Optimizing vitamin supplementation via reference interval update of vitamins A, E, B1, and B6 using HPLC.

IF 1.7 4区 医学 Q3 NUTRITION & DIETETICS
Journal of Clinical Biochemistry and Nutrition Pub Date : 2025-03-01 Epub Date: 2025-01-22 DOI:10.3164/jcbn.24-155
Andrea Caballero, Gonzalo Gonzalez-Silva, Pablo Gabriel-Medina, Marc Cuadros, Alfonso Ayora, Albert Blanco-Grau, Víctor Martin-Riera, Laura Conesa, Fernando Moreno, Sarai Garriga-Edo, Lydia Peris-Serra, Clara Sanz-Gea, Yolanda Villena
{"title":"Optimizing vitamin supplementation via reference interval update of vitamins A, E, B1, and B6 using HPLC.","authors":"Andrea Caballero, Gonzalo Gonzalez-Silva, Pablo Gabriel-Medina, Marc Cuadros, Alfonso Ayora, Albert Blanco-Grau, Víctor Martin-Riera, Laura Conesa, Fernando Moreno, Sarai Garriga-Edo, Lydia Peris-Serra, Clara Sanz-Gea, Yolanda Villena","doi":"10.3164/jcbn.24-155","DOIUrl":null,"url":null,"abstract":"<p><p>Vitamins are essential micronutrients obtained from the diet, required by the body in small amounts daily for proper metabolism. Monitoring their levels is necessary for detecting deficiencies and guiding supplementation in certain clinical conditions. This study aimed to update the reference values for vitamins A, B1, B6, and E, and some related ratios, adjusted to the adult population of our health reference area using liquid chromatography in a direct approach calculation (<i>n</i> = 146, age: 21-64 years, 64% females). No significant differences in vitamin levels or ratios were observed based on age and sex. We obtained reliable and updated reference values: 1.1-2.8 ‍μmol/L and 18.9-42.2 ‍μmol/L for vitamins A and E respectively, 85.9-181.6 nmol/L and 57.0-165.7 nmol/L for vitamins B1 and B6 respectively; and related ratios of 246.2-561.1 ‍ng/g for vitamin B1 corrected by hemoglobin; 5.2-8.9 ‍μmol/mmol and 4.5-7.4 ‍μmol/mmol for vitamin E corrected by cholesterol and total lipids, respectively. These reference values significantly differ from those provided by the reagent manufacturer currently in use. While correcting vitamin E for lipids and vitamin B1 for hemoglobin is not recommended for the general population, these adjustments may be useful in interpreting results in certain pathological conditions.</p>","PeriodicalId":15429,"journal":{"name":"Journal of Clinical Biochemistry and Nutrition","volume":"76 2","pages":"148-155"},"PeriodicalIF":1.7000,"publicationDate":"2025-03-01","publicationTypes":"Journal Article","fieldsOfStudy":null,"isOpenAccess":false,"openAccessPdf":"https://www.ncbi.nlm.nih.gov/pmc/articles/PMC11936734/pdf/","citationCount":"0","resultStr":null,"platform":"Semanticscholar","paperid":null,"PeriodicalName":"Journal of Clinical Biochemistry and Nutrition","FirstCategoryId":"3","ListUrlMain":"https://doi.org/10.3164/jcbn.24-155","RegionNum":4,"RegionCategory":"医学","ArticlePicture":[],"TitleCN":null,"AbstractTextCN":null,"PMCID":null,"EPubDate":"2025/1/22 0:00:00","PubModel":"Epub","JCR":"Q3","JCRName":"NUTRITION & DIETETICS","Score":null,"Total":0}
引用次数: 0

Abstract

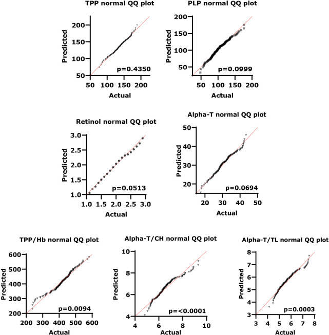
Vitamins are essential micronutrients obtained from the diet, required by the body in small amounts daily for proper metabolism. Monitoring their levels is necessary for detecting deficiencies and guiding supplementation in certain clinical conditions. This study aimed to update the reference values for vitamins A, B1, B6, and E, and some related ratios, adjusted to the adult population of our health reference area using liquid chromatography in a direct approach calculation (n = 146, age: 21-64 years, 64% females). No significant differences in vitamin levels or ratios were observed based on age and sex. We obtained reliable and updated reference values: 1.1-2.8 ‍μmol/L and 18.9-42.2 ‍μmol/L for vitamins A and E respectively, 85.9-181.6 nmol/L and 57.0-165.7 nmol/L for vitamins B1 and B6 respectively; and related ratios of 246.2-561.1 ‍ng/g for vitamin B1 corrected by hemoglobin; 5.2-8.9 ‍μmol/mmol and 4.5-7.4 ‍μmol/mmol for vitamin E corrected by cholesterol and total lipids, respectively. These reference values significantly differ from those provided by the reagent manufacturer currently in use. While correcting vitamin E for lipids and vitamin B1 for hemoglobin is not recommended for the general population, these adjustments may be useful in interpreting results in certain pathological conditions.

Abstract Image

Abstract Image

Abstract Image

通过高效液相色谱法更新维生素A、E、B1和B6的参考区间,优化维生素补充。
维生素是从饮食中获得的必需微量营养素,人体每天需要少量的维生素来维持正常的新陈代谢。在某些临床条件下,监测它们的水平对于检测缺陷和指导补充是必要的。本研究旨在更新维生素A、B1、B6和E的参考值,以及一些相关的比值,并采用液相色谱法在直接方法计算中调整为我们健康参考区域的成人人口(n = 146,年龄:21-64岁,64%为女性)。在年龄和性别的基础上,没有观察到维生素水平或比例的显著差异。得到了可靠且更新的参考值:维生素A和维生素E的参考值分别为1.1 ~ 2.8‍μmol/L和18.9 ~ 42.2‍μmol/L,维生素B1和维生素B6的参考值分别为85.9 ~ 181.6 nmol/L和57.0 ~ 165.7 nmol/L;血红蛋白校正的维生素B1相关比值为246.2-561.1‍ng/g;由胆固醇和总脂质校正的维生素E分别为5.2 ~ 8.9‍μmol/mmol和4.5 ~ 7.4‍μmol/mmol。这些参考值与目前使用的试剂制造商提供的参考值有很大不同。虽然不建议对一般人群纠正脂质中的维生素E和血红蛋白中的维生素B1,但这些调整可能有助于解释某些病理条件下的结果。
本文章由计算机程序翻译,如有差异,请以英文原文为准。
求助全文
约1分钟内获得全文 求助全文
来源期刊
CiteScore
4.30
自引率
8.30%
发文量
57
审稿时长
6-12 weeks
期刊介绍: Journal of Clinical Biochemistry and Nutrition (JCBN) is an international, interdisciplinary publication encompassing chemical, biochemical, physiological, pathological, toxicological and medical approaches to research on lipid peroxidation, free radicals, oxidative stress and nutrition. The Journal welcomes original contributions dealing with all aspects of clinical biochemistry and clinical nutrition including both in vitro and in vivo studies.
×
引用
GB/T 7714-2015
复制
MLA
复制
APA
复制
导出至
BibTeX EndNote RefMan NoteFirst NoteExpress
×
提示
您的信息不完整,为了账户安全,请先补充。
现在去补充
×
提示
您因"违规操作"
具体请查看互助需知
我知道了
×
提示
确定
请完成安全验证×
copy
已复制链接
快去分享给好友吧!
我知道了
右上角分享
点击右上角分享
0
联系我们:info@booksci.cn Book学术提供免费学术资源搜索服务,方便国内外学者检索中英文文献。致力于提供最便捷和优质的服务体验。 Copyright © 2023 布克学术 All rights reserved.
京ICP备2023020795号-1
ghs 京公网安备 11010802042870号
Book学术文献互助
Book学术文献互助群
群 号:604180095
Book学术官方微信