Mendelian randomization evidence for lung function mediates the association between childhood allergies (age <16 years) and essential hypertension.

IF 0.7 4区 医学 Q4 OBSTETRICS & GYNECOLOGY
Yu-Hang Long, Jun-Sen She, Fei Guo, Bo-Kang Zhou, Chen Fang, Yi-Zhi Hu, Ling Gao, He-Feng Huang
{"title":"Mendelian randomization evidence for lung function mediates the association between childhood allergies (age <16 years) and essential hypertension.","authors":"Yu-Hang Long, Jun-Sen She, Fei Guo, Bo-Kang Zhou, Chen Fang, Yi-Zhi Hu, Ling Gao, He-Feng Huang","doi":"10.1097/RD9.0000000000000121","DOIUrl":null,"url":null,"abstract":"<p><strong>Objective: </strong>This study aimed to investigate the influence of lung function on the relationship between allergies and hypertension, thereby elucidating significant potential mechanisms from a genetic standpoint. We investigated the causal relationship between childhood allergies (age <16 years) and essential hypertension and identified and quantified the role of lung function (forced vital capacity [FVC] and forced expiratory volume in the first second/forced vital capacity [FEV1/FVC]) as potential mediators.</p><p><strong>Methods: </strong>Using data from a genome-wide association study and the Fenn Genn consortium, a two-sample Mendelian randomization (MR) analysis of genetically predicted childhood allergies (7128 cases and 211,703 controls) and essential hypertension (116,714 cases and 1,032,659 controls) was performed. Furthermore, we used two-step MR to quantify the effect of lung function-mediated childhood allergies on essential hypertension. The FVC and FEV1/FV sample size was 371,898.</p><p><strong>Results: </strong>Childhood allergies were associated with increased odds of developing essential hypertension (odds ratio [<i>OR</i>] = 1.0900, 95% confidence interval [<i>CI</i>] = <b><i> </i></b> 1.0034-1.1842, <i>P</i> = 0.0414). No strong evidence that genetically predicted essential hypertension affected childhood allergy risk was identified (<i>OR</i> = 1.0631, 95% <i>CI</i> = 0.9829-1.1498, <i>P</i> = 0.1264). The proportion of genetically predicted childhood allergies mediated only by FVC was 5.67% (95% <i>CI</i>, 5.13%-5.73%).</p><p><strong>Conclusion: </strong>A causal relationship between childhood allergies and essential hypertension was identified, with a proportion of the effect mediated by FVC. Therefore, implementing early interventions in children with allergies is imperative to mitigate the long-term risk of developing hypertension. Further research is required to identify additional risk factors as potential mediators.</p>","PeriodicalId":20959,"journal":{"name":"Reproductive and Developmental Medicine","volume":"9 1","pages":"48-56"},"PeriodicalIF":0.7000,"publicationDate":"2025-03-01","publicationTypes":"Journal Article","fieldsOfStudy":null,"isOpenAccess":false,"openAccessPdf":"https://www.ncbi.nlm.nih.gov/pmc/articles/PMC11949214/pdf/","citationCount":"0","resultStr":null,"platform":"Semanticscholar","paperid":null,"PeriodicalName":"Reproductive and Developmental Medicine","FirstCategoryId":"3","ListUrlMain":"https://doi.org/10.1097/RD9.0000000000000121","RegionNum":4,"RegionCategory":"医学","ArticlePicture":[],"TitleCN":null,"AbstractTextCN":null,"PMCID":null,"EPubDate":"2024/12/17 0:00:00","PubModel":"Epub","JCR":"Q4","JCRName":"OBSTETRICS & GYNECOLOGY","Score":null,"Total":0}
引用次数: 0

Abstract

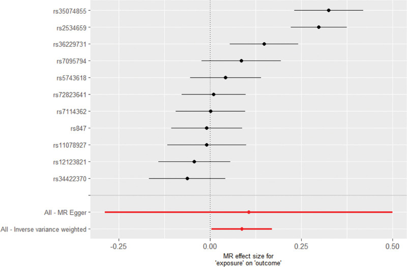
Objective: This study aimed to investigate the influence of lung function on the relationship between allergies and hypertension, thereby elucidating significant potential mechanisms from a genetic standpoint. We investigated the causal relationship between childhood allergies (age <16 years) and essential hypertension and identified and quantified the role of lung function (forced vital capacity [FVC] and forced expiratory volume in the first second/forced vital capacity [FEV1/FVC]) as potential mediators.

Methods: Using data from a genome-wide association study and the Fenn Genn consortium, a two-sample Mendelian randomization (MR) analysis of genetically predicted childhood allergies (7128 cases and 211,703 controls) and essential hypertension (116,714 cases and 1,032,659 controls) was performed. Furthermore, we used two-step MR to quantify the effect of lung function-mediated childhood allergies on essential hypertension. The FVC and FEV1/FV sample size was 371,898.

Results: Childhood allergies were associated with increased odds of developing essential hypertension (odds ratio [OR] = 1.0900, 95% confidence interval [CI] = 1.0034-1.1842, P = 0.0414). No strong evidence that genetically predicted essential hypertension affected childhood allergy risk was identified (OR = 1.0631, 95% CI = 0.9829-1.1498, P = 0.1264). The proportion of genetically predicted childhood allergies mediated only by FVC was 5.67% (95% CI, 5.13%-5.73%).

Conclusion: A causal relationship between childhood allergies and essential hypertension was identified, with a proportion of the effect mediated by FVC. Therefore, implementing early interventions in children with allergies is imperative to mitigate the long-term risk of developing hypertension. Further research is required to identify additional risk factors as potential mediators.

Abstract Image

Abstract Image

Abstract Image

肺功能的孟德尔随机化证据介导儿童过敏(年龄<16岁)与原发性高血压之间的关联。
目的:本研究旨在探讨肺功能对过敏与高血压关系的影响,从而从遗传学角度阐明重要的潜在机制。方法:使用全基因组关联研究和Fenn Genn联盟的数据,对遗传预测的儿童过敏(7128例和211,703例对照)和原发性高血压(116,714例和1,032,659例对照)进行双样本孟德尔随机化(MR)分析。此外,我们使用两步磁共振来量化肺功能介导的儿童过敏对原发性高血压的影响。FVC和FEV1/FV样本量为371,898。结果:儿童过敏与发生原发性高血压的几率增加相关(优势比[OR] = 1.0900, 95%可信区间[CI] = 1.0034-1.1842, P = 0.0414)。没有强有力的证据表明基因预测的原发性高血压影响儿童过敏风险(OR = 1.0631, 95% CI = 0.9829-1.1498, P = 0.1264)。仅由FVC介导的遗传预测儿童过敏比例为5.67% (95% CI, 5.13%-5.73%)。结论:儿童过敏与原发性高血压之间存在因果关系,其中FVC介导了一定比例的作用。因此,对过敏儿童进行早期干预是降低患高血压的长期风险的必要措施。需要进一步的研究来确定作为潜在中介的其他风险因素。
本文章由计算机程序翻译,如有差异,请以英文原文为准。
求助全文
约1分钟内获得全文 求助全文
来源期刊
Reproductive and Developmental Medicine
Reproductive and Developmental Medicine OBSTETRICS & GYNECOLOGY-
CiteScore
1.60
自引率
12.50%
发文量
384
审稿时长
23 weeks
×
引用
GB/T 7714-2015
复制
MLA
复制
APA
复制
导出至
BibTeX EndNote RefMan NoteFirst NoteExpress
×
提示
您的信息不完整,为了账户安全,请先补充。
现在去补充
×
提示
您因"违规操作"
具体请查看互助需知
我知道了
×
提示
确定
请完成安全验证×
copy
已复制链接
快去分享给好友吧!
我知道了
右上角分享
点击右上角分享
0
联系我们:info@booksci.cn Book学术提供免费学术资源搜索服务,方便国内外学者检索中英文文献。致力于提供最便捷和优质的服务体验。 Copyright © 2023 布克学术 All rights reserved.
京ICP备2023020795号-1
ghs 京公网安备 11010802042870号
Book学术文献互助
Book学术文献互助群
群 号:604180095
Book学术官方微信