Early pregnancy loss rate in first-time fresh cycles of low prognosis patients according to the POSEIDON criteria: a single-center data analysis.

IF 4.7 2区 医学 Q1 ENDOCRINOLOGY & METABOLISM
Yilin Jiang, Chenchen Cui, Yan Li, Cuilian Zhang
{"title":"Early pregnancy loss rate in first-time fresh cycles of low prognosis patients according to the POSEIDON criteria: a single-center data analysis.","authors":"Yilin Jiang, Chenchen Cui, Yan Li, Cuilian Zhang","doi":"10.1186/s12958-025-01384-1","DOIUrl":null,"url":null,"abstract":"<p><strong>Backgrounds: </strong>The study was designed to analyze early pregnancy loss rates in first-time fresh embryo transfer cycles in low prognosis patients according to the POSEIDON criteria.</p><p><strong>Methods: </strong>This was a retrospective cohort study, including patients with positive human chorionic gonadotropin after first fresh cycles in the Reproductive Center of Henan Province People's Hospital from June 2018 to February 2023. A total of 2392 cycles were included in this study, which were divided into 4 groups according to the POSEIDON criteria. The general condition, laboratory indexes, and early pregnancy loss rates of patients were compared in each group and the prediction model was constructed in POSEIDON group 4.</p><p><strong>Results: </strong>The early pregnancy loss rate ranked from high to low in order of Group D (32.82%), Group B (23.31%), Group C (15.34%), and Group A (13.68%). After adjusting confounding factors, multivariate logistic regression analysis revealed that the early pregnancy loss rate was significantly higher in groups B and D than in groups A and C (all P < 0.05). The comparison between Group A and Group C, as well as between Group B and Group D, showed no statistical differences (both P > 0.05). Group D was randomly divided into training and validation cohorts according to 7:3. The prediction model was constructed based on risk factors. The AUC of the training cohort was 0.761(95% CI: 0.680-0.841), and the AUC of the validation cohort was 0.604(95% CI: 0.440-0.767).</p><p><strong>Conclusions: </strong>Patients in POSEIDON group 4 have the highest early pregnancy loss rate, followed by group 2, while patients in groups 3 and 1 have the lowest rate in first-time fresh cycles. The prediction model was successfully established which can predict the occurrence of early pregnancy loss in first-time fresh cycles in POSEIDON group 4.</p>","PeriodicalId":21011,"journal":{"name":"Reproductive Biology and Endocrinology","volume":"23 1","pages":"50"},"PeriodicalIF":4.7000,"publicationDate":"2025-03-29","publicationTypes":"Journal Article","fieldsOfStudy":null,"isOpenAccess":false,"openAccessPdf":"https://www.ncbi.nlm.nih.gov/pmc/articles/PMC11954217/pdf/","citationCount":"0","resultStr":null,"platform":"Semanticscholar","paperid":null,"PeriodicalName":"Reproductive Biology and Endocrinology","FirstCategoryId":"3","ListUrlMain":"https://doi.org/10.1186/s12958-025-01384-1","RegionNum":2,"RegionCategory":"医学","ArticlePicture":[],"TitleCN":null,"AbstractTextCN":null,"PMCID":null,"EPubDate":"","PubModel":"","JCR":"Q1","JCRName":"ENDOCRINOLOGY & METABOLISM","Score":null,"Total":0}
引用次数: 0

Abstract

Backgrounds: The study was designed to analyze early pregnancy loss rates in first-time fresh embryo transfer cycles in low prognosis patients according to the POSEIDON criteria.

Methods: This was a retrospective cohort study, including patients with positive human chorionic gonadotropin after first fresh cycles in the Reproductive Center of Henan Province People's Hospital from June 2018 to February 2023. A total of 2392 cycles were included in this study, which were divided into 4 groups according to the POSEIDON criteria. The general condition, laboratory indexes, and early pregnancy loss rates of patients were compared in each group and the prediction model was constructed in POSEIDON group 4.

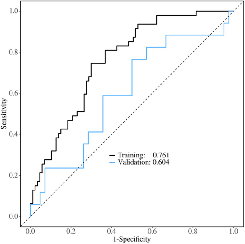
Results: The early pregnancy loss rate ranked from high to low in order of Group D (32.82%), Group B (23.31%), Group C (15.34%), and Group A (13.68%). After adjusting confounding factors, multivariate logistic regression analysis revealed that the early pregnancy loss rate was significantly higher in groups B and D than in groups A and C (all P < 0.05). The comparison between Group A and Group C, as well as between Group B and Group D, showed no statistical differences (both P > 0.05). Group D was randomly divided into training and validation cohorts according to 7:3. The prediction model was constructed based on risk factors. The AUC of the training cohort was 0.761(95% CI: 0.680-0.841), and the AUC of the validation cohort was 0.604(95% CI: 0.440-0.767).

Conclusions: Patients in POSEIDON group 4 have the highest early pregnancy loss rate, followed by group 2, while patients in groups 3 and 1 have the lowest rate in first-time fresh cycles. The prediction model was successfully established which can predict the occurrence of early pregnancy loss in first-time fresh cycles in POSEIDON group 4.

Abstract Image

Abstract Image

Abstract Image

根据POSEIDON标准的低预后患者首次新鲜周期的早期妊娠损失率:单中心数据分析
背景:本研究旨在根据POSEIDON标准分析低预后患者首次新鲜胚胎移植周期的早期妊娠丢失率。方法:采用回顾性队列研究,纳入2018年6月至2023年2月河南省人民医院生殖中心首次新鲜周期后人绒毛膜促性腺激素阳性患者。本研究共纳入2392个旋回,根据POSEIDON标准将其分为4组。比较各组患者的一般情况、实验室指标、早期妊娠损失率,并建立POSEIDON组4的预测模型。结果:早期妊娠损失率从高到低依次为D组(32.82%)、B组(23.31%)、C组(15.34%)、A组(13.68%)。调整混杂因素后,多因素logistic回归分析显示,B、D组早期妊娠损失率显著高于A、C组(P均为0.05)。D组按7:3随机分为训练组和验证组。基于危险因素构建预测模型。训练队列的AUC为0.761(95% CI: 0.680-0.841),验证队列的AUC为0.604(95% CI: 0.440-0.767)。结论:波塞冬4组患者的早期妊娠损失率最高,2组次之,3组和1组患者首次新鲜周期损失率最低。成功建立了预测波塞冬第4组首次新鲜周期早期妊娠丢失发生的预测模型。
本文章由计算机程序翻译,如有差异,请以英文原文为准。
求助全文
约1分钟内获得全文 求助全文
来源期刊
Reproductive Biology and Endocrinology
Reproductive Biology and Endocrinology 医学-内分泌学与代谢
CiteScore
7.90
自引率
2.30%
发文量
161
审稿时长
4-8 weeks
期刊介绍: Reproductive Biology and Endocrinology publishes and disseminates high-quality results from excellent research in the reproductive sciences. The journal publishes on topics covering gametogenesis, fertilization, early embryonic development, embryo-uterus interaction, reproductive development, pregnancy, uterine biology, endocrinology of reproduction, control of reproduction, reproductive immunology, neuroendocrinology, and veterinary and human reproductive medicine, including all vertebrate species.
×
引用
GB/T 7714-2015
复制
MLA
复制
APA
复制
导出至
BibTeX EndNote RefMan NoteFirst NoteExpress
×
提示
您的信息不完整,为了账户安全,请先补充。
现在去补充
×
提示
您因"违规操作"
具体请查看互助需知
我知道了
×
提示
确定
请完成安全验证×
copy
已复制链接
快去分享给好友吧!
我知道了
右上角分享
点击右上角分享
0
联系我们:info@booksci.cn Book学术提供免费学术资源搜索服务,方便国内外学者检索中英文文献。致力于提供最便捷和优质的服务体验。 Copyright © 2023 布克学术 All rights reserved.
京ICP备2023020795号-1
ghs 京公网安备 11010802042870号
Book学术文献互助
Book学术文献互助群
群 号:604180095
Book学术官方微信