Gold nanoparticle-modified screen-printed carbon electrodes for label-free detection of SARS-CoV-2 RNA using drop casting and spray coating methods.

IF 4.3 Q2 CHEMISTRY, MEDICINAL
ADMET and DMPK Pub Date : 2025-02-17 eCollection Date: 2025-01-01 DOI:10.5599/admet.2577
Salma Nur Zakiyyah, Nadya Putri Satriana, Natasha Fransisca, Shabarni Gaffar, Norman Syakir, Irkham, Yeni Wahyuni Hartati
{"title":"Gold nanoparticle-modified screen-printed carbon electrodes for label-free detection of SARS-CoV-2 RNA using drop casting and spray coating methods.","authors":"Salma Nur Zakiyyah, Nadya Putri Satriana, Natasha Fransisca, Shabarni Gaffar, Norman Syakir, Irkham, Yeni Wahyuni Hartati","doi":"10.5599/admet.2577","DOIUrl":null,"url":null,"abstract":"<p><strong>Background and purpose: </strong>This study aimed to explore the modification of screen-printed carbon electrode (SPCE) to produce an extensive conductive surface with gold nanoparticles (AuNPs) for the detection of severe acute respiratory syndrome coronavirus 2 (SARS-CoV-2) ribonucleic acid (RNA).</p><p><strong>Experimental approach: </strong>The experiment was carried out using drop casting (DC) and spray coating (SC) methods. Au-S covalent interactions were formed between thiolated single-stranded DNA (ssDNA) and Au surface, which further hybridized with the target RNA to be detected using differential pulse voltammetry (DPV). Optimization of experimental conditions was performed using Box-Behnken design (BBD) on probe ssDNA concentration, probe ssDNA immobilization time, and target hybridization time. The morphology of the modified electrode was characterized using a scanning electron microscope, while the electrochemical behaviour was determined with DPV and electron impedance spectroscopy.</p><p><strong>Key results: </strong>The results showed that SPCE modification with AuNPs by DC produced a higher peak current height of 12.267 μA with an <i>R</i> <sub>ct</sub> value of 2.534 kΩ, while SC improved the distribution of AuNPs in the electrode surface. The optimum experimental conditions obtained using BBD were 0.5 μg mL<sup>-1</sup> ssDNA-probe concentration, an immobilization time of 22 minutes, and a hybridization time of 12 minutes. The limit of SARS-CoV-2 RNA detection at a concentration range of 0.5 to 10 μg mL<sup>-1</sup> was 0.1664 and 0.694 μg mL<sup>-1</sup> for DC and SC, respectively. The T-test results for both methods show that the current response of target RNA with SPCE/AuNP by DC does not show the same result, indicating a significant difference in the current response between those two methods.</p><p><strong>Conclusion: </strong>SPCE/AuNP by DC is better than SPCE/AuNP by SC for immobilizing inosine-substituted ssDNA, which subsequently hybridizes with viral RNA, enabling label-free detection of guanine from SARS-CoV-2 RNA.</p>","PeriodicalId":7259,"journal":{"name":"ADMET and DMPK","volume":"13 1","pages":"2577"},"PeriodicalIF":4.3000,"publicationDate":"2025-02-17","publicationTypes":"Journal Article","fieldsOfStudy":null,"isOpenAccess":false,"openAccessPdf":"https://www.ncbi.nlm.nih.gov/pmc/articles/PMC11954144/pdf/","citationCount":"0","resultStr":null,"platform":"Semanticscholar","paperid":null,"PeriodicalName":"ADMET and DMPK","FirstCategoryId":"1085","ListUrlMain":"https://doi.org/10.5599/admet.2577","RegionNum":0,"RegionCategory":null,"ArticlePicture":[],"TitleCN":null,"AbstractTextCN":null,"PMCID":null,"EPubDate":"2025/1/1 0:00:00","PubModel":"eCollection","JCR":"Q2","JCRName":"CHEMISTRY, MEDICINAL","Score":null,"Total":0}
引用次数: 0

Abstract

Background and purpose: This study aimed to explore the modification of screen-printed carbon electrode (SPCE) to produce an extensive conductive surface with gold nanoparticles (AuNPs) for the detection of severe acute respiratory syndrome coronavirus 2 (SARS-CoV-2) ribonucleic acid (RNA).

Experimental approach: The experiment was carried out using drop casting (DC) and spray coating (SC) methods. Au-S covalent interactions were formed between thiolated single-stranded DNA (ssDNA) and Au surface, which further hybridized with the target RNA to be detected using differential pulse voltammetry (DPV). Optimization of experimental conditions was performed using Box-Behnken design (BBD) on probe ssDNA concentration, probe ssDNA immobilization time, and target hybridization time. The morphology of the modified electrode was characterized using a scanning electron microscope, while the electrochemical behaviour was determined with DPV and electron impedance spectroscopy.

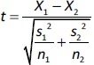
Key results: The results showed that SPCE modification with AuNPs by DC produced a higher peak current height of 12.267 μA with an R ct value of 2.534 kΩ, while SC improved the distribution of AuNPs in the electrode surface. The optimum experimental conditions obtained using BBD were 0.5 μg mL-1 ssDNA-probe concentration, an immobilization time of 22 minutes, and a hybridization time of 12 minutes. The limit of SARS-CoV-2 RNA detection at a concentration range of 0.5 to 10 μg mL-1 was 0.1664 and 0.694 μg mL-1 for DC and SC, respectively. The T-test results for both methods show that the current response of target RNA with SPCE/AuNP by DC does not show the same result, indicating a significant difference in the current response between those two methods.

Conclusion: SPCE/AuNP by DC is better than SPCE/AuNP by SC for immobilizing inosine-substituted ssDNA, which subsequently hybridizes with viral RNA, enabling label-free detection of guanine from SARS-CoV-2 RNA.

Abstract Image

Abstract Image

Abstract Image

金纳米颗粒修饰的丝网印刷碳电极用于滴铸和喷涂法检测SARS-CoV-2 RNA。
背景与目的:本研究旨在探索对丝网印刷碳电极(SPCE)进行修饰,制备具有广泛导电表面的金纳米颗粒(AuNPs),用于检测严重急性呼吸综合征冠状病毒2 (SARS-CoV-2)核糖核酸(RNA)。实验方法:采用滴铸(DC)和喷涂(SC)两种方法进行实验。硫代单链DNA (ssDNA)与Au表面形成了Au- s共价相互作用,并进一步与待用差分脉冲伏安法(DPV)检测的靶RNA杂交。采用Box-Behnken设计(BBD)对探针ssDNA浓度、探针ssDNA固定时间和靶杂交时间进行优化。用扫描电镜对修饰电极的形貌进行了表征,并用DPV和电子阻抗谱对修饰电极的电化学行为进行了表征。结果表明:经直流修饰后的SPCE产生了更高的峰值电流高度12.267 μA, R ct值为2.534 kΩ,而SC改善了AuNPs在电极表面的分布。BBD获得的最佳实验条件为ssdna探针浓度0.5 μg mL-1,固定时间22分钟,杂交时间12分钟。在0.5 ~ 10 μ mL-1浓度范围内,DC和SC的SARS-CoV-2 RNA检出限分别为0.1664和0.694 μ mL-1。两种方法的t检验结果显示,DC对靶RNA与SPCE/AuNP的电流响应结果并不相同,说明两种方法的电流响应存在显著差异。结论:DC法SPCE/AuNP比SC法SPCE/AuNP更能固定化肌苷取代的ssDNA,使其与病毒RNA杂交,实现了对SARS-CoV-2 RNA中鸟嘌呤的无标记检测。
本文章由计算机程序翻译,如有差异,请以英文原文为准。
求助全文
约1分钟内获得全文 求助全文
来源期刊
ADMET and DMPK
ADMET and DMPK Multiple-
CiteScore
4.40
自引率
0.00%
发文量
22
审稿时长
4 weeks
期刊介绍: ADMET and DMPK is an open access journal devoted to the rapid dissemination of new and original scientific results in all areas of absorption, distribution, metabolism, excretion, toxicology and pharmacokinetics of drugs. ADMET and DMPK publishes the following types of contributions: - Original research papers - Feature articles - Review articles - Short communications and Notes - Letters to Editors - Book reviews The scope of the Journal involves, but is not limited to, the following areas: - physico-chemical properties of drugs and methods of their determination - drug permeabilities - drug absorption - drug-drug, drug-protein, drug-membrane and drug-DNA interactions - chemical stability and degradations of drugs - instrumental methods in ADMET - drug metablic processes - routes of administration and excretion of drug - pharmacokinetic/pharmacodynamic study - quantitative structure activity/property relationship - ADME/PK modelling - Toxicology screening - Transporter identification and study
×
引用
GB/T 7714-2015
复制
MLA
复制
APA
复制
导出至
BibTeX EndNote RefMan NoteFirst NoteExpress
×
提示
您的信息不完整,为了账户安全,请先补充。
现在去补充
×
提示
您因"违规操作"
具体请查看互助需知
我知道了
×
提示
确定
请完成安全验证×
copy
已复制链接
快去分享给好友吧!
我知道了
右上角分享
点击右上角分享
0
联系我们:info@booksci.cn Book学术提供免费学术资源搜索服务,方便国内外学者检索中英文文献。致力于提供最便捷和优质的服务体验。 Copyright © 2023 布克学术 All rights reserved.
京ICP备2023020795号-1
ghs 京公网安备 11010802042870号
Book学术文献互助
Book学术文献互助群
群 号:604180095
Book学术官方微信