Impact of Acute and Sub-Acute Gluten Exposure on Gastrointestinal Symptoms and Psychological Responses in Non-Coeliac Gluten Sensitivity: A Randomised Crossover Study.

IF 6.7 2区 医学 Q1 GASTROENTEROLOGY & HEPATOLOGY
United European Gastroenterology Journal Pub Date : 2025-09-01 Epub Date: 2025-03-26 DOI:10.1002/ueg2.70014
Julie Iven, Annelies Geeraerts, Tim Vanuytsel, Jan Tack, Lukas Van Oudenhove, Jessica R Biesiekierski
{"title":"Impact of Acute and Sub-Acute Gluten Exposure on Gastrointestinal Symptoms and Psychological Responses in Non-Coeliac Gluten Sensitivity: A Randomised Crossover Study.","authors":"Julie Iven, Annelies Geeraerts, Tim Vanuytsel, Jan Tack, Lukas Van Oudenhove, Jessica R Biesiekierski","doi":"10.1002/ueg2.70014","DOIUrl":null,"url":null,"abstract":"<p><strong>Background/aims: </strong>Non-coeliac gluten sensitivity (NCGS) is a controversial entity, characterised by symptom improvement with gluten exclusion in the absence of coeliac disease. We primarily investigated the effects of acute and sub-acute gluten on psychological and mood profiles, with secondary outcomes examining gastrointestinal symptoms and biological markers in healthy controls (HC) and individuals with NCGS.</p><p><strong>Methods: </strong>A randomised, single-blind, crossover study used acute (16 g gluten or whey in yoghurt) and sub-acute (gluten-containing (16 g) or gluten-free muffins per day for 5 days) challenges. (Extra)intestinal symptoms, intestinal permeability, high-sensitive C-reactive protein and cortisol awakening response were assessed. Responses over time were analysed using generalised linear mixed models.</p><p><strong>Results: </strong>Twenty HCs (15% men, mean age 30 years) and 16 individuals with NCGS (31% men, mean age 33 years) participated. No significant group-by-nutrient interactions were observed. Negative affect scores were higher and positive affect scores were lower in NCGS compared to HC (p = 0.01 and p = 0.04, respectively). Participants experienced higher tension scores after gluten compared with placebo (p = 0.01 acute; p = 0.05 sub-acute) regardless of the group. After acute administration, fatigue scores increased in NCGS (p = 0.03) compared with HC regardless of nutrient intake. After sub-acute administration, abdominal pain scores (p < 0.001) and bloating (p = 0.001) increased in NCGS compared with HC regardless of nutrient intake. No differences were found for biological markers.</p><p><strong>Conclusions: </strong>These findings reveal that NCGS is characterised by baseline differences in affect, and higher acute fatigue and subacute gastrointestinal symptoms that are not gluten-specific. This may be explained by nocebo effects, warranting research into novel mechanisms and re-evaluating the NCGS definition.</p><p><strong>Trial registration: </strong>ClinicalTrials.gov no: NCT03798262; NCT03798249.</p>","PeriodicalId":23444,"journal":{"name":"United European Gastroenterology Journal","volume":" ","pages":"1295-1306"},"PeriodicalIF":6.7000,"publicationDate":"2025-09-01","publicationTypes":"Journal Article","fieldsOfStudy":null,"isOpenAccess":false,"openAccessPdf":"https://www.ncbi.nlm.nih.gov/pmc/articles/PMC12463691/pdf/","citationCount":"0","resultStr":null,"platform":"Semanticscholar","paperid":null,"PeriodicalName":"United European Gastroenterology Journal","FirstCategoryId":"3","ListUrlMain":"https://doi.org/10.1002/ueg2.70014","RegionNum":2,"RegionCategory":"医学","ArticlePicture":[],"TitleCN":null,"AbstractTextCN":null,"PMCID":null,"EPubDate":"2025/3/26 0:00:00","PubModel":"Epub","JCR":"Q1","JCRName":"GASTROENTEROLOGY & HEPATOLOGY","Score":null,"Total":0}
引用次数: 0

Abstract

Background/aims: Non-coeliac gluten sensitivity (NCGS) is a controversial entity, characterised by symptom improvement with gluten exclusion in the absence of coeliac disease. We primarily investigated the effects of acute and sub-acute gluten on psychological and mood profiles, with secondary outcomes examining gastrointestinal symptoms and biological markers in healthy controls (HC) and individuals with NCGS.

Methods: A randomised, single-blind, crossover study used acute (16 g gluten or whey in yoghurt) and sub-acute (gluten-containing (16 g) or gluten-free muffins per day for 5 days) challenges. (Extra)intestinal symptoms, intestinal permeability, high-sensitive C-reactive protein and cortisol awakening response were assessed. Responses over time were analysed using generalised linear mixed models.

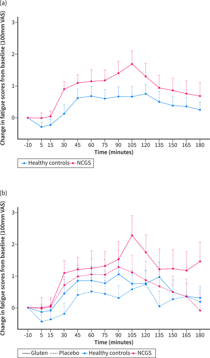
Results: Twenty HCs (15% men, mean age 30 years) and 16 individuals with NCGS (31% men, mean age 33 years) participated. No significant group-by-nutrient interactions were observed. Negative affect scores were higher and positive affect scores were lower in NCGS compared to HC (p = 0.01 and p = 0.04, respectively). Participants experienced higher tension scores after gluten compared with placebo (p = 0.01 acute; p = 0.05 sub-acute) regardless of the group. After acute administration, fatigue scores increased in NCGS (p = 0.03) compared with HC regardless of nutrient intake. After sub-acute administration, abdominal pain scores (p < 0.001) and bloating (p = 0.001) increased in NCGS compared with HC regardless of nutrient intake. No differences were found for biological markers.

Conclusions: These findings reveal that NCGS is characterised by baseline differences in affect, and higher acute fatigue and subacute gastrointestinal symptoms that are not gluten-specific. This may be explained by nocebo effects, warranting research into novel mechanisms and re-evaluating the NCGS definition.

Trial registration: ClinicalTrials.gov no: NCT03798262; NCT03798249.

Abstract Image

Abstract Image

Abstract Image

急性和亚急性谷蛋白暴露对非乳糜泻谷蛋白敏感性患者胃肠道症状和心理反应的影响:一项随机交叉研究
背景/目的:非乳糜泻谷蛋白敏感性(NCGS)是一个有争议的实体,其特征是在没有乳糜泻的情况下,排除谷蛋白后症状改善。我们主要研究了急性和亚急性谷蛋白对心理和情绪的影响,次要结局是检查健康对照(HC)和NCGS患者的胃肠道症状和生物标志物。方法:一项随机、单盲、交叉研究使用急性(酸奶中含有16克麸质或乳清)和亚急性(每天含麸质(16克)或无麸质松饼,持续5天)挑战。(外)肠症状、肠通透性、高敏c反应蛋白和皮质醇觉醒反应进行评估。使用广义线性混合模型分析随时间变化的响应。结果:20例HCs患者(15%男性,平均年龄30岁)和16例NCGS患者(31%男性,平均年龄33岁)参与了研究。各组间未观察到显著的营养相互作用。NCGS组负性情绪得分高于HC组(p = 0.01),正性情绪得分低于HC组(p = 0.04)。与安慰剂相比,服用谷蛋白后参与者的紧张评分更高(p = 0.01急性;P = 0.05亚急性期)。急性给药后,与HC相比,NCGS的疲劳评分升高(p = 0.03),无论营养摄入量如何。结论:这些发现表明NCGS的特点是影响的基线差异,以及更高的急性疲劳和亚急性胃肠道症状,这些症状不是麸质特异性的。这可以用反安慰剂效应来解释,因此需要研究新的机制并重新评估NCGS的定义。试验注册:ClinicalTrials.gov编号:NCT03798262;NCT03798249。
本文章由计算机程序翻译,如有差异,请以英文原文为准。
求助全文
约1分钟内获得全文 求助全文
来源期刊
United European Gastroenterology Journal
United European Gastroenterology Journal GASTROENTEROLOGY & HEPATOLOGY-
CiteScore
10.50
自引率
13.30%
发文量
147
期刊介绍: United European Gastroenterology Journal (UEG Journal) is the official Journal of the United European Gastroenterology (UEG), a professional non-profit organisation combining all the leading European societies concerned with digestive disease. UEG’s member societies represent over 22,000 specialists working across medicine, surgery, paediatrics, GI oncology and endoscopy, which makes UEG a unique platform for collaboration and the exchange of knowledge.
×
引用
GB/T 7714-2015
复制
MLA
复制
APA
复制
导出至
BibTeX EndNote RefMan NoteFirst NoteExpress
×
提示
您的信息不完整,为了账户安全,请先补充。
现在去补充
×
提示
您因"违规操作"
具体请查看互助需知
我知道了
×
提示
确定
请完成安全验证×
copy
已复制链接
快去分享给好友吧!
我知道了
右上角分享
点击右上角分享
0
联系我们:info@booksci.cn Book学术提供免费学术资源搜索服务,方便国内外学者检索中英文文献。致力于提供最便捷和优质的服务体验。 Copyright © 2023 布克学术 All rights reserved.
京ICP备2023020795号-1
ghs 京公网安备 11010802042870号
Book学术文献互助
Book学术文献互助群
群 号:604180095
Book学术官方微信