Cholesterol Uptake Capacity as a Prognostic Marker of Cardiovascular Events for Patients with Coronary Artery Disease.

IF 2.8 2区 医学 Q2 PERIPHERAL VASCULAR DISEASE
Journal of atherosclerosis and thrombosis Pub Date : 2025-09-01 Epub Date: 2025-03-29 DOI:10.5551/jat.65520
Yusuke Yoshikawa, Ryuji Toh, Katsuhiro Murakami, Amane Harada, Jeeeun Kim, Yuto Kobayash, Keiko Miwa, Manabu Nagao, Tatsuro Ishida, Ken-Ichi Hirata, Misa Takegami, Kunihiro Nishimura
{"title":"Cholesterol Uptake Capacity as a Prognostic Marker of Cardiovascular Events for Patients with Coronary Artery Disease.","authors":"Yusuke Yoshikawa, Ryuji Toh, Katsuhiro Murakami, Amane Harada, Jeeeun Kim, Yuto Kobayash, Keiko Miwa, Manabu Nagao, Tatsuro Ishida, Ken-Ichi Hirata, Misa Takegami, Kunihiro Nishimura","doi":"10.5551/jat.65520","DOIUrl":null,"url":null,"abstract":"<p><strong>Aim: </strong>Cholesterol uptake capacity (CUC) is a functional assessment of high-density lipoprotein (HDL) and has drawn attention for the risk stratification of atherosclerotic cardiovascular disease (ASCVD). This study evaluated the usefulness of HDL-CUC as a predictive marker for long-term ASCVD events in patients with coronary artery disease (CAD).</p><p><strong>Methods: </strong>This retrospective observational study included 503 patients with CAD who underwent coronary revascularization. Blood was sampled from the participants within three months before or after index revascularization. The CUC was assayed using a previously reported automated system. The study population was divided into three groups according to the tertiles of CUC levels. The primary outcome was ASCVD events, which were defined as a composite of all-cause death, acute myocardial infarction, stroke, and peripheral artery disease.</p><p><strong>Results: </strong>A total of 29 events were observed during the follow-up (median 2.8 years). The risk of the primary outcome in the low-CUC group was significantly higher than that in the high-CUC group (3-year incidence: low CUC 8.8% vs. high CUC 4.0%; log-rank p = 0.046). After adjusting for age and sex, the risk in the low-CUC group relative to that in the high-CUC group remained significantly high (hazard ratio 3.17, 95% confidence interval 1.05-9.54, p = 0.040).</p><p><strong>Conclusion: </strong>Low CUC in patients with CAD were associated with a higher risk of ASCVD events after coronary revascularization than high CUC levels. The assessment of HDL functionality measured by CUC would be useful for the risk prediction of ASCVD after coronary revascularization.</p>","PeriodicalId":15128,"journal":{"name":"Journal of atherosclerosis and thrombosis","volume":" ","pages":"1189-1202"},"PeriodicalIF":2.8000,"publicationDate":"2025-09-01","publicationTypes":"Journal Article","fieldsOfStudy":null,"isOpenAccess":false,"openAccessPdf":"https://www.ncbi.nlm.nih.gov/pmc/articles/PMC12416930/pdf/","citationCount":"0","resultStr":null,"platform":"Semanticscholar","paperid":null,"PeriodicalName":"Journal of atherosclerosis and thrombosis","FirstCategoryId":"3","ListUrlMain":"https://doi.org/10.5551/jat.65520","RegionNum":2,"RegionCategory":"医学","ArticlePicture":[],"TitleCN":null,"AbstractTextCN":null,"PMCID":null,"EPubDate":"2025/3/29 0:00:00","PubModel":"Epub","JCR":"Q2","JCRName":"PERIPHERAL VASCULAR DISEASE","Score":null,"Total":0}
引用次数: 0

Abstract

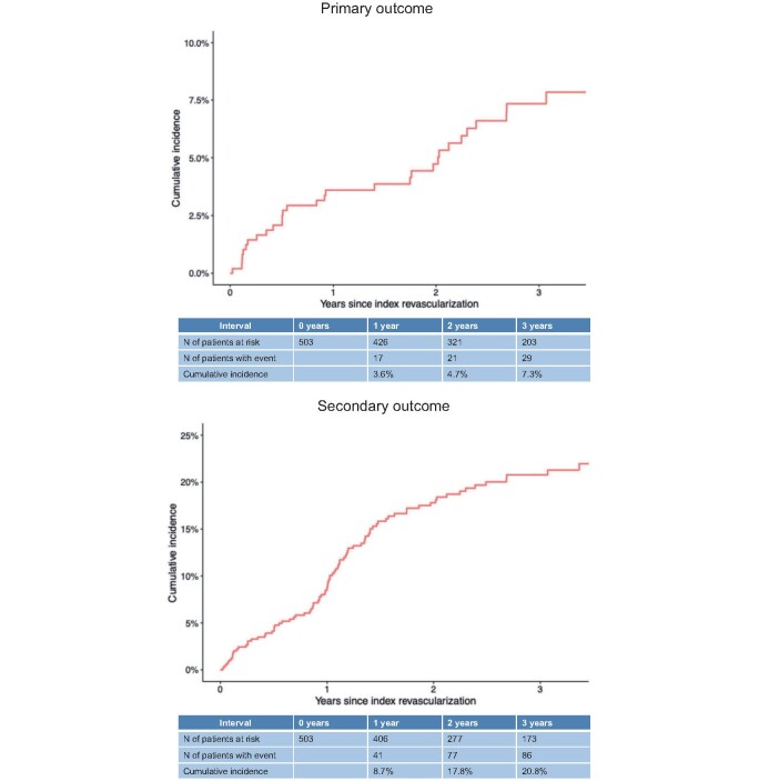
Aim: Cholesterol uptake capacity (CUC) is a functional assessment of high-density lipoprotein (HDL) and has drawn attention for the risk stratification of atherosclerotic cardiovascular disease (ASCVD). This study evaluated the usefulness of HDL-CUC as a predictive marker for long-term ASCVD events in patients with coronary artery disease (CAD).

Methods: This retrospective observational study included 503 patients with CAD who underwent coronary revascularization. Blood was sampled from the participants within three months before or after index revascularization. The CUC was assayed using a previously reported automated system. The study population was divided into three groups according to the tertiles of CUC levels. The primary outcome was ASCVD events, which were defined as a composite of all-cause death, acute myocardial infarction, stroke, and peripheral artery disease.

Results: A total of 29 events were observed during the follow-up (median 2.8 years). The risk of the primary outcome in the low-CUC group was significantly higher than that in the high-CUC group (3-year incidence: low CUC 8.8% vs. high CUC 4.0%; log-rank p = 0.046). After adjusting for age and sex, the risk in the low-CUC group relative to that in the high-CUC group remained significantly high (hazard ratio 3.17, 95% confidence interval 1.05-9.54, p = 0.040).

Conclusion: Low CUC in patients with CAD were associated with a higher risk of ASCVD events after coronary revascularization than high CUC levels. The assessment of HDL functionality measured by CUC would be useful for the risk prediction of ASCVD after coronary revascularization.

Abstract Image

Abstract Image

Abstract Image

胆固醇摄取能力作为冠状动脉疾病患者心血管事件的预后指标
目的:胆固醇摄取能力(CUC)是对高密度脂蛋白(HDL)的功能评估,在动脉粥样硬化性心血管疾病(ASCVD)的风险分层中引起了人们的关注。本研究评估了HDL-CUC作为冠状动脉疾病(CAD)患者长期ASCVD事件预测指标的有效性。方法:本回顾性观察研究纳入503例冠心病患者行冠状动脉血运重建术。在指数血运重建术之前或之后的三个月内从参与者身上采集血样。CUC使用先前报道的自动化系统进行检测。根据CUC水平的分位数将研究人群分为三组。主要终点是ASCVD事件,其定义为全因死亡、急性心肌梗死、卒中和外周动脉疾病的组合。结果:随访期间共观察到29例事件(中位2.8年)。低CUC组主要结局的风险显著高于高CUC组(3年发生率:低CUC 8.8% vs高CUC 4.0%;logrank p = 0.046)。在调整年龄和性别后,低cuc组相对于高cuc组的风险仍然显著高(风险比3.17,95%可信区间1.05 ~ 9.54,p = 0.040)。结论:与高CUC水平相比,低CUC水平的冠心病患者冠脉重建术后发生ASCVD事件的风险更高。通过CUC测量HDL功能的评估将有助于预测冠状动脉血运重建术后ASCVD的风险。
本文章由计算机程序翻译,如有差异,请以英文原文为准。
求助全文
约1分钟内获得全文 求助全文
来源期刊
CiteScore
6.60
自引率
15.90%
发文量
271
审稿时长
1 months
期刊介绍: JAT publishes articles focused on all aspects of research on atherosclerosis, vascular biology, thrombosis, lipid and metabolism.
×
引用
GB/T 7714-2015
复制
MLA
复制
APA
复制
导出至
BibTeX EndNote RefMan NoteFirst NoteExpress
×
提示
您的信息不完整,为了账户安全,请先补充。
现在去补充
×
提示
您因"违规操作"
具体请查看互助需知
我知道了
×
提示
确定
请完成安全验证×
copy
已复制链接
快去分享给好友吧!
我知道了
右上角分享
点击右上角分享
0
联系我们:info@booksci.cn Book学术提供免费学术资源搜索服务,方便国内外学者检索中英文文献。致力于提供最便捷和优质的服务体验。 Copyright © 2023 布克学术 All rights reserved.
京ICP备2023020795号-1
ghs 京公网安备 11010802042870号
Book学术文献互助
Book学术文献互助群
群 号:604180095
Book学术官方微信