Metabolic mediators of the causal relationship between inflammatory bowel disease and allergic rhinitis: insights from Mendelian randomization.

IF 1.7 4区 医学 Q3 NUTRITION & DIETETICS
Journal of Clinical Biochemistry and Nutrition Pub Date : 2025-03-01 Epub Date: 2024-10-17 DOI:10.3164/jcbn.24-161
Junyan Zhang, Huancheng Xie, Yuyi Huang
{"title":"Metabolic mediators of the causal relationship between inflammatory bowel disease and allergic rhinitis: insights from Mendelian randomization.","authors":"Junyan Zhang, Huancheng Xie, Yuyi Huang","doi":"10.3164/jcbn.24-161","DOIUrl":null,"url":null,"abstract":"<p><p>Inflammatory bowel disease, including Crohn's disease and ulcerative colitis, is associated with various comorbidities, such as allergic diseases like allergic rhinitis. However, the causal relationship and potential metabolic mechanisms remain unclear. This study investigates the association between inflammatory bowel disease and allergic rhinitis, focusing on potential metabolic mediation through Mendelian randomization analysis. A two-sample Mendelian randomization analysis was conducted using datasets from European populations to evaluate the relationships between inflammatory bowel disease, Crohn's disease, ulcerative colitis, and allergic rhinitis. Additionally, 212 potential mediating metabolites were analyzed to explore metabolic mechanisms. Horizontal pleiotropy was excluded, and mediation analysis identified specific metabolites mediating these effects. Results revealed a significant association between inflammatory bowel disease, Crohn's disease, and allergic rhinitis, while ulcerative colitis showed no significant impact. Further analysis confirmed a unidirectional causal relationship from inflammatory bowel disease and Crohn's disease to allergic rhinitis. Metabolite analysis identified 91 significant metabolites, with 67 showing consistent effects. Notably, erythritol, 1-myristoyl-2-arachidonoyl-GPC, and the 3-methyl-2-oxovalerate to 4-methyl-2-oxopentanoate ratio exhibited significant mediation effects. These findings highlight a significant causal link between inflammatory bowel disease, particularly Crohn's disease, and allergic rhinitis, mediated by specific metabolites, offering new insights and potential targets for clinical interventions.</p>","PeriodicalId":15429,"journal":{"name":"Journal of Clinical Biochemistry and Nutrition","volume":"76 2","pages":"187-194"},"PeriodicalIF":1.7000,"publicationDate":"2025-03-01","publicationTypes":"Journal Article","fieldsOfStudy":null,"isOpenAccess":false,"openAccessPdf":"https://www.ncbi.nlm.nih.gov/pmc/articles/PMC11936744/pdf/","citationCount":"0","resultStr":null,"platform":"Semanticscholar","paperid":null,"PeriodicalName":"Journal of Clinical Biochemistry and Nutrition","FirstCategoryId":"3","ListUrlMain":"https://doi.org/10.3164/jcbn.24-161","RegionNum":4,"RegionCategory":"医学","ArticlePicture":[],"TitleCN":null,"AbstractTextCN":null,"PMCID":null,"EPubDate":"2024/10/17 0:00:00","PubModel":"Epub","JCR":"Q3","JCRName":"NUTRITION & DIETETICS","Score":null,"Total":0}
引用次数: 0

Abstract

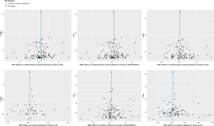
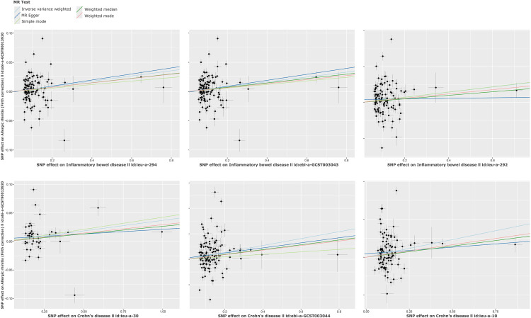
Inflammatory bowel disease, including Crohn's disease and ulcerative colitis, is associated with various comorbidities, such as allergic diseases like allergic rhinitis. However, the causal relationship and potential metabolic mechanisms remain unclear. This study investigates the association between inflammatory bowel disease and allergic rhinitis, focusing on potential metabolic mediation through Mendelian randomization analysis. A two-sample Mendelian randomization analysis was conducted using datasets from European populations to evaluate the relationships between inflammatory bowel disease, Crohn's disease, ulcerative colitis, and allergic rhinitis. Additionally, 212 potential mediating metabolites were analyzed to explore metabolic mechanisms. Horizontal pleiotropy was excluded, and mediation analysis identified specific metabolites mediating these effects. Results revealed a significant association between inflammatory bowel disease, Crohn's disease, and allergic rhinitis, while ulcerative colitis showed no significant impact. Further analysis confirmed a unidirectional causal relationship from inflammatory bowel disease and Crohn's disease to allergic rhinitis. Metabolite analysis identified 91 significant metabolites, with 67 showing consistent effects. Notably, erythritol, 1-myristoyl-2-arachidonoyl-GPC, and the 3-methyl-2-oxovalerate to 4-methyl-2-oxopentanoate ratio exhibited significant mediation effects. These findings highlight a significant causal link between inflammatory bowel disease, particularly Crohn's disease, and allergic rhinitis, mediated by specific metabolites, offering new insights and potential targets for clinical interventions.

Abstract Image

Abstract Image

Abstract Image

炎症性肠病和过敏性鼻炎之间因果关系的代谢介质:来自孟德尔随机化的见解。
炎症性肠病,包括克罗恩病和溃疡性结肠炎,与各种合并症有关,如过敏性鼻炎等过敏性疾病。然而,因果关系和潜在的代谢机制尚不清楚。本研究通过孟德尔随机化分析探讨炎症性肠病与变应性鼻炎之间的关系,重点关注潜在的代谢介导。使用来自欧洲人群的数据集进行双样本孟德尔随机化分析,以评估炎症性肠病、克罗恩病、溃疡性结肠炎和过敏性鼻炎之间的关系。此外,还分析了212种潜在的介导代谢物,以探索代谢机制。水平多效性被排除,中介分析确定了介导这些效应的特定代谢物。结果显示炎症性肠病、克罗恩病和过敏性鼻炎之间存在显著关联,而溃疡性结肠炎没有显著影响。进一步的分析证实了炎症性肠病和克罗恩病与过敏性鼻炎之间的单向因果关系。代谢物分析鉴定出91种显著代谢物,67种表现出一致的效果。值得注意的是,赤藓糖醇、1-肉豆浆酰基-2-花生四烯酰基- gpc和3-甲基-2-氧戊酸与4-甲基-2-氧戊酸的比例表现出显著的中介作用。这些发现强调了炎症性肠病,特别是克罗恩病和变应性鼻炎之间的重要因果关系,由特定代谢物介导,为临床干预提供了新的见解和潜在靶点。
本文章由计算机程序翻译,如有差异,请以英文原文为准。
求助全文
约1分钟内获得全文 求助全文
来源期刊
CiteScore
4.30
自引率
8.30%
发文量
57
审稿时长
6-12 weeks
期刊介绍: Journal of Clinical Biochemistry and Nutrition (JCBN) is an international, interdisciplinary publication encompassing chemical, biochemical, physiological, pathological, toxicological and medical approaches to research on lipid peroxidation, free radicals, oxidative stress and nutrition. The Journal welcomes original contributions dealing with all aspects of clinical biochemistry and clinical nutrition including both in vitro and in vivo studies.
×
引用
GB/T 7714-2015
复制
MLA
复制
APA
复制
导出至
BibTeX EndNote RefMan NoteFirst NoteExpress
×
提示
您的信息不完整,为了账户安全,请先补充。
现在去补充
×
提示
您因"违规操作"
具体请查看互助需知
我知道了
×
提示
确定
请完成安全验证×
copy
已复制链接
快去分享给好友吧!
我知道了
右上角分享
点击右上角分享
0
联系我们:info@booksci.cn Book学术提供免费学术资源搜索服务,方便国内外学者检索中英文文献。致力于提供最便捷和优质的服务体验。 Copyright © 2023 布克学术 All rights reserved.
京ICP备2023020795号-1
ghs 京公网安备 11010802042870号
Book学术文献互助
Book学术文献互助群
群 号:604180095
Book学术官方微信