Performance of the early warning system score in predicting postoperative complications in older versus younger patients.

IF 2.1 3区 医学 Q2 ANESTHESIOLOGY
Annick Stolze, Lisette Vernooij, Dianne de Korte-de Boer, Markus W Hollmann, Wolfgang F F A Buhre, Christa Boer, Peter G Noordzij
{"title":"Performance of the early warning system score in predicting postoperative complications in older versus younger patients.","authors":"Annick Stolze, Lisette Vernooij, Dianne de Korte-de Boer, Markus W Hollmann, Wolfgang F F A Buhre, Christa Boer, Peter G Noordzij","doi":"10.1186/s13741-025-00516-w","DOIUrl":null,"url":null,"abstract":"<p><strong>Background: </strong>Early warning system (EWS) scores are implemented on surgical wards to identify patients at high risk of postoperative clinical deterioration, but its predictive value in older patients is unclear. This study assessed the prognostic value of EWS scores to predict severe postoperative complications in older patients compared to younger patients.</p><p><strong>Methods: </strong>This study utilized data from the TRACE study. EWS scores were routinely measured on postoperative days one (POD1) and three (POD3). The cohort was divided by age: < 70 years and ≥ 70 years. Performance measures of EWS scores on POD1 and POD3 were assessed to predict severe postoperative complications. Missed event rates (proportion of events not detected by the EWS threshold) and nonevent rates (proportion of EWS values above the threshold without an adverse event) were calculated.</p><p><strong>Results: </strong>Among 4866 patients, 39.3% were ≥ 70 years old. Severe complications occurred in 6.1% of older compared to 5.8% of younger patients (P = 0.658). EWS scores on POD1 and POD3 did not differ between age groups. For severe complications, EWS showed moderate discrimination in both older (POD1: C-statistic 0.65 (95%CI 0.59-0.70); POD3: 0.63 (95%CI 0.57-0.69)) and younger patients (POD1: 0.68 (95%CI 0.65-0.72); POD3: 0.65 (95%CI 0.61-0.70)). Overall, calibration was good. For EWS score ≥ 3, the missed event rate was at least 69% and nonevent rate 75%.</p><p><strong>Conclusions: </strong>Predicted performance of the EWS score was moderate among older and younger patients. A limitation of the EWS score is the high rate of missed events and nonevents.</p>","PeriodicalId":19764,"journal":{"name":"Perioperative Medicine","volume":"14 1","pages":"39"},"PeriodicalIF":2.1000,"publicationDate":"2025-04-01","publicationTypes":"Journal Article","fieldsOfStudy":null,"isOpenAccess":false,"openAccessPdf":"https://www.ncbi.nlm.nih.gov/pmc/articles/PMC11959713/pdf/","citationCount":"0","resultStr":null,"platform":"Semanticscholar","paperid":null,"PeriodicalName":"Perioperative Medicine","FirstCategoryId":"3","ListUrlMain":"https://doi.org/10.1186/s13741-025-00516-w","RegionNum":3,"RegionCategory":"医学","ArticlePicture":[],"TitleCN":null,"AbstractTextCN":null,"PMCID":null,"EPubDate":"","PubModel":"","JCR":"Q2","JCRName":"ANESTHESIOLOGY","Score":null,"Total":0}
引用次数: 0

Abstract

Background: Early warning system (EWS) scores are implemented on surgical wards to identify patients at high risk of postoperative clinical deterioration, but its predictive value in older patients is unclear. This study assessed the prognostic value of EWS scores to predict severe postoperative complications in older patients compared to younger patients.

Methods: This study utilized data from the TRACE study. EWS scores were routinely measured on postoperative days one (POD1) and three (POD3). The cohort was divided by age: < 70 years and ≥ 70 years. Performance measures of EWS scores on POD1 and POD3 were assessed to predict severe postoperative complications. Missed event rates (proportion of events not detected by the EWS threshold) and nonevent rates (proportion of EWS values above the threshold without an adverse event) were calculated.

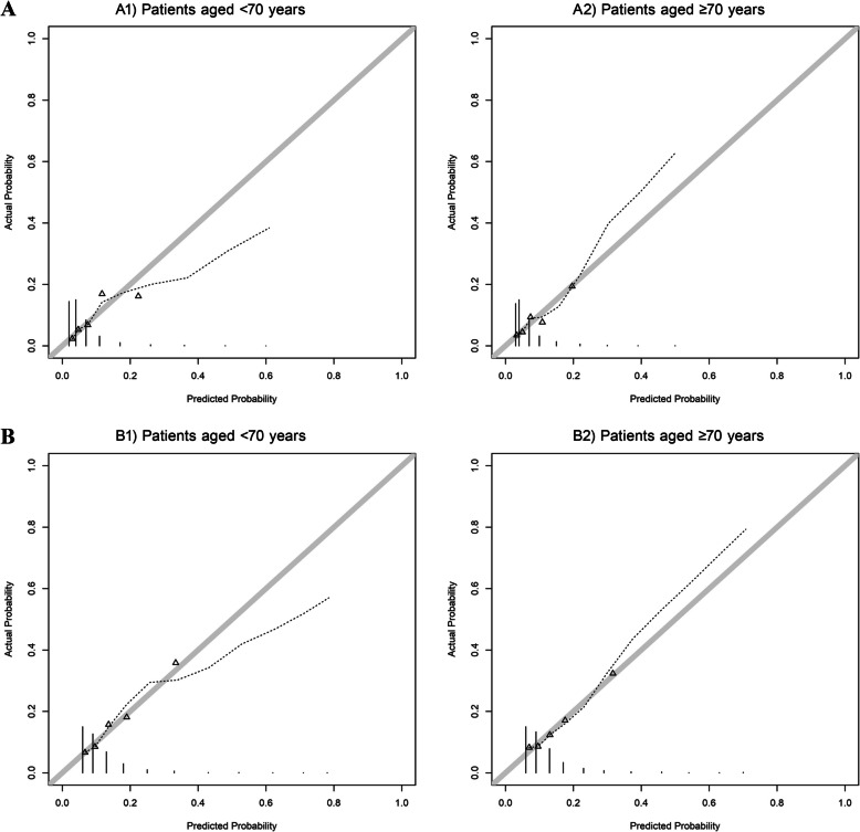
Results: Among 4866 patients, 39.3% were ≥ 70 years old. Severe complications occurred in 6.1% of older compared to 5.8% of younger patients (P = 0.658). EWS scores on POD1 and POD3 did not differ between age groups. For severe complications, EWS showed moderate discrimination in both older (POD1: C-statistic 0.65 (95%CI 0.59-0.70); POD3: 0.63 (95%CI 0.57-0.69)) and younger patients (POD1: 0.68 (95%CI 0.65-0.72); POD3: 0.65 (95%CI 0.61-0.70)). Overall, calibration was good. For EWS score ≥ 3, the missed event rate was at least 69% and nonevent rate 75%.

Conclusions: Predicted performance of the EWS score was moderate among older and younger patients. A limitation of the EWS score is the high rate of missed events and nonevents.

Abstract Image

Abstract Image

早期预警系统评分在预测老年和年轻患者术后并发症方面的表现。
背景:早期预警系统(EWS)评分在外科病房实施,用于识别术后临床恶化高危患者,但其对老年患者的预测价值尚不清楚。本研究评估了EWS评分在老年患者和年轻患者中预测严重术后并发症的预后价值。方法:本研究使用来自TRACE研究的数据。术后第1天(POD1)和第3天(POD3)常规测量EWS评分。结果:4866例患者中,年龄≥70岁的占39.3%。老年患者发生严重并发症的比例为6.1%,而年轻患者为5.8% (P = 0.658)。EWS在POD1和POD3上的得分在年龄组之间没有差异。对于严重并发症,EWS在老年人中表现出中度歧视(POD1: c统计值0.65 (95%CI 0.59-0.70);POD3: 0.63 (95%CI 0.57-0.69))和年轻患者(POD1: 0.68 (95%CI 0.65-0.72);Pod3: 0.65 (95%ci 0.61-0.70))。总的来说,校准是好的。EWS评分≥3分,漏诊率至少为69%,无事件率为75%。结论:EWS评分在老年和年轻患者中的预测表现中等。EWS评分的一个限制是错过事件和非事件的高比率。
本文章由计算机程序翻译,如有差异,请以英文原文为准。
求助全文
约1分钟内获得全文 求助全文
来源期刊
自引率
3.80%
发文量
55
审稿时长
10 weeks
×
引用
GB/T 7714-2015
复制
MLA
复制
APA
复制
导出至
BibTeX EndNote RefMan NoteFirst NoteExpress
×
提示
您的信息不完整,为了账户安全,请先补充。
现在去补充
×
提示
您因"违规操作"
具体请查看互助需知
我知道了
×
提示
确定
请完成安全验证×
copy
已复制链接
快去分享给好友吧!
我知道了
右上角分享
点击右上角分享
0
联系我们:info@booksci.cn Book学术提供免费学术资源搜索服务,方便国内外学者检索中英文文献。致力于提供最便捷和优质的服务体验。 Copyright © 2023 布克学术 All rights reserved.
京ICP备2023020795号-1
ghs 京公网安备 11010802042870号
Book学术文献互助
Book学术文献互助群
群 号:604180095
Book学术官方微信