Effect of high and low molecular weight sodium hyaluronic acid eye drops on corneal recovery after crosslinking in keratoconus patients.

IF 2.2 Q2 OPHTHALMOLOGY
Gamze Özkan, Semra Akkaya Turhan, Ebru Toker
{"title":"Effect of high and low molecular weight sodium hyaluronic acid eye drops on corneal recovery after crosslinking in keratoconus patients.","authors":"Gamze Özkan, Semra Akkaya Turhan, Ebru Toker","doi":"10.1136/bmjophth-2024-001890","DOIUrl":null,"url":null,"abstract":"<p><strong>Objective: </strong>To assess the impact of eye drops containing high molecular weight hyaluronic acid (HMW-HA) and low molecular weight hyaluronic acid (LMW-HA) on corneal nerve regeneration, dendritic cell (DC) density, corneal sensitivity (CS) and ocular surface parameters in patients with keratoconus following corneal crosslinking (CXL).</p><p><strong>Methods and analysis: </strong>63 eyes of 55 patients with keratoconus were randomised to receive eye drops containing HMW-HA (n: 20) for 12 months, LMW-HA (n: 23) for 12 months and polyvinyl alcohol (n: 20) until closure of the epithelial defect in the control group after CXL. Subbasal nerve plexus (SNP) was imaged with corneal confocal microscopy and quantified with ACCMetrics. DC density was calculated with Image J. Ocular Surface Disease Index (OSDI) questionnaire and non-invasive break-up time (NI-TBUT) were evaluated. All measurements were performed before CXL and 1, 3, 6 and 12 months postsurgery.</p><p><strong>Results: </strong>At 6 months post-CXL, SNP reached to its preoperative. CS was higher in the HMW-HA groups compared with the other two groups in the 3rd and 6th month post-CXL. DC density was higher in the LMW-HA group compared with the HMW-HA group in the postoperative 3rd month. OSDI were higher in the control group compared with both the LMW-HA and HMW-HA groups at postoperative 3rd and 6th months. NI-TBUT was lower in the control group in the 6th and 12th months compared with the other groups.</p><p><strong>Conclusions: </strong>The use of artificial tear drops containing HMW-HA may have a therapeutic effect to promote corneal nerve regrowth and support faster functional recovery after CXL.</p><p><strong>Trial registration number: </strong>NCT06243991.</p>","PeriodicalId":9286,"journal":{"name":"BMJ Open Ophthalmology","volume":"10 1","pages":""},"PeriodicalIF":2.2000,"publicationDate":"2025-03-29","publicationTypes":"Journal Article","fieldsOfStudy":null,"isOpenAccess":false,"openAccessPdf":"https://www.ncbi.nlm.nih.gov/pmc/articles/PMC11956357/pdf/","citationCount":"0","resultStr":null,"platform":"Semanticscholar","paperid":null,"PeriodicalName":"BMJ Open Ophthalmology","FirstCategoryId":"1085","ListUrlMain":"https://doi.org/10.1136/bmjophth-2024-001890","RegionNum":0,"RegionCategory":null,"ArticlePicture":[],"TitleCN":null,"AbstractTextCN":null,"PMCID":null,"EPubDate":"","PubModel":"","JCR":"Q2","JCRName":"OPHTHALMOLOGY","Score":null,"Total":0}
引用次数: 0

Abstract

Objective: To assess the impact of eye drops containing high molecular weight hyaluronic acid (HMW-HA) and low molecular weight hyaluronic acid (LMW-HA) on corneal nerve regeneration, dendritic cell (DC) density, corneal sensitivity (CS) and ocular surface parameters in patients with keratoconus following corneal crosslinking (CXL).

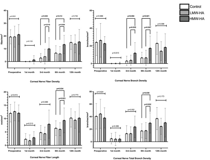
Methods and analysis: 63 eyes of 55 patients with keratoconus were randomised to receive eye drops containing HMW-HA (n: 20) for 12 months, LMW-HA (n: 23) for 12 months and polyvinyl alcohol (n: 20) until closure of the epithelial defect in the control group after CXL. Subbasal nerve plexus (SNP) was imaged with corneal confocal microscopy and quantified with ACCMetrics. DC density was calculated with Image J. Ocular Surface Disease Index (OSDI) questionnaire and non-invasive break-up time (NI-TBUT) were evaluated. All measurements were performed before CXL and 1, 3, 6 and 12 months postsurgery.

Results: At 6 months post-CXL, SNP reached to its preoperative. CS was higher in the HMW-HA groups compared with the other two groups in the 3rd and 6th month post-CXL. DC density was higher in the LMW-HA group compared with the HMW-HA group in the postoperative 3rd month. OSDI were higher in the control group compared with both the LMW-HA and HMW-HA groups at postoperative 3rd and 6th months. NI-TBUT was lower in the control group in the 6th and 12th months compared with the other groups.

Conclusions: The use of artificial tear drops containing HMW-HA may have a therapeutic effect to promote corneal nerve regrowth and support faster functional recovery after CXL.

Trial registration number: NCT06243991.

Abstract Image

Abstract Image

Abstract Image

高低分子量透明质酸钠滴眼液对圆锥角膜交联术后角膜恢复的影响。
目的:评价含高分子量透明质酸(HMW-HA)和低分子量透明质酸(LMW-HA)滴眼液对角膜交联(CXL)后圆锥角膜患者角膜神经再生、树突状细胞(DC)密度、角膜敏感性(CS)和眼表参数的影响。方法与分析:55例圆锥角膜患者,63只眼,随机分为两组,对照组接受含HMW-HA (n: 20)滴眼液12个月,对照组接受含LMW-HA (n: 23)滴眼液12个月,对照组接受聚乙烯醇(n: 20)滴眼液,直至上皮缺损闭合。基底下神经丛(SNP)用角膜共聚焦显微镜成像,ACCMetrics定量。眼表疾病指数(OSDI)问卷和非侵入性破裂时间(NI-TBUT)进行评估。所有测量均在CXL前及术后1、3、6、12个月进行。结果:术后6个月,SNP恢复到术前水平。在cxl后第3和6个月,HMW-HA组的CS高于其他两组。术后第3个月,低剂量ha组DC密度高于低剂量ha组。术后第3、6个月,对照组OSDI均高于低分子量ha组和低分子量ha组。对照组患者第6个月和第12个月的NI-TBUT低于其他组。结论:应用含HMW-HA的人工泪液可促进角膜神经再生,支持角膜外伤后功能更快恢复。试验注册号:NCT06243991。
本文章由计算机程序翻译,如有差异,请以英文原文为准。
求助全文
约1分钟内获得全文 求助全文
来源期刊
BMJ Open Ophthalmology
BMJ Open Ophthalmology OPHTHALMOLOGY-
CiteScore
3.40
自引率
4.20%
发文量
104
审稿时长
20 weeks
×
引用
GB/T 7714-2015
复制
MLA
复制
APA
复制
导出至
BibTeX EndNote RefMan NoteFirst NoteExpress
×
提示
您的信息不完整,为了账户安全,请先补充。
现在去补充
×
提示
您因"违规操作"
具体请查看互助需知
我知道了
×
提示
确定
请完成安全验证×
copy
已复制链接
快去分享给好友吧!
我知道了
右上角分享
点击右上角分享
0
联系我们:info@booksci.cn Book学术提供免费学术资源搜索服务,方便国内外学者检索中英文文献。致力于提供最便捷和优质的服务体验。 Copyright © 2023 布克学术 All rights reserved.
京ICP备2023020795号-1
ghs 京公网安备 11010802042870号
Book学术文献互助
Book学术文献互助群
群 号:604180095
Book学术官方微信