Immunosuppressive-Free Renal Allograft Function After Allogeneic Hematopoietic Stem Cell Transplantation: A Case Report.

Q3 Medicine
Vedad Herenda, Vasvija Katica, Lejla Burazerović, Aida Hamzić-Mehmedbašić, Lejla Ibričević-Balić, Damir Rebić
{"title":"Immunosuppressive-Free Renal Allograft Function After Allogeneic Hematopoietic Stem Cell Transplantation: A Case Report.","authors":"Vedad Herenda, Vasvija Katica, Lejla Burazerović, Aida Hamzić-Mehmedbašić, Lejla Ibričević-Balić, Damir Rebić","doi":"10.5644/ama2006-124.469","DOIUrl":null,"url":null,"abstract":"<p><strong>Objective: </strong>We describe a rare case of satisfactory renal allograft function without immunosuppressive therapy following allogeneic hematopoietic stem cell transplantation (alloHSCT).</p><p><strong>Case report: </strong>The patient was a 64-year-old male who had undergone a kidney transplant from a sibling donor in 2007. After 16 years, he required alloHSCT for acute myeloid leukemia (AML), with the same sibling serving as the donor for both transplants. HLA was a 50% match. Post-alloHSCT, immunosuppressive therapy was discontinued, and the renal allograft function remained stable. The patient later developed severe complications and succumbed to infection. Insights into the precise tolerance mechanisms were limited because laboratory evaluation for chimerism was not performed.</p><p><strong>Conclusion: </strong>There is potential for immunosuppressive-free renal allograft function after alloHSCT. This case underscores the significant risk of infection-related mortality. To achieve the best outcome, rigorous patient selection, tailored conditioning regimens, robust infection prevention strategies, and the possibility of combined transplantation for carefully selected patients are needed.</p>","PeriodicalId":38313,"journal":{"name":"Acta medica academica","volume":" ","pages":"40-46"},"PeriodicalIF":0.0000,"publicationDate":"2025-04-01","publicationTypes":"Journal Article","fieldsOfStudy":null,"isOpenAccess":false,"openAccessPdf":"https://www.ncbi.nlm.nih.gov/pmc/articles/PMC12309297/pdf/","citationCount":"0","resultStr":null,"platform":"Semanticscholar","paperid":null,"PeriodicalName":"Acta medica academica","FirstCategoryId":"1085","ListUrlMain":"https://doi.org/10.5644/ama2006-124.469","RegionNum":0,"RegionCategory":null,"ArticlePicture":[],"TitleCN":null,"AbstractTextCN":null,"PMCID":null,"EPubDate":"","PubModel":"","JCR":"Q3","JCRName":"Medicine","Score":null,"Total":0}
引用次数: 0

Abstract

Objective: We describe a rare case of satisfactory renal allograft function without immunosuppressive therapy following allogeneic hematopoietic stem cell transplantation (alloHSCT).

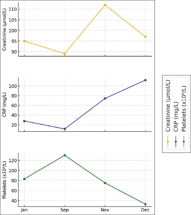
Case report: The patient was a 64-year-old male who had undergone a kidney transplant from a sibling donor in 2007. After 16 years, he required alloHSCT for acute myeloid leukemia (AML), with the same sibling serving as the donor for both transplants. HLA was a 50% match. Post-alloHSCT, immunosuppressive therapy was discontinued, and the renal allograft function remained stable. The patient later developed severe complications and succumbed to infection. Insights into the precise tolerance mechanisms were limited because laboratory evaluation for chimerism was not performed.

Conclusion: There is potential for immunosuppressive-free renal allograft function after alloHSCT. This case underscores the significant risk of infection-related mortality. To achieve the best outcome, rigorous patient selection, tailored conditioning regimens, robust infection prevention strategies, and the possibility of combined transplantation for carefully selected patients are needed.

Abstract Image

异基因造血干细胞移植后无免疫抑制肾移植功能一例报告。
目的:我们报道一例罕见的同种异体造血干细胞移植(allogenetic hematopoietic stem cell transplantation, alloHSCT)术后未接受免疫抑制治疗的移植肾功能满意的病例。病例报告:患者为64岁男性,2007年接受了兄弟姐妹肾移植。16年后,他因急性髓性白血病(AML)需要同种异体造血干细胞移植,并且两次移植的供体都是同一个兄弟姐妹。HLA有50%匹配。同种异体造血干细胞移植后,停止免疫抑制治疗,移植肾功能保持稳定。病人后来出现了严重的并发症并死于感染。由于没有进行嵌合的实验室评估,因此对精确耐受机制的了解有限。结论:同种异体造血干细胞移植后存在无免疫抑制的移植肾功能。这一病例强调了感染相关死亡的重大风险。为了达到最佳结果,需要严格的患者选择,量身定制的调理方案,强有力的感染预防策略,以及对精心挑选的患者进行联合移植的可能性。
本文章由计算机程序翻译,如有差异,请以英文原文为准。
求助全文
约1分钟内获得全文 求助全文
来源期刊
Acta medica academica
Acta medica academica Medicine-Medicine (all)
CiteScore
1.90
自引率
0.00%
发文量
21
审稿时长
15 weeks
×
引用
GB/T 7714-2015
复制
MLA
复制
APA
复制
导出至
BibTeX EndNote RefMan NoteFirst NoteExpress
×
提示
您的信息不完整,为了账户安全,请先补充。
现在去补充
×
提示
您因"违规操作"
具体请查看互助需知
我知道了
×
提示
确定
请完成安全验证×
copy
已复制链接
快去分享给好友吧!
我知道了
右上角分享
点击右上角分享
0
联系我们:info@booksci.cn Book学术提供免费学术资源搜索服务,方便国内外学者检索中英文文献。致力于提供最便捷和优质的服务体验。 Copyright © 2023 布克学术 All rights reserved.
京ICP备2023020795号-1
ghs 京公网安备 11010802042870号
Book学术文献互助
Book学术文献互助群
群 号:604180095
Book学术官方微信