β-Elemene inhibits adipogenesis in 3T3-L1 cells by regulating AMPK pathway.

IF 1.7 4区 医学 Q3 NUTRITION & DIETETICS
Journal of Clinical Biochemistry and Nutrition Pub Date : 2025-03-01 Epub Date: 2024-12-24 DOI:10.3164/jcbn.24-179
Xiang Deng, Zhenmin Liu, Sen Yang
{"title":"β-Elemene inhibits adipogenesis in 3T3-L1 cells by regulating AMPK pathway.","authors":"Xiang Deng, Zhenmin Liu, Sen Yang","doi":"10.3164/jcbn.24-179","DOIUrl":null,"url":null,"abstract":"<p><p>The prevalence of childhood obesity in global is quickly augmented, resulting into grievous public health problems and influencing adolescent development. β-Elemene is a sesquiterpene, and can extracted from traditional Chinese medicine-<i>Curcuma longa</i> L. β-Elemene has been discovered to display regulatory functions in multiple diseases, but it's roles in obesity need further investigations. The purpose of this work is to investigate the regulatory impacts of β-elemene on obesity progression and associated pathways. In this study, it was revealed that the heightened lipid accumulation in 3T3-L1 cells triggered by 3-isobutyl-1-methylxanthine + dexamethazone + insulin (MDI) can be restrained by β-elemene. Furthermore, β-elemene can modulate lipid metabolism in 3T3-L1 cells mediated by MDI. The glucose consumption was descended after insulin resistance treatment, but this impact was reversed after β-elemene treatment. At last, it was illustrated that the AMPK pathway was retarded after β-elemene induction, but this change was offset after β-elemene treatment. To sum up, our results manifested that β-elemene inhibited adipogenesis in 3T3-L1 cells, and evoked the AMPK pathway. This project may supply serviceable insights of β-elemene in the progression of obesity.</p>","PeriodicalId":15429,"journal":{"name":"Journal of Clinical Biochemistry and Nutrition","volume":"76 2","pages":"125-130"},"PeriodicalIF":1.7000,"publicationDate":"2025-03-01","publicationTypes":"Journal Article","fieldsOfStudy":null,"isOpenAccess":false,"openAccessPdf":"https://www.ncbi.nlm.nih.gov/pmc/articles/PMC11936742/pdf/","citationCount":"0","resultStr":null,"platform":"Semanticscholar","paperid":null,"PeriodicalName":"Journal of Clinical Biochemistry and Nutrition","FirstCategoryId":"3","ListUrlMain":"https://doi.org/10.3164/jcbn.24-179","RegionNum":4,"RegionCategory":"医学","ArticlePicture":[],"TitleCN":null,"AbstractTextCN":null,"PMCID":null,"EPubDate":"2024/12/24 0:00:00","PubModel":"Epub","JCR":"Q3","JCRName":"NUTRITION & DIETETICS","Score":null,"Total":0}
引用次数: 0

Abstract

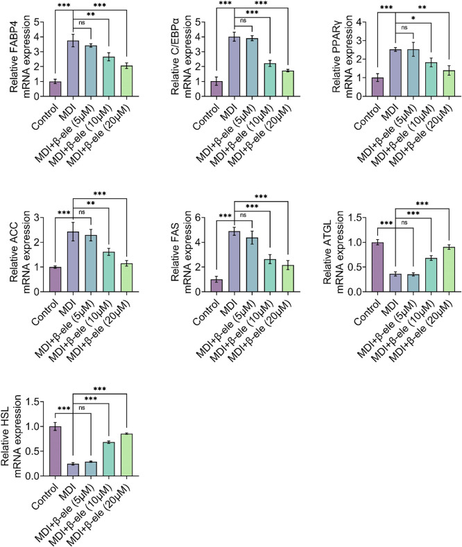
The prevalence of childhood obesity in global is quickly augmented, resulting into grievous public health problems and influencing adolescent development. β-Elemene is a sesquiterpene, and can extracted from traditional Chinese medicine-Curcuma longa L. β-Elemene has been discovered to display regulatory functions in multiple diseases, but it's roles in obesity need further investigations. The purpose of this work is to investigate the regulatory impacts of β-elemene on obesity progression and associated pathways. In this study, it was revealed that the heightened lipid accumulation in 3T3-L1 cells triggered by 3-isobutyl-1-methylxanthine + dexamethazone + insulin (MDI) can be restrained by β-elemene. Furthermore, β-elemene can modulate lipid metabolism in 3T3-L1 cells mediated by MDI. The glucose consumption was descended after insulin resistance treatment, but this impact was reversed after β-elemene treatment. At last, it was illustrated that the AMPK pathway was retarded after β-elemene induction, but this change was offset after β-elemene treatment. To sum up, our results manifested that β-elemene inhibited adipogenesis in 3T3-L1 cells, and evoked the AMPK pathway. This project may supply serviceable insights of β-elemene in the progression of obesity.

Abstract Image

Abstract Image

Abstract Image

β-榄香烯通过调控AMPK通路抑制3T3-L1细胞脂肪生成。
全球儿童肥胖发病率迅速上升,造成严重的公共卫生问题,并影响青少年发展。β-榄香烯是一种倍半萜,可从中药姜黄中提取。β-榄香烯已被发现在多种疾病中发挥调节作用,但其在肥胖中的作用有待进一步研究。这项工作的目的是研究β-榄香烯对肥胖进展和相关途径的调节作用。本研究发现,由3-异丁基-1-甲基黄嘌呤+地塞米松+胰岛素(MDI)引起的3T3-L1细胞脂质积累升高可被β-榄香烯抑制。β-榄香烯可调节MDI介导的3T3-L1细胞脂质代谢。胰岛素抵抗治疗后,葡萄糖消耗量下降,但β-榄香烯治疗后,这种影响被逆转。结果表明,β-榄香烯诱导后,AMPK通路被阻滞,但经β-榄香烯处理后,这种变化被抵消。综上所述,我们的研究结果表明β-榄香烯抑制3T3-L1细胞的脂肪生成,并诱发AMPK通路。该项目可能为β-榄香烯在肥胖过程中的作用提供有用的见解。
本文章由计算机程序翻译,如有差异,请以英文原文为准。
求助全文
约1分钟内获得全文 求助全文
来源期刊
CiteScore
4.30
自引率
8.30%
发文量
57
审稿时长
6-12 weeks
期刊介绍: Journal of Clinical Biochemistry and Nutrition (JCBN) is an international, interdisciplinary publication encompassing chemical, biochemical, physiological, pathological, toxicological and medical approaches to research on lipid peroxidation, free radicals, oxidative stress and nutrition. The Journal welcomes original contributions dealing with all aspects of clinical biochemistry and clinical nutrition including both in vitro and in vivo studies.
×
引用
GB/T 7714-2015
复制
MLA
复制
APA
复制
导出至
BibTeX EndNote RefMan NoteFirst NoteExpress
×
提示
您的信息不完整,为了账户安全,请先补充。
现在去补充
×
提示
您因"违规操作"
具体请查看互助需知
我知道了
×
提示
确定
请完成安全验证×
copy
已复制链接
快去分享给好友吧!
我知道了
右上角分享
点击右上角分享
0
联系我们:info@booksci.cn Book学术提供免费学术资源搜索服务,方便国内外学者检索中英文文献。致力于提供最便捷和优质的服务体验。 Copyright © 2023 布克学术 All rights reserved.
京ICP备2023020795号-1
ghs 京公网安备 11010802042870号
Book学术文献互助
Book学术文献互助群
群 号:604180095
Book学术官方微信