A distributed penalty-based zeroing neural network for time-varying optimization with both equality and inequality constraints and its application to cooperative control of redundant robot manipulators.

IF 2.8 4区 计算机科学 Q3 COMPUTER SCIENCE, ARTIFICIAL INTELLIGENCE
Frontiers in Neurorobotics Pub Date : 2025-03-17 eCollection Date: 2025-01-01 DOI:10.3389/fnbot.2025.1553623
Liu He, Hui Cheng, Yunong Zhang
{"title":"A distributed penalty-based zeroing neural network for time-varying optimization with both equality and inequality constraints and its application to cooperative control of redundant robot manipulators.","authors":"Liu He, Hui Cheng, Yunong Zhang","doi":"10.3389/fnbot.2025.1553623","DOIUrl":null,"url":null,"abstract":"<p><p>This study addresses the distributed optimization problem with time-varying objective functions and time-varying constraints in a multi-agent system (MAS). To tackle the distributed time-varying constrained optimization (DTVCO) problem, each agent in the MAS communicates with its neighbors while relying solely on local information, such as its own objective function and constraints, to compute the optimal solution. We propose a novel penalty-based zeroing neural network (PB-ZNN) to solve the continuous-time DTVCO (CTDTVCO) problem. The PB-ZNN model incorporates two penalty functions: The first penalizes agents for deviating from the states of their neighbors, driving all agents to reach a consensus, and the second penalizes agents for falling outside the feasible range, ensuring that the solutions of all agents remain within the constraints. The PB-ZNN model solves the CTDTVCO problem in a semi-centralized manner, where information exchange between agents is distributed, but computation is centralized. Building on the semi-centralized PB-ZNN model, we adopt the Euler formula to develop a distributed PB-ZNN (DPB-ZNN) algorithm for solving the discrete-time DTVCO (DTDTVCO) problem in a fully distributed manner. We present and prove the convergence theorems of the proposed PB-ZNN model and DPB-ZNN algorithm. The efficacy and accuracy of the DPB-ZNN algorithm are illustrated through numerical examples, including a simulation experiment applying the algorithm to the cooperative control of redundant manipulators.</p>","PeriodicalId":12628,"journal":{"name":"Frontiers in Neurorobotics","volume":"19 ","pages":"1553623"},"PeriodicalIF":2.8000,"publicationDate":"2025-03-17","publicationTypes":"Journal Article","fieldsOfStudy":null,"isOpenAccess":false,"openAccessPdf":"https://www.ncbi.nlm.nih.gov/pmc/articles/PMC11955690/pdf/","citationCount":"0","resultStr":null,"platform":"Semanticscholar","paperid":null,"PeriodicalName":"Frontiers in Neurorobotics","FirstCategoryId":"94","ListUrlMain":"https://doi.org/10.3389/fnbot.2025.1553623","RegionNum":4,"RegionCategory":"计算机科学","ArticlePicture":[],"TitleCN":null,"AbstractTextCN":null,"PMCID":null,"EPubDate":"2025/1/1 0:00:00","PubModel":"eCollection","JCR":"Q3","JCRName":"COMPUTER SCIENCE, ARTIFICIAL INTELLIGENCE","Score":null,"Total":0}
引用次数: 0

Abstract

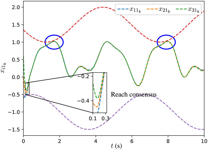
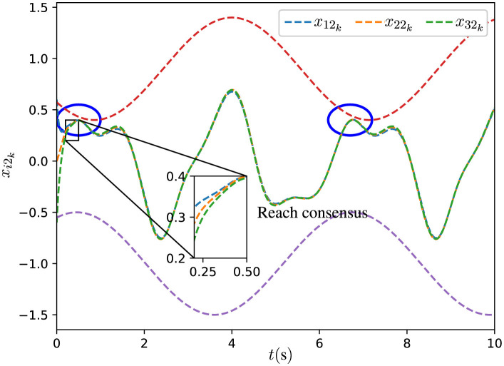
This study addresses the distributed optimization problem with time-varying objective functions and time-varying constraints in a multi-agent system (MAS). To tackle the distributed time-varying constrained optimization (DTVCO) problem, each agent in the MAS communicates with its neighbors while relying solely on local information, such as its own objective function and constraints, to compute the optimal solution. We propose a novel penalty-based zeroing neural network (PB-ZNN) to solve the continuous-time DTVCO (CTDTVCO) problem. The PB-ZNN model incorporates two penalty functions: The first penalizes agents for deviating from the states of their neighbors, driving all agents to reach a consensus, and the second penalizes agents for falling outside the feasible range, ensuring that the solutions of all agents remain within the constraints. The PB-ZNN model solves the CTDTVCO problem in a semi-centralized manner, where information exchange between agents is distributed, but computation is centralized. Building on the semi-centralized PB-ZNN model, we adopt the Euler formula to develop a distributed PB-ZNN (DPB-ZNN) algorithm for solving the discrete-time DTVCO (DTDTVCO) problem in a fully distributed manner. We present and prove the convergence theorems of the proposed PB-ZNN model and DPB-ZNN algorithm. The efficacy and accuracy of the DPB-ZNN algorithm are illustrated through numerical examples, including a simulation experiment applying the algorithm to the cooperative control of redundant manipulators.

Abstract Image

Abstract Image

Abstract Image

基于分布式惩罚的不等式约束时变优化归零神经网络及其在冗余机器人机械手协同控制中的应用。
研究了多智能体系统中具有时变目标函数和时变约束的分布式优化问题。为了解决分布式时变约束优化(DTVCO)问题,MAS中的每个智能体与相邻智能体通信,同时仅依靠自身的目标函数和约束等局部信息来计算最优解。针对连续时间DTVCO (CTDTVCO)问题,提出了一种新的基于惩罚的归零神经网络(PB-ZNN)。PB-ZNN模型包含两个惩罚函数:第一个惩罚agent偏离其邻居的状态,促使所有agent达成共识;第二个惩罚agent落在可行范围之外,确保所有agent的解保持在约束范围内。PB-ZNN模型以半集中式的方式解决了CTDTVCO问题,agent之间的信息交换是分布式的,计算是集中式的。在半集中式PB-ZNN模型的基础上,采用欧拉公式开发了一种分布式PB-ZNN (DPB-ZNN)算法,以完全分布式的方式解决离散时间DTDTVCO (DTDTVCO)问题。给出并证明了PB-ZNN模型和DPB-ZNN算法的收敛性定理。通过数值算例说明了DPB-ZNN算法的有效性和准确性,包括将该算法应用于冗余机械手协同控制的仿真实验。
本文章由计算机程序翻译,如有差异,请以英文原文为准。
求助全文
约1分钟内获得全文 求助全文
来源期刊
Frontiers in Neurorobotics
Frontiers in Neurorobotics COMPUTER SCIENCE, ARTIFICIAL INTELLIGENCER-ROBOTICS
CiteScore
5.20
自引率
6.50%
发文量
250
审稿时长
14 weeks
期刊介绍: Frontiers in Neurorobotics publishes rigorously peer-reviewed research in the science and technology of embodied autonomous neural systems. Specialty Chief Editors Alois C. Knoll and Florian Röhrbein at the Technische Universität München are supported by an outstanding Editorial Board of international experts. This multidisciplinary open-access journal is at the forefront of disseminating and communicating scientific knowledge and impactful discoveries to researchers, academics and the public worldwide. Neural systems include brain-inspired algorithms (e.g. connectionist networks), computational models of biological neural networks (e.g. artificial spiking neural nets, large-scale simulations of neural microcircuits) and actual biological systems (e.g. in vivo and in vitro neural nets). The focus of the journal is the embodiment of such neural systems in artificial software and hardware devices, machines, robots or any other form of physical actuation. This also includes prosthetic devices, brain machine interfaces, wearable systems, micro-machines, furniture, home appliances, as well as systems for managing micro and macro infrastructures. Frontiers in Neurorobotics also aims to publish radically new tools and methods to study plasticity and development of autonomous self-learning systems that are capable of acquiring knowledge in an open-ended manner. Models complemented with experimental studies revealing self-organizing principles of embodied neural systems are welcome. Our journal also publishes on the micro and macro engineering and mechatronics of robotic devices driven by neural systems, as well as studies on the impact that such systems will have on our daily life.
×
引用
GB/T 7714-2015
复制
MLA
复制
APA
复制
导出至
BibTeX EndNote RefMan NoteFirst NoteExpress
×
提示
您的信息不完整,为了账户安全,请先补充。
现在去补充
×
提示
您因"违规操作"
具体请查看互助需知
我知道了
×
提示
确定
请完成安全验证×
copy
已复制链接
快去分享给好友吧!
我知道了
右上角分享
点击右上角分享
0
联系我们:info@booksci.cn Book学术提供免费学术资源搜索服务,方便国内外学者检索中英文文献。致力于提供最便捷和优质的服务体验。 Copyright © 2023 布克学术 All rights reserved.
京ICP备2023020795号-1
ghs 京公网安备 11010802042870号
Book学术文献互助
Book学术文献互助群
群 号:604180095
Book学术官方微信