Long-term nitrate administration modulates sialin gene expression in the main tissues of male Wistar rats with type 2 diabetes.

IF 4.9 3区 生物学 Q1 BIOLOGY
EXCLI Journal Pub Date : 2025-03-03 eCollection Date: 2025-01-01 DOI:10.17179/excli2024-8051
Sajad Jeddi, Nasibeh Yousefzadeh, Vajiheh Khorasani, Maryam Zarkesh, Khosrow Kashfi, Asghar Ghasemi
{"title":"Long-term nitrate administration modulates sialin gene expression in the main tissues of male Wistar rats with type 2 diabetes.","authors":"Sajad Jeddi, Nasibeh Yousefzadeh, Vajiheh Khorasani, Maryam Zarkesh, Khosrow Kashfi, Asghar Ghasemi","doi":"10.17179/excli2024-8051","DOIUrl":null,"url":null,"abstract":"<p><p>The increased sialin gene expression in the main tissues of diabetic rats is associated with decreased nitrate and nitrite levels, suggesting a counterregulatory response for reduced nitric oxide (NO) bioavailability. In this study, we hypothesized that long-term nitrate administration (6 months) would decrease sialin gene expression in rats with type 2 diabetes (T2D). Rats were assigned to two groups (n=10): T2D and T2D+nitrate, receiving nitrate in their drinking water at a concentration of 100 mg/L over 6 months. Samples from the main tissues were collected and used to measure the gene expression of sialin, as well as nitrate and nitrite levels. Nitrate-treated T2D rats had higher nitrate levels in the soleus muscle (SM) (163 %), stomach (83 %), lung (271 %), pancreas (90 %), aorta (61 %), adrenal gland (88 %), brain (145 %), liver (95 %), and heart (87 %). Nitrite levels were also higher in SM (136 %), lung (108 %), pancreas (86 %), kidney (88 %), aorta (33 %), brain (221 %), epididymal adipose tissue (eAT) (52 %), and heart (93 %), of nitrate treated T2D rats (all P<0.05). Nitrate decreased sialin gene expression in the SM (0.21-fold, P<0.001), stomach (0.37-fold, P=0.002), liver (0.21-fold, P<0.001), and eAT (0.47-fold, P=0.016) but it increased it in the intestine (1.99-fold, P<0.001), pancreas (2.01-fold, P=0.006), and the kidney (2.45-fold, P<0.001) of diabetic rats, with no effects in the lung, aorta, adrenal gland, brain, and heart. Nitrate administration restores the compensatory increase in sialin gene expression in tissues of T2D rats. However, this compensatory mechanism is not generalizable to all tissues.</p>","PeriodicalId":12247,"journal":{"name":"EXCLI Journal","volume":"24 ","pages":"339-350"},"PeriodicalIF":4.9000,"publicationDate":"2025-03-03","publicationTypes":"Journal Article","fieldsOfStudy":null,"isOpenAccess":false,"openAccessPdf":"https://www.ncbi.nlm.nih.gov/pmc/articles/PMC11956521/pdf/","citationCount":"0","resultStr":null,"platform":"Semanticscholar","paperid":null,"PeriodicalName":"EXCLI Journal","FirstCategoryId":"99","ListUrlMain":"https://doi.org/10.17179/excli2024-8051","RegionNum":3,"RegionCategory":"生物学","ArticlePicture":[],"TitleCN":null,"AbstractTextCN":null,"PMCID":null,"EPubDate":"2025/1/1 0:00:00","PubModel":"eCollection","JCR":"Q1","JCRName":"BIOLOGY","Score":null,"Total":0}
引用次数: 0

Abstract

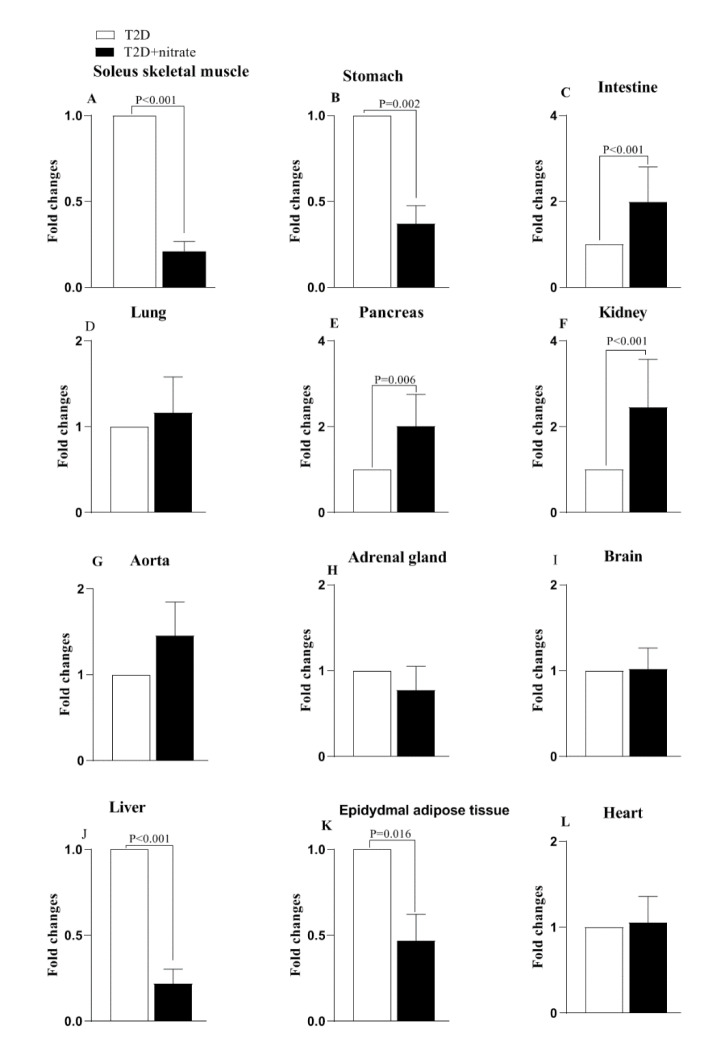
The increased sialin gene expression in the main tissues of diabetic rats is associated with decreased nitrate and nitrite levels, suggesting a counterregulatory response for reduced nitric oxide (NO) bioavailability. In this study, we hypothesized that long-term nitrate administration (6 months) would decrease sialin gene expression in rats with type 2 diabetes (T2D). Rats were assigned to two groups (n=10): T2D and T2D+nitrate, receiving nitrate in their drinking water at a concentration of 100 mg/L over 6 months. Samples from the main tissues were collected and used to measure the gene expression of sialin, as well as nitrate and nitrite levels. Nitrate-treated T2D rats had higher nitrate levels in the soleus muscle (SM) (163 %), stomach (83 %), lung (271 %), pancreas (90 %), aorta (61 %), adrenal gland (88 %), brain (145 %), liver (95 %), and heart (87 %). Nitrite levels were also higher in SM (136 %), lung (108 %), pancreas (86 %), kidney (88 %), aorta (33 %), brain (221 %), epididymal adipose tissue (eAT) (52 %), and heart (93 %), of nitrate treated T2D rats (all P<0.05). Nitrate decreased sialin gene expression in the SM (0.21-fold, P<0.001), stomach (0.37-fold, P=0.002), liver (0.21-fold, P<0.001), and eAT (0.47-fold, P=0.016) but it increased it in the intestine (1.99-fold, P<0.001), pancreas (2.01-fold, P=0.006), and the kidney (2.45-fold, P<0.001) of diabetic rats, with no effects in the lung, aorta, adrenal gland, brain, and heart. Nitrate administration restores the compensatory increase in sialin gene expression in tissues of T2D rats. However, this compensatory mechanism is not generalizable to all tissues.

Abstract Image

Abstract Image

Abstract Image

长期给予硝酸盐可调节2型糖尿病雄性Wistar大鼠主要组织中sialin基因的表达。
糖尿病大鼠主要组织中sialin基因表达的增加与硝酸盐和亚硝酸盐水平的降低有关,提示其对一氧化氮(NO)生物利用度的降低有反调控反应。在这项研究中,我们假设长期服用硝酸盐(6个月)会降低2型糖尿病(T2D)大鼠sialin基因表达。将大鼠分为两组(n=10): T2D组和T2D+硝酸盐组,在6个月内在其饮用水中添加浓度为100 mg/L的硝酸盐。从主要组织中收集样本,用于测量唾液素的基因表达,以及硝酸盐和亚硝酸盐的水平。硝酸盐处理的T2D大鼠在比目鱼肌(SM)(163%)、胃(83%)、肺(271%)、胰腺(90%)、主动脉(61%)、肾上腺(88%)、脑(145%)、肝脏(95%)和心脏(87%)中的硝酸盐水平较高。硝酸盐处理的T2D大鼠在SM(136%)、肺(108%)、胰腺(86%)、肾脏(88%)、主动脉(33%)、脑(221%)、附睾脂肪组织(eAT)(52%)和心脏(93%)中的亚硝酸盐水平也较高
本文章由计算机程序翻译,如有差异,请以英文原文为准。
求助全文
约1分钟内获得全文 求助全文
来源期刊
EXCLI Journal
EXCLI Journal BIOLOGY-
CiteScore
8.00
自引率
2.20%
发文量
65
审稿时长
6-12 weeks
期刊介绍: EXCLI Journal publishes original research reports, authoritative reviews and case reports of experimental and clinical sciences. The journal is particularly keen to keep a broad view of science and technology, and therefore welcomes papers which bridge disciplines and may not suit the narrow specialism of other journals. Although the general emphasis is on biological sciences, studies from the following fields are explicitly encouraged (alphabetical order): aging research, behavioral sciences, biochemistry, cell biology, chemistry including analytical chemistry, clinical and preclinical studies, drug development, environmental health, ergonomics, forensic medicine, genetics, hepatology and gastroenterology, immunology, neurosciences, occupational medicine, oncology and cancer research, pharmacology, proteomics, psychiatric research, psychology, systems biology, toxicology
×
引用
GB/T 7714-2015
复制
MLA
复制
APA
复制
导出至
BibTeX EndNote RefMan NoteFirst NoteExpress
×
提示
您的信息不完整,为了账户安全,请先补充。
现在去补充
×
提示
您因"违规操作"
具体请查看互助需知
我知道了
×
提示
确定
请完成安全验证×
copy
已复制链接
快去分享给好友吧!
我知道了
右上角分享
点击右上角分享
0
联系我们:info@booksci.cn Book学术提供免费学术资源搜索服务,方便国内外学者检索中英文文献。致力于提供最便捷和优质的服务体验。 Copyright © 2023 布克学术 All rights reserved.
京ICP备2023020795号-1
ghs 京公网安备 11010802042870号
Book学术文献互助
Book学术文献互助群
群 号:604180095
Book学术官方微信