Severe traumatic brain injury and risk for osteoporosis: a Mendelian randomization study.

IF 2 4区 医学 Q3 GENETICS & HEREDITY
Guoqiang Wang, Jiachen Wang, Dinglong Yang, Lin Liu, Peng Xu
{"title":"Severe traumatic brain injury and risk for osteoporosis: a Mendelian randomization study.","authors":"Guoqiang Wang, Jiachen Wang, Dinglong Yang, Lin Liu, Peng Xu","doi":"10.1186/s12920-025-02127-2","DOIUrl":null,"url":null,"abstract":"<p><strong>Background: </strong>The influence of nervous system activity on bone remodeling has been widely reported. Patients with traumatic brain injury (TBI) exhibit a high incidence of osteoporosis (OP). Nevertheless, the relationship between severe TBI (sTBI) and OP remains unclear. We performed Mendelian randomization (MR) analysis to assess the potential causal relationship between sTBI and OP.</p><p><strong>Methods: </strong>Data on exposure and outcomes were acquired from genome-wide association studies (GWAS). Data on OP was obtained from UK Biobank (5,266 cases of OP and 331,893 controls). Data on sTBI was obtained from FinnGen Consortium (6,687 cases and 370,590 controls). Single nucleotide polymorphisms (SNPs) that underwent strict screening were regarded as instrumental variables. We used the inverse variance weighted (IVW), constrained maximum likelihood and model averaging (CML-MA), MR-Egger, and weighted median methods for causal effect estimation. To test the reliability of the results, sensitivity analysis was performed using Cochran's Q, leave-one-out, MR-Egger intercept, and MR Pleiotropy RESidual Sum and Outlier (MR-PRESSO) tests.</p><p><strong>Results: </strong>The IVW analysis indicates that sTBI and OP have a suggestive association (odds ratio [OR] = 1.004, 95% confidence interval [CI] = 1.001,1.007; p = 0.002), and no heterogeneity (Q = 11.536, p = 0.241) or directional pleiotropy was observed (egger_intercept = 7.368 × 10<sup>- 5</sup>, p = 0.870). The robustness of the results was validated using a leave-one-out sensitivity test.</p><p><strong>Conclusion: </strong>According to the MR analysis, sTBI and OP are likely suggestively related. This finding contributes to the prevention of OP in patients with sTBI and provides genetic evidence supporting the theory that the nervous system regulates bone remodeling.</p>","PeriodicalId":8915,"journal":{"name":"BMC Medical Genomics","volume":"18 1","pages":"61"},"PeriodicalIF":2.0000,"publicationDate":"2025-03-31","publicationTypes":"Journal Article","fieldsOfStudy":null,"isOpenAccess":false,"openAccessPdf":"https://www.ncbi.nlm.nih.gov/pmc/articles/PMC11959788/pdf/","citationCount":"0","resultStr":null,"platform":"Semanticscholar","paperid":null,"PeriodicalName":"BMC Medical Genomics","FirstCategoryId":"3","ListUrlMain":"https://doi.org/10.1186/s12920-025-02127-2","RegionNum":4,"RegionCategory":"医学","ArticlePicture":[],"TitleCN":null,"AbstractTextCN":null,"PMCID":null,"EPubDate":"","PubModel":"","JCR":"Q3","JCRName":"GENETICS & HEREDITY","Score":null,"Total":0}
引用次数: 0

Abstract

Background: The influence of nervous system activity on bone remodeling has been widely reported. Patients with traumatic brain injury (TBI) exhibit a high incidence of osteoporosis (OP). Nevertheless, the relationship between severe TBI (sTBI) and OP remains unclear. We performed Mendelian randomization (MR) analysis to assess the potential causal relationship between sTBI and OP.

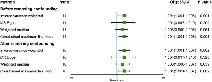
Methods: Data on exposure and outcomes were acquired from genome-wide association studies (GWAS). Data on OP was obtained from UK Biobank (5,266 cases of OP and 331,893 controls). Data on sTBI was obtained from FinnGen Consortium (6,687 cases and 370,590 controls). Single nucleotide polymorphisms (SNPs) that underwent strict screening were regarded as instrumental variables. We used the inverse variance weighted (IVW), constrained maximum likelihood and model averaging (CML-MA), MR-Egger, and weighted median methods for causal effect estimation. To test the reliability of the results, sensitivity analysis was performed using Cochran's Q, leave-one-out, MR-Egger intercept, and MR Pleiotropy RESidual Sum and Outlier (MR-PRESSO) tests.

Results: The IVW analysis indicates that sTBI and OP have a suggestive association (odds ratio [OR] = 1.004, 95% confidence interval [CI] = 1.001,1.007; p = 0.002), and no heterogeneity (Q = 11.536, p = 0.241) or directional pleiotropy was observed (egger_intercept = 7.368 × 10- 5, p = 0.870). The robustness of the results was validated using a leave-one-out sensitivity test.

Conclusion: According to the MR analysis, sTBI and OP are likely suggestively related. This finding contributes to the prevention of OP in patients with sTBI and provides genetic evidence supporting the theory that the nervous system regulates bone remodeling.

Abstract Image

Abstract Image

Abstract Image

严重创伤性脑损伤与骨质疏松风险:一项孟德尔随机研究。
背景:神经系统活动对骨重塑的影响已被广泛报道。外伤性脑损伤(TBI)患者骨质疏松症(OP)的发生率较高。然而,严重TBI (sTBI)与OP之间的关系尚不清楚。我们采用孟德尔随机化(MR)分析来评估sTBI和op之间的潜在因果关系。方法:暴露和结果的数据来自全基因组关联研究(GWAS)。OP的数据来自UK Biobank(5266例OP和331893例对照)。sTBI数据来自FinnGen Consortium(6,687例和370,590例对照)。经过严格筛选的单核苷酸多态性(snp)被视为工具变量。我们使用反方差加权(IVW)、约束最大似然和模型平均(CML-MA)、MR-Egger和加权中位数方法进行因果效应估计。为了检验结果的可靠性,使用科克伦Q、留一、MR- egger截距和MR多效性残差和离群值(MR- presso)检验进行敏感性分析。结果:IVW分析显示sTBI与OP有暗有性关联(优势比[OR] = 1.004, 95%可信区间[CI] = 1.001,1.007;p = 0.002),未发现异质性(Q = 11.536, p = 0.241)或方向性多效性(egger_intercept = 7.368 × 10- 5, p = 0.870)。结果的稳健性通过留一敏感性试验验证。结论:根据MR分析,sTBI与OP可能存在相关性。这一发现有助于预防sTBI患者的OP,并为神经系统调节骨重塑的理论提供了遗传学证据。
本文章由计算机程序翻译,如有差异,请以英文原文为准。
求助全文
约1分钟内获得全文 求助全文
来源期刊
BMC Medical Genomics
BMC Medical Genomics 医学-遗传学
CiteScore
3.90
自引率
0.00%
发文量
243
审稿时长
3.5 months
期刊介绍: BMC Medical Genomics is an open access journal publishing original peer-reviewed research articles in all aspects of functional genomics, genome structure, genome-scale population genetics, epigenomics, proteomics, systems analysis, and pharmacogenomics in relation to human health and disease.
×
引用
GB/T 7714-2015
复制
MLA
复制
APA
复制
导出至
BibTeX EndNote RefMan NoteFirst NoteExpress
×
提示
您的信息不完整,为了账户安全,请先补充。
现在去补充
×
提示
您因"违规操作"
具体请查看互助需知
我知道了
×
提示
确定
请完成安全验证×
copy
已复制链接
快去分享给好友吧!
我知道了
右上角分享
点击右上角分享
0
联系我们:info@booksci.cn Book学术提供免费学术资源搜索服务,方便国内外学者检索中英文文献。致力于提供最便捷和优质的服务体验。 Copyright © 2023 布克学术 All rights reserved.
京ICP备2023020795号-1
ghs 京公网安备 11010802042870号
Book学术文献互助
Book学术文献互助群
群 号:604180095
Book学术官方微信