Hydroethanolic Extract of Salvia officinalis L. Leaves Improves Memory and Alleviates Neuroinflammation in ICR Mice.

Q2 Environmental Science
The Scientific World Journal Pub Date : 2025-03-20 eCollection Date: 2025-01-01 DOI:10.1155/tswj/2198542
Bernard Sefah, Yolanda Ashie, Newman Osafo, Priscilla Kolibea Mante
{"title":"Hydroethanolic Extract of <i>Salvia officinalis</i> L. Leaves Improves Memory and Alleviates Neuroinflammation in ICR Mice.","authors":"Bernard Sefah, Yolanda Ashie, Newman Osafo, Priscilla Kolibea Mante","doi":"10.1155/tswj/2198542","DOIUrl":null,"url":null,"abstract":"<p><p>Neurodegenerative disorders are known to be commonly associated with neuroinflammation. Plants with antioxidant and anti-inflammatory properties hold prospect in alleviating neuroinflammation. One such plant with documented anti-inflammatory and antioxidant potential is <i>Salvia officinalis</i> L. This study looked at effects of the hydroethanolic leaf extract of <i>S. officinalis</i> L. on lipopolysaccharide (LPS)-induced neuroinflammation and associated memory impairment using an ICR mouse model. Assessment of the phytochemical constituents in <i>S. officinalis</i> L. and its acute toxicity was conducted. Mice were treated with <i>S. officinalis</i> L. extract (30, 100, and 300 mg/kg) after LPS administration. Object recognition and elevated plus maze tests were employed to assess neuroinflammation-induced behavioral changes. Brain samples were taken to determine the levels of TNF-<i>α</i> and conduct histopathological analysis. The hydroethanolic extract of <i>S. officinalis</i> L. was found to contain alkaloids, glycoside, tannins, flavonoids, and coumarins and exhibited no observable acute toxicity. The extract showed the presence of eicosatrienoic acid, methyl ester, and phenanthrene derivatives. The extract improved memory and cognitive performance but had no significant effect on brain tissue TNF-<i>α</i> expression. <i>S. officinalis</i> L. treatment in mice with neuroinflammation also resulted in reduced mononuclear infiltration and gliosis and reduced apoptotic and necrotic neurons as well as no observable brain lesions. <i>S. officinalis</i> L. holds promising pharmacological activity at reducing neuroinflammation and its associated cognitive impairment.</p>","PeriodicalId":22985,"journal":{"name":"The Scientific World Journal","volume":"2025 ","pages":"2198542"},"PeriodicalIF":0.0000,"publicationDate":"2025-03-20","publicationTypes":"Journal Article","fieldsOfStudy":null,"isOpenAccess":false,"openAccessPdf":"https://www.ncbi.nlm.nih.gov/pmc/articles/PMC11949616/pdf/","citationCount":"0","resultStr":null,"platform":"Semanticscholar","paperid":null,"PeriodicalName":"The Scientific World Journal","FirstCategoryId":"1085","ListUrlMain":"https://doi.org/10.1155/tswj/2198542","RegionNum":0,"RegionCategory":null,"ArticlePicture":[],"TitleCN":null,"AbstractTextCN":null,"PMCID":null,"EPubDate":"2025/1/1 0:00:00","PubModel":"eCollection","JCR":"Q2","JCRName":"Environmental Science","Score":null,"Total":0}
引用次数: 0

Abstract

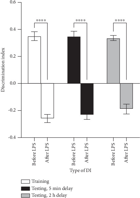
Neurodegenerative disorders are known to be commonly associated with neuroinflammation. Plants with antioxidant and anti-inflammatory properties hold prospect in alleviating neuroinflammation. One such plant with documented anti-inflammatory and antioxidant potential is Salvia officinalis L. This study looked at effects of the hydroethanolic leaf extract of S. officinalis L. on lipopolysaccharide (LPS)-induced neuroinflammation and associated memory impairment using an ICR mouse model. Assessment of the phytochemical constituents in S. officinalis L. and its acute toxicity was conducted. Mice were treated with S. officinalis L. extract (30, 100, and 300 mg/kg) after LPS administration. Object recognition and elevated plus maze tests were employed to assess neuroinflammation-induced behavioral changes. Brain samples were taken to determine the levels of TNF-α and conduct histopathological analysis. The hydroethanolic extract of S. officinalis L. was found to contain alkaloids, glycoside, tannins, flavonoids, and coumarins and exhibited no observable acute toxicity. The extract showed the presence of eicosatrienoic acid, methyl ester, and phenanthrene derivatives. The extract improved memory and cognitive performance but had no significant effect on brain tissue TNF-α expression. S. officinalis L. treatment in mice with neuroinflammation also resulted in reduced mononuclear infiltration and gliosis and reduced apoptotic and necrotic neurons as well as no observable brain lesions. S. officinalis L. holds promising pharmacological activity at reducing neuroinflammation and its associated cognitive impairment.

Abstract Image

Abstract Image

Abstract Image

鼠尾草叶氢乙醇提取物改善ICR小鼠记忆和神经炎症。
众所周知,神经退行性疾病通常与神经炎症有关。具有抗氧化和抗炎特性的植物在缓解神经炎症方面具有广阔的前景。其中一种具有抗炎和抗氧化潜力的植物是鼠尾草(Salvia officinalis L.)。本研究利用ICR小鼠模型研究了鼠尾草叶水乙醇提取物对脂多糖(LPS)诱导的神经炎症和相关记忆损伤的影响。本文对山茱萸的化学成分及其急性毒性进行了评价。小鼠在LPS给药后分别给予30、100和300 mg/kg的马齿苋提取物。采用物体识别和升高+迷宫测试来评估神经炎症引起的行为改变。取脑标本测定TNF-α水平并进行组织病理学分析。水乙醇提取物中含有生物碱、糖苷、单宁、黄酮类化合物和香豆素,无明显急性毒性。提取物中含有二十碳三烯酸、甲酯和菲衍生物。该提取物改善了小鼠的记忆和认知能力,但对脑组织TNF-α表达无显著影响。对神经炎症小鼠的治疗也导致单核细胞浸润和神经胶质瘤减少,神经元凋亡和坏死减少,而且没有观察到脑损伤。在减少神经炎症及其相关的认知障碍方面,山茱萸具有良好的药理活性。
本文章由计算机程序翻译,如有差异,请以英文原文为准。
求助全文
约1分钟内获得全文 求助全文
来源期刊
The Scientific World Journal
The Scientific World Journal 综合性期刊-综合性期刊
CiteScore
5.60
自引率
0.00%
发文量
170
审稿时长
3.7 months
期刊介绍: The Scientific World Journal is a peer-reviewed, Open Access journal that publishes original research, reviews, and clinical studies covering a wide range of subjects in science, technology, and medicine. The journal is divided into 81 subject areas.
×
引用
GB/T 7714-2015
复制
MLA
复制
APA
复制
导出至
BibTeX EndNote RefMan NoteFirst NoteExpress
×
提示
您的信息不完整,为了账户安全,请先补充。
现在去补充
×
提示
您因"违规操作"
具体请查看互助需知
我知道了
×
提示
确定
请完成安全验证×
copy
已复制链接
快去分享给好友吧!
我知道了
右上角分享
点击右上角分享
0
联系我们:info@booksci.cn Book学术提供免费学术资源搜索服务,方便国内外学者检索中英文文献。致力于提供最便捷和优质的服务体验。 Copyright © 2023 布克学术 All rights reserved.
京ICP备2023020795号-1
ghs 京公网安备 11010802042870号
Book学术文献互助
Book学术文献互助群
群 号:604180095
Book学术官方微信