Identifying responders to gabapentin for the treatment of alcohol use disorder: an exploratory machine learning approach.

IF 2.2 4区 医学 Q3 SUBSTANCE ABUSE
Lara A Ray, Erica N Grodin, Wave-Ananda Baskerville, Suzanna Donato, Alondra Cruz, Amanda K Montoya
{"title":"Identifying responders to gabapentin for the treatment of alcohol use disorder: an exploratory machine learning approach.","authors":"Lara A Ray, Erica N Grodin, Wave-Ananda Baskerville, Suzanna Donato, Alondra Cruz, Amanda K Montoya","doi":"10.1093/alcalc/agaf010","DOIUrl":null,"url":null,"abstract":"<p><strong>Background: </strong>Gabapentin, an anticonvulsant medication, has been proposed as a treatment for alcohol use disorder (AUD). A multisite study tested gabapentin enacarbil extended-release (GE-XR; 600 mg/twice a day), a prodrug formulation, combined with a computerized behavioral intervention, for AUD. In this multisite trial, the gabapentin GE-XR group did not differ significantly from placebo on the primary outcome of percent of subjects with no heavy drinking days. Despite the null findings, there is considerable interest in using machine learning methods to identify responders to GE-XR. The present study applies interaction tree machine learning methods to identify positive and iatrogenic (i.e. individuals who responded better to placebo than to GE-XR) treatment responders in the trial.</p><p><strong>Methods: </strong>Baseline characteristics taken from the multisite trial were examined as potential moderators of treatment response using qualitative interaction trees (QUINT; N = 338; 223 M/115F). QUINT models are an exploratory decision tree approach that iteratively splits the data into leaves based on predictor variables to maximize a specific criterion.</p><p><strong>Results: </strong>Analyses identified key factors that are associated with the efficacy (or iatrogenic effects) of GE-XR for AUD. Such factors are baseline drinking levels, motivation for change, confidence in their ability to reach drinking goals (i.e. self-efficacy), cognitive impulsivity, and baseline anxiety levels.</p><p><strong>Conclusion: </strong>Baseline drinking levels and anxiety levels may be associated with the protracted withdrawal syndrome, previously implicated in the clinical response to gabapentin. However, these analyses underscore motivation for change and self-efficacy as predictors of clinical response to GE-XR, suggesting these established constructs should receive further attention in gabapentin research and clinical practice. Multiple studies using different machine learning methods are valuable as these novel analytic tools are applied to medication development for AUD.</p>","PeriodicalId":7407,"journal":{"name":"Alcohol and alcoholism","volume":"60 3","pages":""},"PeriodicalIF":2.2000,"publicationDate":"2025-03-25","publicationTypes":"Journal Article","fieldsOfStudy":null,"isOpenAccess":false,"openAccessPdf":"https://www.ncbi.nlm.nih.gov/pmc/articles/PMC11938997/pdf/","citationCount":"0","resultStr":null,"platform":"Semanticscholar","paperid":null,"PeriodicalName":"Alcohol and alcoholism","FirstCategoryId":"3","ListUrlMain":"https://doi.org/10.1093/alcalc/agaf010","RegionNum":4,"RegionCategory":"医学","ArticlePicture":[],"TitleCN":null,"AbstractTextCN":null,"PMCID":null,"EPubDate":"","PubModel":"","JCR":"Q3","JCRName":"SUBSTANCE ABUSE","Score":null,"Total":0}
引用次数: 0

Abstract

Background: Gabapentin, an anticonvulsant medication, has been proposed as a treatment for alcohol use disorder (AUD). A multisite study tested gabapentin enacarbil extended-release (GE-XR; 600 mg/twice a day), a prodrug formulation, combined with a computerized behavioral intervention, for AUD. In this multisite trial, the gabapentin GE-XR group did not differ significantly from placebo on the primary outcome of percent of subjects with no heavy drinking days. Despite the null findings, there is considerable interest in using machine learning methods to identify responders to GE-XR. The present study applies interaction tree machine learning methods to identify positive and iatrogenic (i.e. individuals who responded better to placebo than to GE-XR) treatment responders in the trial.

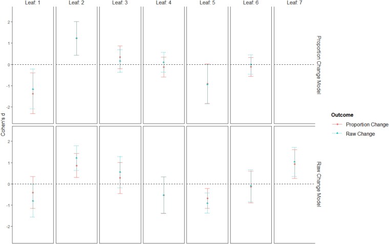
Methods: Baseline characteristics taken from the multisite trial were examined as potential moderators of treatment response using qualitative interaction trees (QUINT; N = 338; 223 M/115F). QUINT models are an exploratory decision tree approach that iteratively splits the data into leaves based on predictor variables to maximize a specific criterion.

Results: Analyses identified key factors that are associated with the efficacy (or iatrogenic effects) of GE-XR for AUD. Such factors are baseline drinking levels, motivation for change, confidence in their ability to reach drinking goals (i.e. self-efficacy), cognitive impulsivity, and baseline anxiety levels.

Conclusion: Baseline drinking levels and anxiety levels may be associated with the protracted withdrawal syndrome, previously implicated in the clinical response to gabapentin. However, these analyses underscore motivation for change and self-efficacy as predictors of clinical response to GE-XR, suggesting these established constructs should receive further attention in gabapentin research and clinical practice. Multiple studies using different machine learning methods are valuable as these novel analytic tools are applied to medication development for AUD.

Abstract Image

Abstract Image

Abstract Image

识别加巴喷丁治疗酒精使用障碍的应答者:一种探索性机器学习方法。
背景:加巴喷丁是一种抗惊厥药物,已被建议用于治疗酒精使用障碍(AUD)。一项多地点研究测试了加巴喷丁的缓释(GE-XR;600毫克/每天两次),一种前药配方,结合计算机行为干预,用于AUD。在这项多地点试验中,加巴喷丁GE-XR组与安慰剂组在无大量饮酒日受试者的主要结局百分比上没有显著差异。尽管研究结果无效,但人们对使用机器学习方法识别GE-XR的应答者非常感兴趣。本研究应用交互树机器学习方法在试验中识别阳性和医源性(即对安慰剂的反应优于对GE-XR的个体)治疗反应者。方法:采用定性相互作用树(QUINT;n = 338;223米/ 115 f)。QUINT模型是一种探索性决策树方法,它基于预测变量迭代地将数据分成叶子,以最大化特定标准。结果:分析确定了与GE-XR治疗AUD疗效(或医源性影响)相关的关键因素。这些因素包括基线饮酒水平、改变的动机、对自己达到饮酒目标的能力的信心(即自我效能)、认知冲动和基线焦虑水平。结论:基线饮酒水平和焦虑水平可能与长期戒断综合征有关,这与加巴喷丁的临床反应有关。然而,这些分析强调了改变动机和自我效能作为GE-XR临床反应的预测因素,表明这些已建立的结构应该在加巴喷丁研究和临床实践中得到进一步的关注。使用不同机器学习方法的多项研究是有价值的,因为这些新的分析工具应用于AUD的药物开发。
本文章由计算机程序翻译,如有差异,请以英文原文为准。
求助全文
约1分钟内获得全文 求助全文
来源期刊
Alcohol and alcoholism
Alcohol and alcoholism 医学-药物滥用
CiteScore
4.70
自引率
3.60%
发文量
62
审稿时长
4-8 weeks
期刊介绍: About the Journal Alcohol and Alcoholism publishes papers on the biomedical, psychological, and sociological aspects of alcoholism and alcohol research, provided that they make a new and significant contribution to knowledge in the field. Papers include new results obtained experimentally, descriptions of new experimental (including clinical) methods of importance to the field of alcohol research and treatment, or new interpretations of existing results. Theoretical contributions are considered equally with papers dealing with experimental work provided that such theoretical contributions are not of a largely speculative or philosophical nature.
×
引用
GB/T 7714-2015
复制
MLA
复制
APA
复制
导出至
BibTeX EndNote RefMan NoteFirst NoteExpress
×
提示
您的信息不完整,为了账户安全,请先补充。
现在去补充
×
提示
您因"违规操作"
具体请查看互助需知
我知道了
×
提示
确定
请完成安全验证×
copy
已复制链接
快去分享给好友吧!
我知道了
右上角分享
点击右上角分享
0
联系我们:info@booksci.cn Book学术提供免费学术资源搜索服务,方便国内外学者检索中英文文献。致力于提供最便捷和优质的服务体验。 Copyright © 2023 布克学术 All rights reserved.
京ICP备2023020795号-1
ghs 京公网安备 11010802042870号
Book学术文献互助
Book学术文献互助群
群 号:604180095
Book学术官方微信