Insights in wound healing properties of water-soluble composition of dihydroquercetin and L-lysine.

IF 4.3 4区 医学 Q2 PHARMACOLOGY & PHARMACY
Journal of Pharmacy and Pharmaceutical Sciences Pub Date : 2025-03-12 eCollection Date: 2025-01-01 DOI:10.3389/jpps.2025.13831
Artem A Svotin, Amir Taldaev, Ilya D Nikitin, Maria D Korochkina, Roman P Terekhov, Irina A Selivanova
{"title":"Insights in wound healing properties of water-soluble composition of dihydroquercetin and L-lysine.","authors":"Artem A Svotin, Amir Taldaev, Ilya D Nikitin, Maria D Korochkina, Roman P Terekhov, Irina A Selivanova","doi":"10.3389/jpps.2025.13831","DOIUrl":null,"url":null,"abstract":"<p><p>This study focuses on implementing a composition of the natural flavonoid dihydroquercetin (DHQ) with L-lysine in the treatment of thermal burns. The wound-healing activity of DHQ is well-known. The addition of amino acid to the composition increases the water solubility of the flavonoids, providing an opportunity to develop a spray dosage form. The research involved 60 male Wistar rats divided into five treatment groups. Sea buck oil served as a positive control. On day 14, the composition treatment group showed significant progress in wound healing, being 9.6 ± 2.0% ahead of the other groups in absolute terms. On day 35, treatment with the composition resulted in a significant decrease in relative wound area to 1.9 ± 0.9%, while in the negative and positive control groups, it was 10.7 ± 7.8% and 8.4 ± 4.9%, respectively. At the same time, the epidermal and dermal layers were found to be clearly distinguished in the composition treatment according to histological analysis. Numerous collagen fibres were clearly visible, and the active process of keloid scar formation was observed. An additive effect of the combined use of DHQ and L-lysine was observed (<i>F</i> = 0.21, <i>p</i> = 0.649). A natural next step is to develop the dosage form for the DHQ-L-lysine composition.</p>","PeriodicalId":50090,"journal":{"name":"Journal of Pharmacy and Pharmaceutical Sciences","volume":"28 ","pages":"13831"},"PeriodicalIF":4.3000,"publicationDate":"2025-03-12","publicationTypes":"Journal Article","fieldsOfStudy":null,"isOpenAccess":false,"openAccessPdf":"https://www.ncbi.nlm.nih.gov/pmc/articles/PMC11936752/pdf/","citationCount":"0","resultStr":null,"platform":"Semanticscholar","paperid":null,"PeriodicalName":"Journal of Pharmacy and Pharmaceutical Sciences","FirstCategoryId":"3","ListUrlMain":"https://doi.org/10.3389/jpps.2025.13831","RegionNum":4,"RegionCategory":"医学","ArticlePicture":[],"TitleCN":null,"AbstractTextCN":null,"PMCID":null,"EPubDate":"2025/1/1 0:00:00","PubModel":"eCollection","JCR":"Q2","JCRName":"PHARMACOLOGY & PHARMACY","Score":null,"Total":0}
引用次数: 0

Abstract

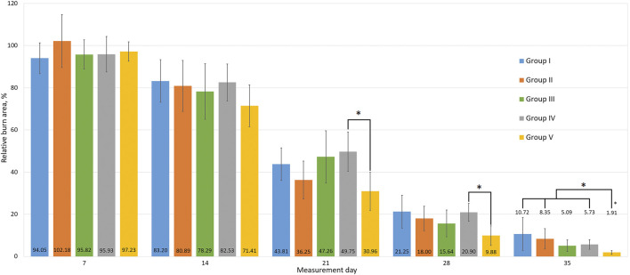
This study focuses on implementing a composition of the natural flavonoid dihydroquercetin (DHQ) with L-lysine in the treatment of thermal burns. The wound-healing activity of DHQ is well-known. The addition of amino acid to the composition increases the water solubility of the flavonoids, providing an opportunity to develop a spray dosage form. The research involved 60 male Wistar rats divided into five treatment groups. Sea buck oil served as a positive control. On day 14, the composition treatment group showed significant progress in wound healing, being 9.6 ± 2.0% ahead of the other groups in absolute terms. On day 35, treatment with the composition resulted in a significant decrease in relative wound area to 1.9 ± 0.9%, while in the negative and positive control groups, it was 10.7 ± 7.8% and 8.4 ± 4.9%, respectively. At the same time, the epidermal and dermal layers were found to be clearly distinguished in the composition treatment according to histological analysis. Numerous collagen fibres were clearly visible, and the active process of keloid scar formation was observed. An additive effect of the combined use of DHQ and L-lysine was observed (F = 0.21, p = 0.649). A natural next step is to develop the dosage form for the DHQ-L-lysine composition.

Abstract Image

Abstract Image

Abstract Image

双氢槲皮素和l -赖氨酸水溶性组合物的伤口愈合特性。
本研究的重点是实施天然类黄酮二氢槲皮素(DHQ)与l -赖氨酸的组合物在热烧伤的治疗。DHQ的创面愈合活性是众所周知的。在所述组合物中添加氨基酸增加了所述黄酮类化合物的水溶性,从而提供了开发喷雾剂型的机会。这项研究涉及60只雄性Wistar大鼠,分为五个治疗组。海buck油作为阳性对照。第14天,组合物治疗组创面愈合有明显进展,绝对优势为9.6±2.0%。第35天,用该组合物治疗后,相对创面面积显著减少,为1.9±0.9%,阴性对照组为10.7±7.8%,阳性对照组为8.4±4.9%。同时,通过组织学分析发现,在组份处理中,表皮层和真皮层有明显的区别。可见大量胶原纤维,并观察到瘢痕疙瘩形成的活跃过程。DHQ与l -赖氨酸联合使用有加性效应(F = 0.21, p = 0.649)。下一步自然是开发dhq -l -赖氨酸组合物的剂型。
本文章由计算机程序翻译,如有差异,请以英文原文为准。
求助全文
约1分钟内获得全文 求助全文
来源期刊
CiteScore
6.90
自引率
0.00%
发文量
29
审稿时长
6-12 weeks
期刊介绍: The Journal of Pharmacy and Pharmaceutical Sciences (JPPS) is the official journal of the Canadian Society for Pharmaceutical Sciences. JPPS is a broad-spectrum, peer-reviewed, international pharmaceutical journal circulated electronically via the World Wide Web. Subscription to JPPS is free of charge. Articles will appear individually as soon as they are accepted and are ready for circulation.
×
引用
GB/T 7714-2015
复制
MLA
复制
APA
复制
导出至
BibTeX EndNote RefMan NoteFirst NoteExpress
×
提示
您的信息不完整,为了账户安全,请先补充。
现在去补充
×
提示
您因"违规操作"
具体请查看互助需知
我知道了
×
提示
确定
请完成安全验证×
copy
已复制链接
快去分享给好友吧!
我知道了
右上角分享
点击右上角分享
0
联系我们:info@booksci.cn Book学术提供免费学术资源搜索服务,方便国内外学者检索中英文文献。致力于提供最便捷和优质的服务体验。 Copyright © 2023 布克学术 All rights reserved.
京ICP备2023020795号-1
ghs 京公网安备 11010802042870号
Book学术文献互助
Book学术文献互助群
群 号:604180095
Book学术官方微信