Influence of neurokinin B, dynorphin A and kisspeptin-10 on in vitro gonadotropin secretion by anterior pituitary cells isolated from pubescent ewes.

IF 1.5 3区 农林科学 Q2 VETERINARY SCIENCES
Journal of Veterinary Research Pub Date : 2025-01-31 eCollection Date: 2025-03-01 DOI:10.2478/jvetres-2025-0003
Natalia Szysiak, Urszula Kosior-Korzecka, Vincenzo Longo, Krzysztof Patkowski, Monika Greguła-Kania, Aneta Nowakiewicz, Mariola Bochniarz, Andrzej Junkuszew
{"title":"Influence of neurokinin B, dynorphin A and kisspeptin-10 on <i>in vitro</i> gonadotropin secretion by anterior pituitary cells isolated from pubescent ewes.","authors":"Natalia Szysiak, Urszula Kosior-Korzecka, Vincenzo Longo, Krzysztof Patkowski, Monika Greguła-Kania, Aneta Nowakiewicz, Mariola Bochniarz, Andrzej Junkuszew","doi":"10.2478/jvetres-2025-0003","DOIUrl":null,"url":null,"abstract":"<p><strong>Introduction: </strong>The hypothalamic neuropeptides kisspeptin-10 (KiSS-10), neurokinin B (NKB), and dynorphin A (Dyn A) play roles in the endocrine regulation of the hypothalamic-pituitary-ovarian (HPO) axis in puberty. Livestock's timely attainment of sexual maturity increases reproductive efficiency and raises profitability. The pituitary relationship between these neuropeptides and gonadotropins in puberty in ewes being undercharacterised. The aim of the study was to analyse their direct effect on gonadotropin secretion by pituitary cells isolated from pubescent ewes.</p><p><strong>Material and methods: </strong>Cells were incubated in McCoy's 5A medium, either without neuropeptides (as the control) or with 10<sup>-11</sup>, 10<sup>-10</sup>, 10<sup>-9</sup>, 10<sup>-8</sup> and 10<sup>-7</sup> M of KiSS-10, NKB and Dyn A. After 4, 12 and 24 h, the luteinising hormone (LH) and follicle-stimulating hormone (FSH) concentrations were analysed by ELISA using species-specific antibodies.</p><p><strong>Results: </strong>Greater LH and FSH secretion was observed after the 4-24 h exposure to respective 10<sup>-11</sup>-10<sup>-8</sup> M and 10<sup>-11</sup>-10<sup>-7</sup> M concentrations of KiSS-10. Moreover, NKB and Dyn A applied in the concentration range elevated the secretion of both LH and FSH throughout the experiment. Dynorphin A had the most significant effect on gonadotropin secretion at all the concentrations used. In contrast, the most pronounced dose-dependent neuropeptide effect throughout the experiment on the FSH secretion was attributed to NKB.</p><p><strong>Conclusion: </strong>Kisspeptin-10, NKB and Dyn A had a direct impact on gonadotropin secretion by ovine pituitary cells. However, a detailed explanation of their role in gonadotropin secretion by the anterior pituitary gland in sheep and of their impact on the regulation of the HPO axis during sexual maturation or in the pathomechanism of delayed puberty require further studies.</p>","PeriodicalId":17617,"journal":{"name":"Journal of Veterinary Research","volume":"69 1","pages":"121-129"},"PeriodicalIF":1.5000,"publicationDate":"2025-01-31","publicationTypes":"Journal Article","fieldsOfStudy":null,"isOpenAccess":false,"openAccessPdf":"https://www.ncbi.nlm.nih.gov/pmc/articles/PMC11936093/pdf/","citationCount":"0","resultStr":null,"platform":"Semanticscholar","paperid":null,"PeriodicalName":"Journal of Veterinary Research","FirstCategoryId":"97","ListUrlMain":"https://doi.org/10.2478/jvetres-2025-0003","RegionNum":3,"RegionCategory":"农林科学","ArticlePicture":[],"TitleCN":null,"AbstractTextCN":null,"PMCID":null,"EPubDate":"2025/3/1 0:00:00","PubModel":"eCollection","JCR":"Q2","JCRName":"VETERINARY SCIENCES","Score":null,"Total":0}
引用次数: 0

Abstract

Introduction: The hypothalamic neuropeptides kisspeptin-10 (KiSS-10), neurokinin B (NKB), and dynorphin A (Dyn A) play roles in the endocrine regulation of the hypothalamic-pituitary-ovarian (HPO) axis in puberty. Livestock's timely attainment of sexual maturity increases reproductive efficiency and raises profitability. The pituitary relationship between these neuropeptides and gonadotropins in puberty in ewes being undercharacterised. The aim of the study was to analyse their direct effect on gonadotropin secretion by pituitary cells isolated from pubescent ewes.

Material and methods: Cells were incubated in McCoy's 5A medium, either without neuropeptides (as the control) or with 10-11, 10-10, 10-9, 10-8 and 10-7 M of KiSS-10, NKB and Dyn A. After 4, 12 and 24 h, the luteinising hormone (LH) and follicle-stimulating hormone (FSH) concentrations were analysed by ELISA using species-specific antibodies.

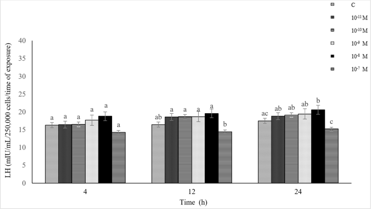
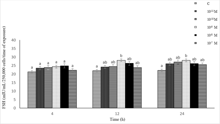
Results: Greater LH and FSH secretion was observed after the 4-24 h exposure to respective 10-11-10-8 M and 10-11-10-7 M concentrations of KiSS-10. Moreover, NKB and Dyn A applied in the concentration range elevated the secretion of both LH and FSH throughout the experiment. Dynorphin A had the most significant effect on gonadotropin secretion at all the concentrations used. In contrast, the most pronounced dose-dependent neuropeptide effect throughout the experiment on the FSH secretion was attributed to NKB.

Conclusion: Kisspeptin-10, NKB and Dyn A had a direct impact on gonadotropin secretion by ovine pituitary cells. However, a detailed explanation of their role in gonadotropin secretion by the anterior pituitary gland in sheep and of their impact on the regulation of the HPO axis during sexual maturation or in the pathomechanism of delayed puberty require further studies.

Abstract Image

Abstract Image

Abstract Image

神经激肽B、促啡肽A和kisspeptin-10对短毛母羊垂体前叶细胞体外分泌促性腺激素的影响。
下丘脑神经肽kisspeptin-10 (KiSS-10)、neurokinin B (NKB)和dynorphin A (Dyn A)参与青春期下丘脑-垂体-卵巢(HPO)轴的内分泌调节。牲畜及时达到性成熟可以提高繁殖效率和盈利能力。这些神经肽和促性腺激素在母羊青春期之间的垂体关系尚不清楚。本研究的目的是分析它们对短毛母羊垂体细胞分泌促性腺激素的直接影响。材料和方法:细胞在McCoy's 5A培养基中孵育,不含神经肽(对照组)或加入10-11、10-10、10-10、10-9、10-8和10-7 M的KiSS-10、NKB和Dyn a, 4、12和24 h后,用ELISA法检测黄体生成素(LH)和促卵泡激素(FSH)浓度。结果:分别暴露于10-11-10-8 M和10-11-10-7 M浓度的KiSS-10 4-24 h后,促黄体生成素和促卵泡刺激素分泌增加。此外,在浓度范围内应用NKB和Dyn A使整个实验过程中LH和FSH的分泌均升高。在所有使用的浓度下,动力啡A对促性腺激素分泌的影响最为显著。相反,在整个实验中,对FSH分泌最明显的剂量依赖性神经肽效应归因于NKB。结论:Kisspeptin-10、NKB和Dyn A对绵羊垂体细胞分泌促性腺激素有直接影响。然而,它们在绵羊垂体前叶分泌促性腺激素中的作用,以及它们在性成熟过程中对HPO轴的调节或青春期延迟的病理机制的影响,还需要进一步的研究来详细解释。
本文章由计算机程序翻译,如有差异,请以英文原文为准。
求助全文
约1分钟内获得全文 求助全文
来源期刊
Journal of Veterinary Research
Journal of Veterinary Research Veterinary-General Veterinary
CiteScore
0.90
自引率
5.60%
发文量
58
审稿时长
18 weeks
期刊介绍: Journal of Veterinary Research (formerly Bulletin of the Veterinary Institute in Pulawy) is a quarterly that publishes original papers, review articles and short communications on bacteriology, virology, parasitology, immunology, molecular biology, pathology, toxicology, pharmacology, and biochemistry. The main emphasis is, however, on infectious diseases of animals, food safety and public health, and clinical sciences.
×
引用
GB/T 7714-2015
复制
MLA
复制
APA
复制
导出至
BibTeX EndNote RefMan NoteFirst NoteExpress
×
提示
您的信息不完整,为了账户安全,请先补充。
现在去补充
×
提示
您因"违规操作"
具体请查看互助需知
我知道了
×
提示
确定
请完成安全验证×
copy
已复制链接
快去分享给好友吧!
我知道了
右上角分享
点击右上角分享
0
联系我们:info@booksci.cn Book学术提供免费学术资源搜索服务,方便国内外学者检索中英文文献。致力于提供最便捷和优质的服务体验。 Copyright © 2023 布克学术 All rights reserved.
京ICP备2023020795号-1
ghs 京公网安备 11010802042870号
Book学术文献互助
Book学术文献互助群
群 号:604180095
Book学术官方微信