Appropriate methods of evaluating future liver remnant volume to predict postoperative liver failure after major hepatectomy based on the body mass of patients with normal hepatic reserve.

IF 1.6 4区 医学 Q2 SURGERY
Surgery Today Pub Date : 2025-09-01 Epub Date: 2025-03-27 DOI:10.1007/s00595-025-03030-0
Tomohiko Ikehara, Akira Shimizu, Koji Kubota, Tsuyoshi Notake, Noriyuki Kitagawa, Hitoshi Masuo, Takahiro Yoshizawa, Kiyotaka Hosoda, Hiroki Sakai, Yuji Soejima
{"title":"Appropriate methods of evaluating future liver remnant volume to predict postoperative liver failure after major hepatectomy based on the body mass of patients with normal hepatic reserve.","authors":"Tomohiko Ikehara, Akira Shimizu, Koji Kubota, Tsuyoshi Notake, Noriyuki Kitagawa, Hitoshi Masuo, Takahiro Yoshizawa, Kiyotaka Hosoda, Hiroki Sakai, Yuji Soejima","doi":"10.1007/s00595-025-03030-0","DOIUrl":null,"url":null,"abstract":"<p><strong>Purpose: </strong>Several parameters are used to assess future liver remnant (FLR) size before major hepatectomy. This study aimed to clarify which is the most appropriate method to use for the prediction of post-hepatectomy liver failure (PHLF).</p><p><strong>Methods: </strong>The subjects of this study were 307 patients with Child-Pugh class A only, who underwent major hepatectomy, to focus on FLR size. The parameters we evaluated for their accuracy in predicting Grade B/C PHLF (PHLF B/C) using receiver operating characteristic curve analysis were FLR volume (FLRV), the FLRV to total liver volume ratio (FLRV/TLV), standard liver volume (FLRV/SLV), and body weight (FLRV/BW) according to body mass.</p><p><strong>Results: </strong>The predictive value accuracy of these four parameters for PHLF was similar for the entire cohort. However, in the subgroup analysis based on body mass index, FLRV/BW accuracy was highest in the obese group, whereas that of FLRV/TLV was highest in the lean group. Multivariate analysis identified that FLRV/BW (< 0.7%) and blood loss (≥ 1000 ml) were independent risk factors for PHLF B/C in the obese group. In the lean group, FLRV/TLV (< 40%) and biliary reconstruction were risk factors for PHLF B/C.</p><p><strong>Conclusions: </strong>The FLR size evaluation method for predicting PHLF should be appropriately selected based on the patient's body mass.</p>","PeriodicalId":22163,"journal":{"name":"Surgery Today","volume":" ","pages":"1284-1294"},"PeriodicalIF":1.6000,"publicationDate":"2025-09-01","publicationTypes":"Journal Article","fieldsOfStudy":null,"isOpenAccess":false,"openAccessPdf":"https://www.ncbi.nlm.nih.gov/pmc/articles/PMC12380875/pdf/","citationCount":"0","resultStr":null,"platform":"Semanticscholar","paperid":null,"PeriodicalName":"Surgery Today","FirstCategoryId":"3","ListUrlMain":"https://doi.org/10.1007/s00595-025-03030-0","RegionNum":4,"RegionCategory":"医学","ArticlePicture":[],"TitleCN":null,"AbstractTextCN":null,"PMCID":null,"EPubDate":"2025/3/27 0:00:00","PubModel":"Epub","JCR":"Q2","JCRName":"SURGERY","Score":null,"Total":0}
引用次数: 0

Abstract

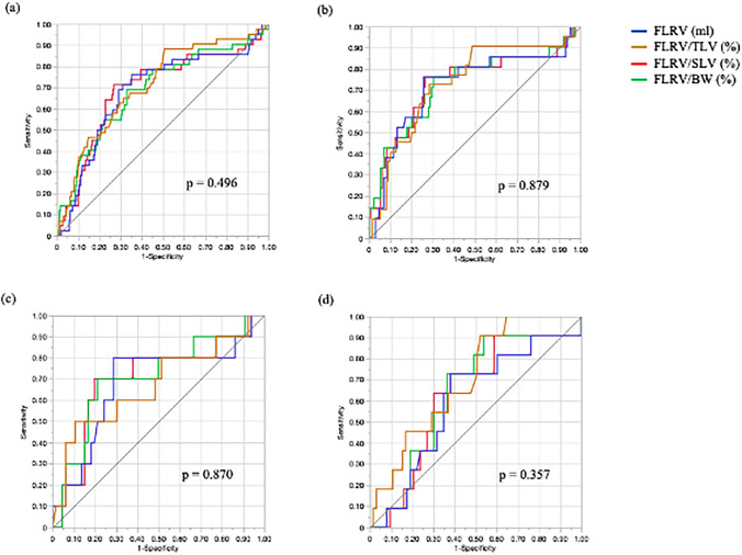
Purpose: Several parameters are used to assess future liver remnant (FLR) size before major hepatectomy. This study aimed to clarify which is the most appropriate method to use for the prediction of post-hepatectomy liver failure (PHLF).

Methods: The subjects of this study were 307 patients with Child-Pugh class A only, who underwent major hepatectomy, to focus on FLR size. The parameters we evaluated for their accuracy in predicting Grade B/C PHLF (PHLF B/C) using receiver operating characteristic curve analysis were FLR volume (FLRV), the FLRV to total liver volume ratio (FLRV/TLV), standard liver volume (FLRV/SLV), and body weight (FLRV/BW) according to body mass.

Results: The predictive value accuracy of these four parameters for PHLF was similar for the entire cohort. However, in the subgroup analysis based on body mass index, FLRV/BW accuracy was highest in the obese group, whereas that of FLRV/TLV was highest in the lean group. Multivariate analysis identified that FLRV/BW (< 0.7%) and blood loss (≥ 1000 ml) were independent risk factors for PHLF B/C in the obese group. In the lean group, FLRV/TLV (< 40%) and biliary reconstruction were risk factors for PHLF B/C.

Conclusions: The FLR size evaluation method for predicting PHLF should be appropriately selected based on the patient's body mass.

Abstract Image

Abstract Image

基于肝储备正常患者的体重评估未来肝残量预测肝大切除术后肝功能衰竭的合适方法
目的:使用几个参数来评估大肝切除术前未来肝残体(FLR)的大小。本研究旨在阐明预测肝切除术后肝功能衰竭(PHLF)最合适的方法。方法:本研究对象为307例Child-Pugh A级患者,均行大肝切除术,关注FLR大小。采用受试者工作特征曲线分析,评价其预测B/C级PHLF (PHLF B/C)准确性的参数为:FLR体积(FLRV)、FLRV与总肝体积比(FLRV/TLV)、标准肝体积(FLRV/SLV)和体重(FLRV/BW)。结果:在整个队列中,这四个参数对PHLF的预测值准确性相似。然而,在基于体重指数的亚组分析中,FLRV/BW准确度在肥胖组最高,而FLRV/TLV准确度在瘦组最高。结论:预测PHLF的FLR大小评价方法应根据患者的体重适当选择。
本文章由计算机程序翻译,如有差异,请以英文原文为准。
求助全文
约1分钟内获得全文 求助全文
来源期刊
Surgery Today
Surgery Today 医学-外科
CiteScore
4.90
自引率
4.00%
发文量
208
审稿时长
1 months
期刊介绍: Surgery Today is the official journal of the Japan Surgical Society. The main purpose of the journal is to provide a place for the publication of high-quality papers documenting recent advances and new developments in all fields of surgery, both clinical and experimental. The journal welcomes original papers, review articles, and short communications, as well as short technical reports("How to do it"). The "How to do it" section will includes short articles on methods or techniques recommended for practical surgery. Papers submitted to the journal are reviewed by an international editorial board. Field of interest: All fields of surgery.
×
引用
GB/T 7714-2015
复制
MLA
复制
APA
复制
导出至
BibTeX EndNote RefMan NoteFirst NoteExpress
×
提示
您的信息不完整,为了账户安全,请先补充。
现在去补充
×
提示
您因"违规操作"
具体请查看互助需知
我知道了
×
提示
确定
请完成安全验证×
copy
已复制链接
快去分享给好友吧!
我知道了
右上角分享
点击右上角分享
0
联系我们:info@booksci.cn Book学术提供免费学术资源搜索服务,方便国内外学者检索中英文文献。致力于提供最便捷和优质的服务体验。 Copyright © 2023 布克学术 All rights reserved.
京ICP备2023020795号-1
ghs 京公网安备 11010802042870号
Book学术文献互助
Book学术文献互助群
群 号:604180095
Book学术官方微信