Immunoexpression of Claudin-4 In Non-Small Cell Lung Carcinomas.

Current health sciences journal Pub Date : 2024-10-01 Epub Date: 2024-12-31 DOI:10.12865/CHSJ.50.04.05
Daniela Florentina Grecu, Marian Valentin Zorilă, Liliana Stanca, Alexandru Florian Grecu, Oana Iulia Crețu, Alex Emilian Stepan
{"title":"Immunoexpression of Claudin-4 In Non-Small Cell Lung Carcinomas.","authors":"Daniela Florentina Grecu, Marian Valentin Zorilă, Liliana Stanca, Alexandru Florian Grecu, Oana Iulia Crețu, Alex Emilian Stepan","doi":"10.12865/CHSJ.50.04.05","DOIUrl":null,"url":null,"abstract":"<p><p>Non-small cell lung carcinomas (NSCLC) are the most common histological forms of lung cancer, lesions that by their incidence and associated mortality constitute a health problem worldwide. Alteration of the expression of claudins with a role in the stability of cell adhesion constitutes one of the complex biomolecular mechanisms involved in tumor initiation and progression. In this study, Claudin-4 immunoexpression was investigated in 52 cases of NSCLC in relation to epidemiological and histopathological prognostic parameters of the lesions. Although the staining scores were higher in patients in younger age groups, in women, in smokers and in squamous cell carcinomas (SCC) and large cell carcinoma (LLC) compared to adenocarcinomas (ADK), the aspects were not statistically significant. We found significantly higher differences in micropapillary, cribriform and solid ADK compared to other histological subtypes, in well and poorly differentiated lesions (G1/G3), with vascular invasion and in advanced tumor stages. Reaction analysis indicated translocation of Claudin-4 signals from the membrane level to the cytoplasm and nucleus in aggressive histological subtypes. The study indicated differences in Claudin-4 expression, which can be used to identify aggressive NSCLC and to stratify patients for specific therapy.</p>","PeriodicalId":93963,"journal":{"name":"Current health sciences journal","volume":"50 5","pages":"508-514"},"PeriodicalIF":0.0000,"publicationDate":"2024-10-01","publicationTypes":"Journal Article","fieldsOfStudy":null,"isOpenAccess":false,"openAccessPdf":"https://www.ncbi.nlm.nih.gov/pmc/articles/PMC11936070/pdf/","citationCount":"0","resultStr":null,"platform":"Semanticscholar","paperid":null,"PeriodicalName":"Current health sciences journal","FirstCategoryId":"1085","ListUrlMain":"https://doi.org/10.12865/CHSJ.50.04.05","RegionNum":0,"RegionCategory":null,"ArticlePicture":[],"TitleCN":null,"AbstractTextCN":null,"PMCID":null,"EPubDate":"2024/12/31 0:00:00","PubModel":"Epub","JCR":"","JCRName":"","Score":null,"Total":0}
引用次数: 0

Abstract

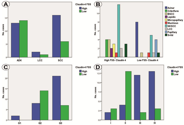
Non-small cell lung carcinomas (NSCLC) are the most common histological forms of lung cancer, lesions that by their incidence and associated mortality constitute a health problem worldwide. Alteration of the expression of claudins with a role in the stability of cell adhesion constitutes one of the complex biomolecular mechanisms involved in tumor initiation and progression. In this study, Claudin-4 immunoexpression was investigated in 52 cases of NSCLC in relation to epidemiological and histopathological prognostic parameters of the lesions. Although the staining scores were higher in patients in younger age groups, in women, in smokers and in squamous cell carcinomas (SCC) and large cell carcinoma (LLC) compared to adenocarcinomas (ADK), the aspects were not statistically significant. We found significantly higher differences in micropapillary, cribriform and solid ADK compared to other histological subtypes, in well and poorly differentiated lesions (G1/G3), with vascular invasion and in advanced tumor stages. Reaction analysis indicated translocation of Claudin-4 signals from the membrane level to the cytoplasm and nucleus in aggressive histological subtypes. The study indicated differences in Claudin-4 expression, which can be used to identify aggressive NSCLC and to stratify patients for specific therapy.

Abstract Image

Abstract Image

Claudin-4在非小细胞肺癌中的免疫表达。
非小细胞肺癌(NSCLC)是肺癌最常见的组织学形式,其发病率和相关死亡率构成了世界范围内的健康问题。影响细胞粘附稳定性的claudins表达的改变是肿瘤发生和发展的复杂生物分子机制之一。本研究研究了52例非小细胞肺癌中Claudin-4免疫表达与病变流行病学和组织病理学预后参数的关系。尽管与腺癌(ADK)相比,年轻年龄组、女性、吸烟者、鳞状细胞癌(SCC)和大细胞癌(LLC)患者的染色评分更高,但这些方面没有统计学意义。我们发现,与其他组织学亚型相比,在分化良好和低分化病变(G1/G3)、血管浸润和晚期肿瘤中,微乳头状、筛状和实体ADK的差异明显更高。反应分析表明,在侵袭性组织学亚型中,Claudin-4信号从膜水平易位到细胞质和细胞核。该研究表明,Claudin-4表达的差异可用于识别侵袭性非小细胞肺癌,并对患者进行特异性治疗。
本文章由计算机程序翻译,如有差异,请以英文原文为准。
求助全文
约1分钟内获得全文 求助全文
来源期刊
自引率
0.00%
发文量
0
×
引用
GB/T 7714-2015
复制
MLA
复制
APA
复制
导出至
BibTeX EndNote RefMan NoteFirst NoteExpress
×
提示
您的信息不完整,为了账户安全,请先补充。
现在去补充
×
提示
您因"违规操作"
具体请查看互助需知
我知道了
×
提示
确定
请完成安全验证×
copy
已复制链接
快去分享给好友吧!
我知道了
右上角分享
点击右上角分享
0
联系我们:info@booksci.cn Book学术提供免费学术资源搜索服务,方便国内外学者检索中英文文献。致力于提供最便捷和优质的服务体验。 Copyright © 2023 布克学术 All rights reserved.
京ICP备2023020795号-1
ghs 京公网安备 11010802042870号
Book学术文献互助
Book学术文献互助群
群 号:604180095
Book学术官方微信