Deep learning-based prediction of cervical canal stenosis from mid-sagittal T2-weighted MRI.

IF 2.2 3区 医学 Q2 ORTHOPEDICS
Skeletal Radiology Pub Date : 2025-10-01 Epub Date: 2025-03-28 DOI:10.1007/s00256-025-04917-2
Wounsuk Rhee, Sung Cheol Park, Hyoungmin Kim, Bong-Soon Chang, Sam Yeol Chang
{"title":"Deep learning-based prediction of cervical canal stenosis from mid-sagittal T2-weighted MRI.","authors":"Wounsuk Rhee, Sung Cheol Park, Hyoungmin Kim, Bong-Soon Chang, Sam Yeol Chang","doi":"10.1007/s00256-025-04917-2","DOIUrl":null,"url":null,"abstract":"<p><strong>Objective: </strong>This study aims to establish a large degenerative cervical myelopathy cohort and develop deep learning models for predicting cervical canal stenosis from sagittal T2-weighted MRI.</p><p><strong>Materials and methods: </strong>Data was collected retrospectively from patients who underwent a cervical spine MRI from January 2007 to December 2022 at a single institution. Ground truth labels for cervical canal stenosis were obtained from sagittal T2-weighted MRI using Kang's grade, a four-level scoring system that classifies stenosis with the degree of subarachnoid space obliteration and cord indentation. ResNet50, VGG16, MobileNetV3, and EfficientNetV2 were trained using threefold cross-validation, and the models exhibiting the largest area under the receiver operating characteristic curve (AUC) were selected to produce the ensemble model. Gradient-weighted class activation mapping was adopted for qualitative assessment. Models that incorporate demographic features were trained, and their corresponding AUCs on the test set were evaluated.</p><p><strong>Results: </strong>Of 8676 patients, 7645 were eligible for developing deep learning models, where 6880 (mean age, 56.0 ± 14.3 years, 3480 men) were used for training while 765 (mean age, 56.5 ± 14.4 years, 386 men) were set aside for testing. The ensemble model exhibited the largest AUC of 0.95 (0.94-0.97). Accuracy was 0.875 (0.851-0.898), sensitivity was 0.885 (0.855-0.915), and specificity was 0.861 (0.824-0.898). Qualitative analyses demonstrated that the models accurately pinpoint radiologic findings suggestive of cervical canal stenosis and myelopathy. Incorporation of demographic features did not result in a gain of AUC.</p><p><strong>Conclusion: </strong>We have developed deep learning models from a large degenerative cervical myelopathy cohort and thoroughly explored their robustness and explainability.</p>","PeriodicalId":21783,"journal":{"name":"Skeletal Radiology","volume":" ","pages":"2067-2076"},"PeriodicalIF":2.2000,"publicationDate":"2025-10-01","publicationTypes":"Journal Article","fieldsOfStudy":null,"isOpenAccess":false,"openAccessPdf":"https://www.ncbi.nlm.nih.gov/pmc/articles/PMC12361303/pdf/","citationCount":"0","resultStr":null,"platform":"Semanticscholar","paperid":null,"PeriodicalName":"Skeletal Radiology","FirstCategoryId":"3","ListUrlMain":"https://doi.org/10.1007/s00256-025-04917-2","RegionNum":3,"RegionCategory":"医学","ArticlePicture":[],"TitleCN":null,"AbstractTextCN":null,"PMCID":null,"EPubDate":"2025/3/28 0:00:00","PubModel":"Epub","JCR":"Q2","JCRName":"ORTHOPEDICS","Score":null,"Total":0}
引用次数: 0

Abstract

Objective: This study aims to establish a large degenerative cervical myelopathy cohort and develop deep learning models for predicting cervical canal stenosis from sagittal T2-weighted MRI.

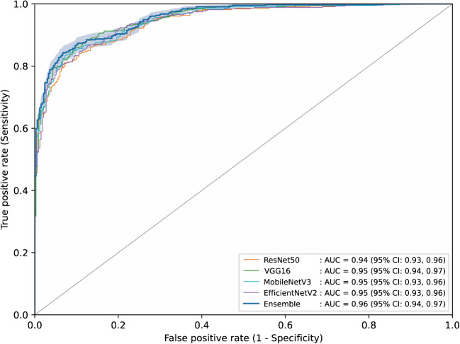
Materials and methods: Data was collected retrospectively from patients who underwent a cervical spine MRI from January 2007 to December 2022 at a single institution. Ground truth labels for cervical canal stenosis were obtained from sagittal T2-weighted MRI using Kang's grade, a four-level scoring system that classifies stenosis with the degree of subarachnoid space obliteration and cord indentation. ResNet50, VGG16, MobileNetV3, and EfficientNetV2 were trained using threefold cross-validation, and the models exhibiting the largest area under the receiver operating characteristic curve (AUC) were selected to produce the ensemble model. Gradient-weighted class activation mapping was adopted for qualitative assessment. Models that incorporate demographic features were trained, and their corresponding AUCs on the test set were evaluated.

Results: Of 8676 patients, 7645 were eligible for developing deep learning models, where 6880 (mean age, 56.0 ± 14.3 years, 3480 men) were used for training while 765 (mean age, 56.5 ± 14.4 years, 386 men) were set aside for testing. The ensemble model exhibited the largest AUC of 0.95 (0.94-0.97). Accuracy was 0.875 (0.851-0.898), sensitivity was 0.885 (0.855-0.915), and specificity was 0.861 (0.824-0.898). Qualitative analyses demonstrated that the models accurately pinpoint radiologic findings suggestive of cervical canal stenosis and myelopathy. Incorporation of demographic features did not result in a gain of AUC.

Conclusion: We have developed deep learning models from a large degenerative cervical myelopathy cohort and thoroughly explored their robustness and explainability.

Abstract Image

Abstract Image

Abstract Image

基于深度学习的中矢状t2加权MRI对颈椎管狭窄的预测。
目的:本研究旨在建立一个大型退行性颈椎病队列,并建立深度学习模型,用于从矢状t2加权MRI预测颈椎管狭窄。材料和方法:回顾性收集2007年1月至2022年12月在同一家机构接受颈椎MRI检查的患者的数据。从矢状面t2加权MRI中获得颈椎管狭窄的基础真值标签,使用Kang's分级,这是一个四级评分系统,根据蛛网膜下腔闭塞和脊髓压痕的程度对狭窄进行分类。采用三次交叉验证对ResNet50、VGG16、MobileNetV3和EfficientNetV2进行训练,选择接收者工作特征曲线(AUC)下面积最大的模型生成集成模型。采用梯度加权类激活映射进行定性评价。对包含人口统计特征的模型进行了训练,并对其在测试集上的相应auc进行了评估。结果:8676例患者中,7645例符合深度学习模型开发条件,其中6880例(平均年龄56.0±14.3岁,男性3480人)用于训练,765例(平均年龄56.5±14.4岁,男性386人)用于测试。集合模型的AUC最大,为0.95(0.94 ~ 0.97)。准确度为0.875(0.851 ~ 0.898),灵敏度为0.885(0.855 ~ 0.915),特异性为0.861(0.824 ~ 0.898)。定性分析表明,该模型能准确定位提示颈椎管狭窄和脊髓病的影像学表现。纳入人口特征并没有导致AUC的增加。结论:我们从一个大型退行性颈椎病队列中开发了深度学习模型,并彻底探索了它们的稳健性和可解释性。
本文章由计算机程序翻译,如有差异,请以英文原文为准。
求助全文
约1分钟内获得全文 求助全文
来源期刊
Skeletal Radiology
Skeletal Radiology 医学-核医学
CiteScore
4.40
自引率
9.50%
发文量
253
审稿时长
3-8 weeks
期刊介绍: Skeletal Radiology provides a forum for the dissemination of current knowledge and information dealing with disorders of the musculoskeletal system including the spine. While emphasizing the radiological aspects of the many varied skeletal abnormalities, the journal also adopts an interdisciplinary approach, reflecting the membership of the International Skeletal Society. Thus, the anatomical, pathological, physiological, clinical, metabolic and epidemiological aspects of the many entities affecting the skeleton receive appropriate consideration. This is the Journal of the International Skeletal Society and the Official Journal of the Society of Skeletal Radiology and the Australasian Musculoskelelal Imaging Group.
×
引用
GB/T 7714-2015
复制
MLA
复制
APA
复制
导出至
BibTeX EndNote RefMan NoteFirst NoteExpress
×
提示
您的信息不完整,为了账户安全,请先补充。
现在去补充
×
提示
您因"违规操作"
具体请查看互助需知
我知道了
×
提示
确定
请完成安全验证×
copy
已复制链接
快去分享给好友吧!
我知道了
右上角分享
点击右上角分享
0
联系我们:info@booksci.cn Book学术提供免费学术资源搜索服务,方便国内外学者检索中英文文献。致力于提供最便捷和优质的服务体验。 Copyright © 2023 布克学术 All rights reserved.
京ICP备2023020795号-1
ghs 京公网安备 11010802042870号
Book学术文献互助
Book学术文献互助群
群 号:604180095
Book学术官方微信