G-formula with multiple imputation for causal inference with incomplete data.

IF 1.9 3区 医学 Q3 HEALTH CARE SCIENCES & SERVICES
Statistical Methods in Medical Research Pub Date : 2025-06-01 Epub Date: 2025-03-31 DOI:10.1177/09622802251316971
Jonathan W Bartlett, Camila Olarte Parra, Emily Granger, Ruth H Keogh, Erik W van Zwet, Rhian M Daniel
{"title":"G-formula with multiple imputation for causal inference with incomplete data.","authors":"Jonathan W Bartlett, Camila Olarte Parra, Emily Granger, Ruth H Keogh, Erik W van Zwet, Rhian M Daniel","doi":"10.1177/09622802251316971","DOIUrl":null,"url":null,"abstract":"<p><p>G-formula is a popular approach for estimating the effects of time-varying treatments or exposures from longitudinal data. G-formula is typically implemented using Monte-Carlo simulation, with non-parametric bootstrapping used for inference. In longitudinal data settings missing data are a common issue, which are often handled using multiple imputation, but it is unclear how G-formula and multiple imputation should be combined. We show how G-formula can be implemented using Bayesian multiple imputation methods for synthetic data, and that by doing so, we can impute missing data and simulate the counterfactuals of interest within a single coherent approach. We describe how this can be achieved using standard multiple imputation software and explore its performance using a simulation study and an application from cystic fibrosis.</p>","PeriodicalId":22038,"journal":{"name":"Statistical Methods in Medical Research","volume":" ","pages":"1130-1143"},"PeriodicalIF":1.9000,"publicationDate":"2025-06-01","publicationTypes":"Journal Article","fieldsOfStudy":null,"isOpenAccess":false,"openAccessPdf":"https://www.ncbi.nlm.nih.gov/pmc/articles/PMC12209542/pdf/","citationCount":"0","resultStr":null,"platform":"Semanticscholar","paperid":null,"PeriodicalName":"Statistical Methods in Medical Research","FirstCategoryId":"3","ListUrlMain":"https://doi.org/10.1177/09622802251316971","RegionNum":3,"RegionCategory":"医学","ArticlePicture":[],"TitleCN":null,"AbstractTextCN":null,"PMCID":null,"EPubDate":"2025/3/31 0:00:00","PubModel":"Epub","JCR":"Q3","JCRName":"HEALTH CARE SCIENCES & SERVICES","Score":null,"Total":0}
引用次数: 0

Abstract

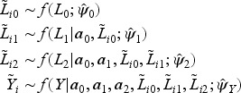
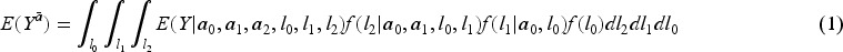
G-formula is a popular approach for estimating the effects of time-varying treatments or exposures from longitudinal data. G-formula is typically implemented using Monte-Carlo simulation, with non-parametric bootstrapping used for inference. In longitudinal data settings missing data are a common issue, which are often handled using multiple imputation, but it is unclear how G-formula and multiple imputation should be combined. We show how G-formula can be implemented using Bayesian multiple imputation methods for synthetic data, and that by doing so, we can impute missing data and simulate the counterfactuals of interest within a single coherent approach. We describe how this can be achieved using standard multiple imputation software and explore its performance using a simulation study and an application from cystic fibrosis.

Abstract Image

Abstract Image

Abstract Image

不完全数据下的多重归因g公式。
g公式是一种流行的方法,用于估计时变处理或纵向数据暴露的影响。g公式通常使用蒙特卡罗模拟实现,非参数自举用于推理。在纵向数据设置中,数据缺失是一个常见的问题,通常使用多次输入来处理,但g公式和多次输入如何结合还不清楚。我们展示了如何使用合成数据的贝叶斯多重输入方法来实现g公式,并且通过这样做,我们可以输入缺失的数据并在单一连贯的方法中模拟感兴趣的反事实。我们描述了如何使用标准的多重植入软件来实现这一点,并通过模拟研究和囊性纤维化的应用来探索其性能。
本文章由计算机程序翻译,如有差异,请以英文原文为准。
求助全文
约1分钟内获得全文 求助全文
来源期刊
Statistical Methods in Medical Research
Statistical Methods in Medical Research 医学-数学与计算生物学
CiteScore
4.10
自引率
4.30%
发文量
127
审稿时长
>12 weeks
期刊介绍: Statistical Methods in Medical Research is a peer reviewed scholarly journal and is the leading vehicle for articles in all the main areas of medical statistics and an essential reference for all medical statisticians. This unique journal is devoted solely to statistics and medicine and aims to keep professionals abreast of the many powerful statistical techniques now available to the medical profession. This journal is a member of the Committee on Publication Ethics (COPE)
×
引用
GB/T 7714-2015
复制
MLA
复制
APA
复制
导出至
BibTeX EndNote RefMan NoteFirst NoteExpress
×
提示
您的信息不完整,为了账户安全,请先补充。
现在去补充
×
提示
您因"违规操作"
具体请查看互助需知
我知道了
×
提示
确定
请完成安全验证×
copy
已复制链接
快去分享给好友吧!
我知道了
右上角分享
点击右上角分享
0
联系我们:info@booksci.cn Book学术提供免费学术资源搜索服务,方便国内外学者检索中英文文献。致力于提供最便捷和优质的服务体验。 Copyright © 2023 布克学术 All rights reserved.
京ICP备2023020795号-1
ghs 京公网安备 11010802042870号
Book学术文献互助
Book学术文献互助群
群 号:604180095
Book学术官方微信