p>","PeriodicalId":21398,"journal":{"name":"SAGE Open Medicine","volume":"13 ","pages":"20503121251329287"},"PeriodicalIF":2.1000,"publicationDate":"2025-03-29","publicationTypes":"Journal Article","fieldsOfStudy":null,"isOpenAccess":false,"openAccessPdf":"https://www.ncbi.nlm.nih.gov/pmc/articles/PMC11956509/pdf/","citationCount":"0","resultStr":null,"platform":"Semanticscholar","paperid":null,"PeriodicalName":"SAGE Open Medicine","FirstCategoryId":"1085","ListUrlMain":"https://doi.org/10.1177/20503121251329287","RegionNum":0,"RegionCategory":null,"ArticlePicture":[],"TitleCN":null,"AbstractTextCN":null,"PMCID":null,"EPubDate":"2025/1/1 0:00:00","PubModel":"eCollection","JCR":"Q2","JCRName":"MEDICINE, GENERAL & INTERNAL","Score":null,"Total":0}
引用次数: 0

Abstract

Objective: We aimed to investigate the functional alterations caused by pathogenic variants in the FOXL2 gene, a forkhead transcriptional factor.

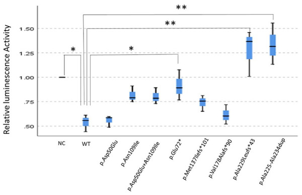
Methods: This study is an experimental research with a duration from January to September 2022. We selected six variants for analysis, including a double missense variant, c.150C>G (p. Asp50Glu) and c.326A>T (p. Asn109Ile); three deletions, c.411_412del (p. Met137Ilefs101), c.533_542del (p. Val178Alafs90), and c.684delA (p. Ala229Leufs43); a nonsense variant, c.214G>T (p. Glu72); and a duplication, c.663_692dup (p. Ala225_Ala234dup). We constructed expression vectors containing these variants and transfected them into HeLa cells. Confocal microscopy was used to observe the subcellular localization of the expressed proteins. We evaluated gene expression using dual luciferase reporter assays and quantitative PCR.

Results: Proteins expressed by vectors with deletion variants were predominantly localized to the nucleus, while those with the double missense variant exhibited diffuse expression throughout the cell. Proteins from nonsense and duplication variants localized to the cytoplasm. Luciferase activity assays revealed that proteins encoded by the p. Ala229Leufs43, p. Glu72, and p. Ala225_Ala234dup variants significantly diminished the inhibitory effects on the transcription of the StAR gene. Additionally, all proteins encoded by indel and nonsense variants, except for the double missense variant, demonstrated a marked reduction in their inhibitory effects on CCDN2 and INHBB gene expression.

Conclusions: The double missense variant does not exert a superimposed inhibitory effect on gene expression. Despite differences in subcellular localization, all mutant proteins produced by these variants likely interfere with downstream gene expression through a shared pathway. Furthermore, mutant FOXL2 proteins may disrupt ovarian development via multiple pathways, extending beyond their impact on StAR gene expression.

Abstract Image

Abstract Image

Abstract Image

6个FOXL2变异的功能分析。
目的:研究叉头转录因子FOXL2基因致病性变异引起的功能改变。方法:本研究为实验研究,研究时间为2022年1 - 9月。我们选择了6个变异进行分析,包括一个双错义变异,c.150C >g (p. Asp50Glu)和c.326A >t (p. Asn109Ile);三个缺失,c.411_412del (p. Met137Ilefs101), c.533_542del (p. Val178Alafs90)和c.684delA (p. Ala229Leufs43);一个无意义的变体,c.214G>T (p. Glu72);和一个副本c.663_692dup (p. Ala225_Ala234dup)。我们构建了包含这些变体的表达载体,并将其转染到HeLa细胞中。用共聚焦显微镜观察表达蛋白的亚细胞定位。我们使用双荧光素酶报告基因检测和定量PCR来评估基因表达。结果:带有缺失变体的载体表达的蛋白主要局限于细胞核,而带有双错义变体的载体则在整个细胞中弥漫表达。来自无义和复制变异的蛋白质定位于细胞质。荧光素酶活性分析显示,由p. Ala229Leufs43、p. Glu72和p. Ala225_Ala234dup变体编码的蛋白质显著降低了对StAR基因转录的抑制作用。此外,除双错义变体外,所有由无义和无义变体编码的蛋白质对CCDN2和INHBB基因表达的抑制作用均显著降低。结论:双错义变异对基因表达不产生叠加抑制作用。尽管亚细胞定位存在差异,但这些变体产生的所有突变蛋白都可能通过共享途径干扰下游基因表达。此外,突变的FOXL2蛋白可能通过多种途径破坏卵巢发育,而不仅仅是对StAR基因表达的影响。
本文章由计算机程序翻译,如有差异,请以英文原文为准。
求助全文
约1分钟内获得全文 求助全文
来源期刊
SAGE Open Medicine
SAGE Open Medicine MEDICINE, GENERAL & INTERNAL-
CiteScore
3.50
自引率
4.30%
发文量
289
审稿时长
12 weeks
×
引用
GB/T 7714-2015
复制
MLA
复制
APA
复制
导出至
BibTeX EndNote RefMan NoteFirst NoteExpress
×
提示
您的信息不完整,为了账户安全,请先补充。
现在去补充
×
提示
您因"违规操作"
具体请查看互助需知
我知道了
×
提示
确定
请完成安全验证×
copy
已复制链接
快去分享给好友吧!
我知道了
右上角分享
点击右上角分享
0
联系我们:info@booksci.cn Book学术提供免费学术资源搜索服务,方便国内外学者检索中英文文献。致力于提供最便捷和优质的服务体验。 Copyright © 2023 布克学术 All rights reserved.
京ICP备2023020795号-1
ghs 京公网安备 11010802042870号
Book学术文献互助
Book学术文献互助群
群 号:604180095
Book学术官方微信