Outcomes After Thrombectomy for Primary and Secondary Medium Vessel MCA Occlusions: a Nationwide Registry Study.

IF 2.6 3区 医学 Q2 Medicine
Clinical Neuroradiology Pub Date : 2025-09-01 Epub Date: 2025-03-31 DOI:10.1007/s00062-025-01511-w
Björn M Hansen, Emma Hall, Birgitta Ramgren, Teresa Ullberg, Johan Wassélius
{"title":"Outcomes After Thrombectomy for Primary and Secondary Medium Vessel MCA Occlusions: a Nationwide Registry Study.","authors":"Björn M Hansen, Emma Hall, Birgitta Ramgren, Teresa Ullberg, Johan Wassélius","doi":"10.1007/s00062-025-01511-w","DOIUrl":null,"url":null,"abstract":"<p><strong>Background: </strong>Medium vessel occlusions (MeVO) can be either isolated events (primary), or secondary to thrombus migration from a large vessel occlusion to a medium-sized vessel. Outcomes following endovascular thrombectomy (EVT) in the middle cerebral artery (MCA) may differ between primary and secondary MeVOs. This study aimed to assess the association between primary/secondary MeVOs and clinical outcomes following EVT in a nationwide patient cohort.</p><p><strong>Method: </strong>Patients undergoing EVT were included in two Swedish quality registries. Secondary MeVO was defined as distal migration of a solitary thrombus between baseline CT-angiography and EVT, or basal ganglia infarction on postoperative CT in a patient that presented with a single MeVO on baseline CT-angiography. The primary outcome was good 90-day functional outcome (modified Rankin Scale 0-2). Postoperative change in the National Institutes of Health Stroke Scale-score (NIHSS), was a secondary outcome. Successfully revascularized patients (mTICI 2b-3) were compared with non-revascularized patients in exploratory analyzes.</p><p><strong>Results: </strong>Of the 5662 EVTs performed in Sweden (2018-2022), 1118 (20%) targeted solitary MCA territory MeVOs, with 819 (73%) being primary and 299 (27%) secondary. Functional outcomes did not differ between the primary and secondary MeVO groups (OR 0.86, CI 95% 0.65-1.14). Likewise, there was no significant difference in postoperative NIHSS scores (0.26, CI 95% -0.71 to 1.24), between groups (p = 0.597). Successful revascularization was associated with increased chance of good functional outcome for both primary (OR 3.77, CI95% 2.28-6.24, p < 0.001) and secondary MeVOs (OR 2.49, CI95% 1.21-5.14, p = 0.013).</p><p><strong>Conclusions: </strong>Patients with a single primary or secondary MCA MeVOs have similar EVT outcomes and both groups seem to benefit from recanalization in exploratory analyses. This indicates that that EVT should not be withheld based on primary/secondary MeVO status.</p>","PeriodicalId":10391,"journal":{"name":"Clinical Neuroradiology","volume":" ","pages":"541-549"},"PeriodicalIF":2.6000,"publicationDate":"2025-09-01","publicationTypes":"Journal Article","fieldsOfStudy":null,"isOpenAccess":false,"openAccessPdf":"https://www.ncbi.nlm.nih.gov/pmc/articles/PMC12454531/pdf/","citationCount":"0","resultStr":null,"platform":"Semanticscholar","paperid":null,"PeriodicalName":"Clinical Neuroradiology","FirstCategoryId":"3","ListUrlMain":"https://doi.org/10.1007/s00062-025-01511-w","RegionNum":3,"RegionCategory":"医学","ArticlePicture":[],"TitleCN":null,"AbstractTextCN":null,"PMCID":null,"EPubDate":"2025/3/31 0:00:00","PubModel":"Epub","JCR":"Q2","JCRName":"Medicine","Score":null,"Total":0}
引用次数: 0

Abstract

Background: Medium vessel occlusions (MeVO) can be either isolated events (primary), or secondary to thrombus migration from a large vessel occlusion to a medium-sized vessel. Outcomes following endovascular thrombectomy (EVT) in the middle cerebral artery (MCA) may differ between primary and secondary MeVOs. This study aimed to assess the association between primary/secondary MeVOs and clinical outcomes following EVT in a nationwide patient cohort.

Method: Patients undergoing EVT were included in two Swedish quality registries. Secondary MeVO was defined as distal migration of a solitary thrombus between baseline CT-angiography and EVT, or basal ganglia infarction on postoperative CT in a patient that presented with a single MeVO on baseline CT-angiography. The primary outcome was good 90-day functional outcome (modified Rankin Scale 0-2). Postoperative change in the National Institutes of Health Stroke Scale-score (NIHSS), was a secondary outcome. Successfully revascularized patients (mTICI 2b-3) were compared with non-revascularized patients in exploratory analyzes.

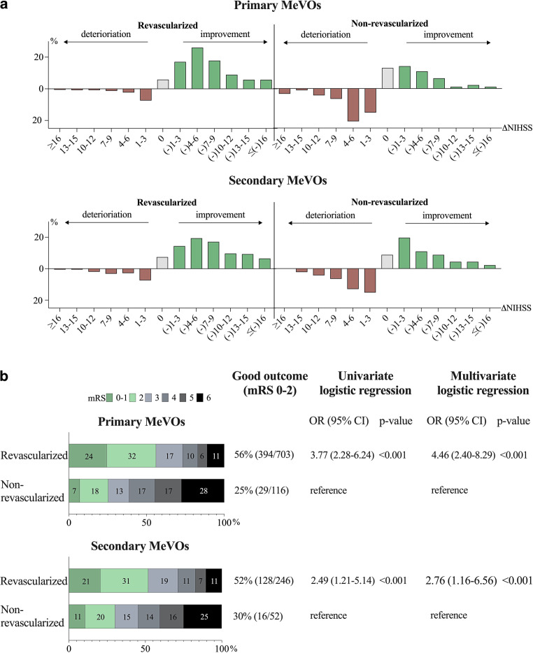
Results: Of the 5662 EVTs performed in Sweden (2018-2022), 1118 (20%) targeted solitary MCA territory MeVOs, with 819 (73%) being primary and 299 (27%) secondary. Functional outcomes did not differ between the primary and secondary MeVO groups (OR 0.86, CI 95% 0.65-1.14). Likewise, there was no significant difference in postoperative NIHSS scores (0.26, CI 95% -0.71 to 1.24), between groups (p = 0.597). Successful revascularization was associated with increased chance of good functional outcome for both primary (OR 3.77, CI95% 2.28-6.24, p < 0.001) and secondary MeVOs (OR 2.49, CI95% 1.21-5.14, p = 0.013).

Conclusions: Patients with a single primary or secondary MCA MeVOs have similar EVT outcomes and both groups seem to benefit from recanalization in exploratory analyses. This indicates that that EVT should not be withheld based on primary/secondary MeVO status.

Abstract Image

Abstract Image

原发性和继发性中血管MCA闭塞取栓后的结果:一项全国性登记研究。
背景:中度血管闭塞(MeVO)既可以是孤立事件(原发性),也可以继发于血栓从大血管闭塞转移到中等血管。大脑中动脉(MCA)血管内血栓切除术(EVT)后的结果可能在原发性和继发性MeVOs中有所不同。本研究旨在评估在全国患者队列中EVT后原发性/继发性MeVOs与临床结果之间的关系。方法:接受EVT的患者纳入两个瑞典质量注册中心。继发性MeVO定义为基线CT血管造影和EVT之间的孤立血栓远端迁移,或基线CT血管造影显示单一MeVO的患者术后CT显示基底神经节梗死。主要终点为90天功能预后良好(改良Rankin量表0-2)。美国国立卫生研究院卒中量表评分(NIHSS)的术后变化是次要结果。在探索性分析中,将血运重建成功患者(mTICI 2b-3)与未血运重建患者进行比较。结果:在瑞典(2018-2022)进行的5662例evt中,1118例(20%)针对孤立的MCA领土MeVOs,其中819例(73%)为原发性,299例(27%)为继发性。功能结果在主要和次要MeVO组之间没有差异(OR 0.86, CI 95% 0.65-1.14)。同样,两组患者术后NIHSS评分也无显著差异(0.26,CI 95% -0.71 ~ 1.24) (p = 0.597)。成功的血运重建与原发性和继发性MCA MeVOs患者良好功能结局的机会增加相关(OR 3.77, CI95% 2.28-6.24, p )。结论:探索性分析显示,单一原发性或继发性MCA MeVOs患者具有相似的EVT结果,两组似乎都受益于再通。这表明EVT不应该基于主/次MeVO状态而被扣留。
本文章由计算机程序翻译,如有差异,请以英文原文为准。
求助全文
约1分钟内获得全文 求助全文
来源期刊
Clinical Neuroradiology
Clinical Neuroradiology Medicine-Radiology, Nuclear Medicine and Imaging
CiteScore
4.90
自引率
3.60%
发文量
0
期刊介绍: Clinical Neuroradiology provides current information, original contributions, and reviews in the field of neuroradiology. An interdisciplinary approach is accomplished by diagnostic and therapeutic contributions related to associated subjects. The international coverage and relevance of the journal is underlined by its being the official journal of the German, Swiss, and Austrian Societies of Neuroradiology.
×
引用
GB/T 7714-2015
复制
MLA
复制
APA
复制
导出至
BibTeX EndNote RefMan NoteFirst NoteExpress
×
提示
您的信息不完整,为了账户安全,请先补充。
现在去补充
×
提示
您因"违规操作"
具体请查看互助需知
我知道了
×
提示
确定
请完成安全验证×
copy
已复制链接
快去分享给好友吧!
我知道了
右上角分享
点击右上角分享
0
联系我们:info@booksci.cn Book学术提供免费学术资源搜索服务,方便国内外学者检索中英文文献。致力于提供最便捷和优质的服务体验。 Copyright © 2023 布克学术 All rights reserved.
京ICP备2023020795号-1
ghs 京公网安备 11010802042870号
Book学术文献互助
Book学术文献互助群
群 号:604180095
Book学术官方微信