Gut dysbiosis induced by a high-salt diet aggravates atherosclerosis by increasing the absorption of saturated fatty acids in ApoE-deficient mice.

IF 1.7 4区 医学 Q3 NUTRITION & DIETETICS
Journal of Clinical Biochemistry and Nutrition Pub Date : 2025-03-01 Epub Date: 2025-01-08 DOI:10.3164/jcbn.24-163
Takashi Yoshimura, Takuro Okamura, Hiroki Yuge, Yukako Hosomi, Tomonori Kimura, Emi Ushigome, Naoko Nakanishi, Ryoichi Sasano, Takehiro Ogata, Masahide Hamaguchi, Michiaki Fukui
{"title":"Gut dysbiosis induced by a high-salt diet aggravates atherosclerosis by increasing the absorption of saturated fatty acids in ApoE-deficient mice.","authors":"Takashi Yoshimura, Takuro Okamura, Hiroki Yuge, Yukako Hosomi, Tomonori Kimura, Emi Ushigome, Naoko Nakanishi, Ryoichi Sasano, Takehiro Ogata, Masahide Hamaguchi, Michiaki Fukui","doi":"10.3164/jcbn.24-163","DOIUrl":null,"url":null,"abstract":"<p><p>Excessive salt intake has been associated with gut dysbiosis and increased cardiovascular risk. This study investigates the role of gut dysbiosis induced by a high-salt diet in the progression of atherosclerosis in ApoE-deficient mice. Sixteen-week-old male ApoE-deficient mice were fed either a high-fat, high-sucrose diet or high-fat, high-sucrose diet supplemented with 4% NaCl for eight weeks. The group on the HFHSD with high salt showed significant progression of atherosclerosis compared to the high-fat, high-sucrose diet group. Analysis of the gut microbiota revealed reduced abundance of beneficial bacteria such as <i>Allobaculum spp.</i>, <i>Lachnospiraceae</i>, and <i>Alphaproteobacteria</i> in the high-salt group. Additionally, this group exhibited increased expression of the Cd36 gene, a transporter of long-chain fatty acids, in the small intestine. Serum and aortic levels of saturated fatty acids, known contributors to atherosclerosis, were markedly elevated in the high-salt group. These findings suggest that a high-salt diet exacerbates atherosclerosis by altering gut microbiota and increasing the absorption of saturated fatty acids through upregulation of intestinal fatty acid transporters. This study provides new insights into how dietary salt can influence cardiovascular health through its effects on the gut microbiome and lipid metabolism.</p>","PeriodicalId":15429,"journal":{"name":"Journal of Clinical Biochemistry and Nutrition","volume":"76 2","pages":"210-220"},"PeriodicalIF":1.7000,"publicationDate":"2025-03-01","publicationTypes":"Journal Article","fieldsOfStudy":null,"isOpenAccess":false,"openAccessPdf":"https://www.ncbi.nlm.nih.gov/pmc/articles/PMC11936735/pdf/","citationCount":"0","resultStr":null,"platform":"Semanticscholar","paperid":null,"PeriodicalName":"Journal of Clinical Biochemistry and Nutrition","FirstCategoryId":"3","ListUrlMain":"https://doi.org/10.3164/jcbn.24-163","RegionNum":4,"RegionCategory":"医学","ArticlePicture":[],"TitleCN":null,"AbstractTextCN":null,"PMCID":null,"EPubDate":"2025/1/8 0:00:00","PubModel":"Epub","JCR":"Q3","JCRName":"NUTRITION & DIETETICS","Score":null,"Total":0}
引用次数: 0

Abstract

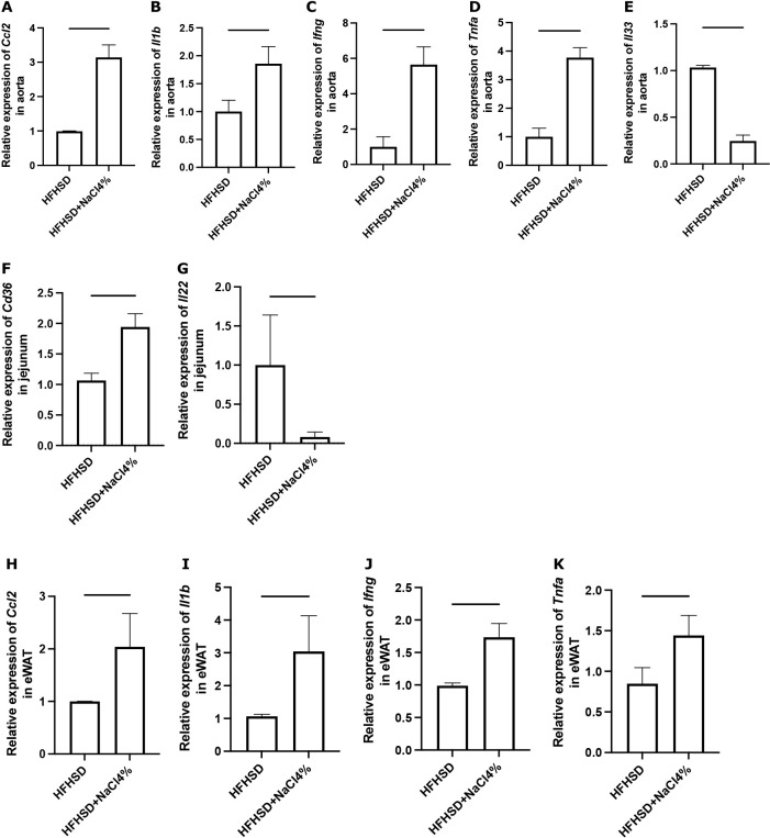
Excessive salt intake has been associated with gut dysbiosis and increased cardiovascular risk. This study investigates the role of gut dysbiosis induced by a high-salt diet in the progression of atherosclerosis in ApoE-deficient mice. Sixteen-week-old male ApoE-deficient mice were fed either a high-fat, high-sucrose diet or high-fat, high-sucrose diet supplemented with 4% NaCl for eight weeks. The group on the HFHSD with high salt showed significant progression of atherosclerosis compared to the high-fat, high-sucrose diet group. Analysis of the gut microbiota revealed reduced abundance of beneficial bacteria such as Allobaculum spp., Lachnospiraceae, and Alphaproteobacteria in the high-salt group. Additionally, this group exhibited increased expression of the Cd36 gene, a transporter of long-chain fatty acids, in the small intestine. Serum and aortic levels of saturated fatty acids, known contributors to atherosclerosis, were markedly elevated in the high-salt group. These findings suggest that a high-salt diet exacerbates atherosclerosis by altering gut microbiota and increasing the absorption of saturated fatty acids through upregulation of intestinal fatty acid transporters. This study provides new insights into how dietary salt can influence cardiovascular health through its effects on the gut microbiome and lipid metabolism.

Abstract Image

Abstract Image

Abstract Image

高盐饮食引起的肠道失调通过增加apoe缺乏小鼠对饱和脂肪酸的吸收而加重动脉粥样硬化。
过量的盐摄入与肠道生态失调和心血管风险增加有关。本研究探讨了高盐饮食诱导的肠道生态失调在apoe缺乏小鼠动脉粥样硬化进展中的作用。16周龄的apoe缺陷雄性小鼠被喂食高脂肪、高糖饮食或高脂肪、高糖饮食中添加4% NaCl,持续8周。与高脂肪、高糖饮食组相比,高盐HFHSD组的动脉粥样硬化进展明显。对肠道微生物群的分析显示,在高盐组中,有益细菌如Allobaculum spp., Lachnospiraceae和Alphaproteobacteria的丰度降低。此外,该组在小肠中表现出Cd36基因的表达增加,Cd36基因是一种长链脂肪酸的转运体。血清和主动脉饱和脂肪酸水平,已知的动脉粥样硬化的贡献者,在高盐组明显升高。这些发现表明,高盐饮食通过改变肠道菌群和通过上调肠道脂肪酸转运体增加饱和脂肪酸的吸收而加剧动脉粥样硬化。这项研究为膳食盐如何通过其对肠道微生物群和脂质代谢的影响影响心血管健康提供了新的见解。
本文章由计算机程序翻译,如有差异,请以英文原文为准。
求助全文
约1分钟内获得全文 求助全文
来源期刊
CiteScore
4.30
自引率
8.30%
发文量
57
审稿时长
6-12 weeks
期刊介绍: Journal of Clinical Biochemistry and Nutrition (JCBN) is an international, interdisciplinary publication encompassing chemical, biochemical, physiological, pathological, toxicological and medical approaches to research on lipid peroxidation, free radicals, oxidative stress and nutrition. The Journal welcomes original contributions dealing with all aspects of clinical biochemistry and clinical nutrition including both in vitro and in vivo studies.
×
引用
GB/T 7714-2015
复制
MLA
复制
APA
复制
导出至
BibTeX EndNote RefMan NoteFirst NoteExpress
×
提示
您的信息不完整,为了账户安全,请先补充。
现在去补充
×
提示
您因"违规操作"
具体请查看互助需知
我知道了
×
提示
确定
请完成安全验证×
copy
已复制链接
快去分享给好友吧!
我知道了
右上角分享
点击右上角分享
0
联系我们:info@booksci.cn Book学术提供免费学术资源搜索服务,方便国内外学者检索中英文文献。致力于提供最便捷和优质的服务体验。 Copyright © 2023 布克学术 All rights reserved.
京ICP备2023020795号-1
ghs 京公网安备 11010802042870号
Book学术文献互助
Book学术文献互助群
群 号:604180095
Book学术官方微信