Statistical Validation of Unsupervised Clustering for Adolescent TMD: A Cross-Sectional Study.

IF 2.9 3区 医学 Q1 DENTISTRY, ORAL SURGERY & MEDICINE
Oral diseases Pub Date : 2025-08-01 Epub Date: 2025-03-27 DOI:10.1111/odi.15331
Hye Kyoung Kim
{"title":"Statistical Validation of Unsupervised Clustering for Adolescent TMD: A Cross-Sectional Study.","authors":"Hye Kyoung Kim","doi":"10.1111/odi.15331","DOIUrl":null,"url":null,"abstract":"<p><strong>Objective: </strong>This study employs unsupervised clustering to identify Temporomandibular disorders (TMD) phenotypes in adolescents, aiming to identify distinct clusters based on biopsychosocial features. It compares these clusters with conventional TMD classifications to assess if this method offers enhanced insights into TMD diagnosis.</p><p><strong>Methods: </strong>Data from 662 adolescent patients with TMD were analyzed using unsupervised clustering and classified into four groups based on DC/TMD Axis I: 1 (disc displacement), 2 (joint pain), 3 (muscle pain), and 4 (combined joint and muscle pain). Patient-reported outcomes were measured with instruments including the Brief Pain Inventory, the Pain Catastrophizing Scale, the Symptom Checklist-90-Revised, and the Pittsburgh Sleep Quality Index. Statistical analyses validated the clusters against conventional classifications.</p><p><strong>Results: </strong>Three distinct clusters were identified: High Impact (n = 70), Mild Symptoms (n = 423), and High Catastrophizing (n = 169), each displaying unique patterns in pain severity, pain catastrophizing, psychological distress, and sleep disturbances. Multinomial logistic regression of conventional TMD classifications revealed that only pain severity significantly differentiated the subcategories among these biopsychosocial factors.</p><p><strong>Conclusions: </strong>The findings underscore the variability in TMD presentations among adolescents and suggest that integrating phenotyping into the conventional diagnostic approach could significantly improve diagnostic accuracy and treatment outcomes, facilitating better management of high-risk adolescent patients.</p>","PeriodicalId":19615,"journal":{"name":"Oral diseases","volume":" ","pages":"2596-2607"},"PeriodicalIF":2.9000,"publicationDate":"2025-08-01","publicationTypes":"Journal Article","fieldsOfStudy":null,"isOpenAccess":false,"openAccessPdf":"https://www.ncbi.nlm.nih.gov/pmc/articles/PMC12423482/pdf/","citationCount":"0","resultStr":null,"platform":"Semanticscholar","paperid":null,"PeriodicalName":"Oral diseases","FirstCategoryId":"3","ListUrlMain":"https://doi.org/10.1111/odi.15331","RegionNum":3,"RegionCategory":"医学","ArticlePicture":[],"TitleCN":null,"AbstractTextCN":null,"PMCID":null,"EPubDate":"2025/3/27 0:00:00","PubModel":"Epub","JCR":"Q1","JCRName":"DENTISTRY, ORAL SURGERY & MEDICINE","Score":null,"Total":0}
引用次数: 0

Abstract

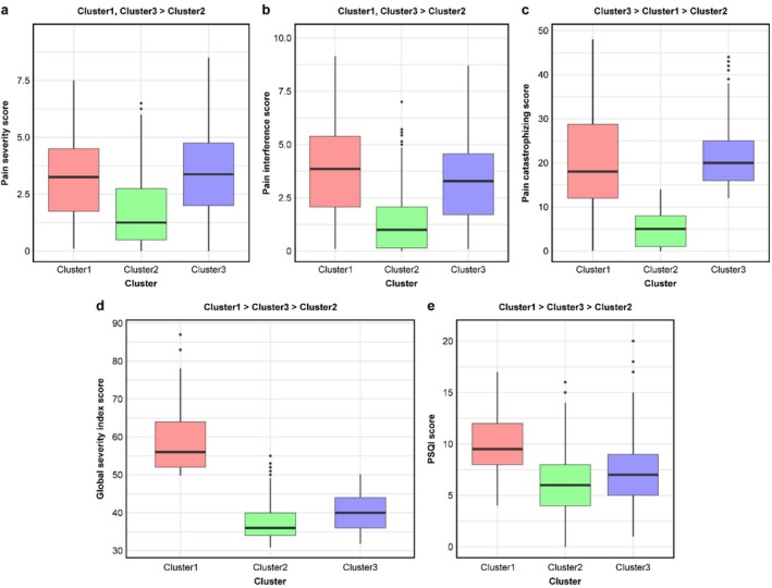
Objective: This study employs unsupervised clustering to identify Temporomandibular disorders (TMD) phenotypes in adolescents, aiming to identify distinct clusters based on biopsychosocial features. It compares these clusters with conventional TMD classifications to assess if this method offers enhanced insights into TMD diagnosis.

Methods: Data from 662 adolescent patients with TMD were analyzed using unsupervised clustering and classified into four groups based on DC/TMD Axis I: 1 (disc displacement), 2 (joint pain), 3 (muscle pain), and 4 (combined joint and muscle pain). Patient-reported outcomes were measured with instruments including the Brief Pain Inventory, the Pain Catastrophizing Scale, the Symptom Checklist-90-Revised, and the Pittsburgh Sleep Quality Index. Statistical analyses validated the clusters against conventional classifications.

Results: Three distinct clusters were identified: High Impact (n = 70), Mild Symptoms (n = 423), and High Catastrophizing (n = 169), each displaying unique patterns in pain severity, pain catastrophizing, psychological distress, and sleep disturbances. Multinomial logistic regression of conventional TMD classifications revealed that only pain severity significantly differentiated the subcategories among these biopsychosocial factors.

Conclusions: The findings underscore the variability in TMD presentations among adolescents and suggest that integrating phenotyping into the conventional diagnostic approach could significantly improve diagnostic accuracy and treatment outcomes, facilitating better management of high-risk adolescent patients.

Abstract Image

Abstract Image

Abstract Image

青少年TMD的无监督聚类的统计验证:一项横断面研究。
目的:本研究采用无监督聚类方法识别青少年颞下颌疾病(Temporomandibular disorders, TMD)的表型,旨在基于生物心理社会特征识别出不同的聚类。它将这些集群与传统的TMD分类进行比较,以评估这种方法是否提供了对TMD诊断的增强见解。方法:采用无监督聚类方法对662例青少年TMD患者的数据进行分析,并根据DC/TMD轴I分为4组:1(椎间盘移位)、2(关节疼痛)、3(肌肉疼痛)和4(关节和肌肉联合疼痛)。患者报告的结果采用包括简短疼痛量表、疼痛灾难量表、症状检查表-90-修订版和匹兹堡睡眠质量指数在内的工具进行测量。统计分析验证了与传统分类的聚类。结果:确定了三个不同的集群:高影响(n = 70),轻度症状(n = 423)和高灾难化(n = 169),每个集群在疼痛严重程度,疼痛灾难化,心理困扰和睡眠障碍方面表现出独特的模式。传统TMD分类的多项逻辑回归显示,在这些生物心理社会因素中,只有疼痛严重程度有显著的分类差异。结论:研究结果强调了青少年TMD表现的可变性,并表明将表型分析纳入常规诊断方法可以显著提高诊断准确性和治疗效果,有助于更好地管理高危青少年患者。
本文章由计算机程序翻译,如有差异,请以英文原文为准。
求助全文
约1分钟内获得全文 求助全文
来源期刊
Oral diseases
Oral diseases 医学-牙科与口腔外科
CiteScore
7.60
自引率
5.30%
发文量
325
审稿时长
4-8 weeks
期刊介绍: Oral Diseases is a multidisciplinary and international journal with a focus on head and neck disorders, edited by leaders in the field, Professor Giovanni Lodi (Editor-in-Chief, Milan, Italy), Professor Stefano Petti (Deputy Editor, Rome, Italy) and Associate Professor Gulshan Sunavala-Dossabhoy (Deputy Editor, Shreveport, LA, USA). The journal is pre-eminent in oral medicine. Oral Diseases specifically strives to link often-isolated areas of dentistry and medicine through broad-based scholarship that includes well-designed and controlled clinical research, analytical epidemiology, and the translation of basic science in pre-clinical studies. The journal typically publishes articles relevant to many related medical specialties including especially dermatology, gastroenterology, hematology, immunology, infectious diseases, neuropsychiatry, oncology and otolaryngology. The essential requirement is that all submitted research is hypothesis-driven, with significant positive and negative results both welcomed. Equal publication emphasis is placed on etiology, pathogenesis, diagnosis, prevention and treatment.
×
引用
GB/T 7714-2015
复制
MLA
复制
APA
复制
导出至
BibTeX EndNote RefMan NoteFirst NoteExpress
×
提示
您的信息不完整,为了账户安全,请先补充。
现在去补充
×
提示
您因"违规操作"
具体请查看互助需知
我知道了
×
提示
确定
请完成安全验证×
copy
已复制链接
快去分享给好友吧!
我知道了
右上角分享
点击右上角分享
0
联系我们:info@booksci.cn Book学术提供免费学术资源搜索服务,方便国内外学者检索中英文文献。致力于提供最便捷和优质的服务体验。 Copyright © 2023 布克学术 All rights reserved.
京ICP备2023020795号-1
ghs 京公网安备 11010802042870号
Book学术文献互助
Book学术文献互助群
群 号:604180095
Book学术官方微信