Genetics and clinical implications of SPINK1 in the pancreatitis continuum and pancreatic cancer.

IF 4.3 3区 医学 Q2 GENETICS & HEREDITY
Qi-Wen Wang, Wen-Bin Zou, Emmanuelle Masson, Claude Férec, Zhuan Liao, Jian-Min Chen
{"title":"Genetics and clinical implications of SPINK1 in the pancreatitis continuum and pancreatic cancer.","authors":"Qi-Wen Wang, Wen-Bin Zou, Emmanuelle Masson, Claude Férec, Zhuan Liao, Jian-Min Chen","doi":"10.1186/s40246-025-00740-x","DOIUrl":null,"url":null,"abstract":"<p><p>Serine peptidase inhibitor, Kazal type 1 (SPINK1), a 56-amino-acid protein in its mature form, was among the first pancreatic enzymes to be extensively characterized biochemically and functionally. Synthesized primarily in pancreatic acinar cells and traditionally known as pancreatic secretory trypsin inhibitor, SPINK1 protects the pancreas by inhibiting prematurely activated trypsin. Since 2000, interest in SPINK1 has resurged following the discovery of genetic variants linked to chronic pancreatitis (CP). This review provides a historical overview of SPINK1's discovery, function, and gene structure before examining key genetic findings. We highlight three variants with well-characterized pathogenic mechanisms: c.-4141G > T, a causative enhancer variant linked to the extensively studied p.Asn34Ser (c.101A > G), which disrupts a PTF1L-binding site within an evolutionarily conserved HNF1A-PTF1L cis-regulatory module; c.194 + 2T > C, a canonical 5' splice site GT > GC variant that retains 10% of wild-type transcript production; and an Alu insertion in the 3'-untranslated region, which causes complete loss of function by forming extended double-stranded RNA structures with pre-existing Alu elements in deep intronic regions. We emphasize the integration of a full-length gene splicing assay (FLGSA) with SpliceAI's predictive capabilities, establishing SPINK1 the first disease gene for which the splicing impact of all possible coding variants was prospectively determined. Findings from both mouse models and genetic association studies support the sentinel acute pancreatitis event (SAPE) model, which explains the progression from acute pancreatitis to CP. Additionally, SPINK1 variants may contribute to an increased risk of pancreatic ductal adenocarcinoma (PDAC). Finally, we discuss the therapeutic potential of SPINK1, particularly through adeno-associated virus type 8 (AAV8)-mediated overexpression of SPINK1 as a strategy for treating and preventing pancreatitis, and highlight key areas for future research.</p>","PeriodicalId":13183,"journal":{"name":"Human Genomics","volume":"19 1","pages":"32"},"PeriodicalIF":4.3000,"publicationDate":"2025-03-26","publicationTypes":"Journal Article","fieldsOfStudy":null,"isOpenAccess":false,"openAccessPdf":"https://www.ncbi.nlm.nih.gov/pmc/articles/PMC11948977/pdf/","citationCount":"0","resultStr":null,"platform":"Semanticscholar","paperid":null,"PeriodicalName":"Human Genomics","FirstCategoryId":"3","ListUrlMain":"https://doi.org/10.1186/s40246-025-00740-x","RegionNum":3,"RegionCategory":"医学","ArticlePicture":[],"TitleCN":null,"AbstractTextCN":null,"PMCID":null,"EPubDate":"","PubModel":"","JCR":"Q2","JCRName":"GENETICS & HEREDITY","Score":null,"Total":0}
引用次数: 0

Abstract

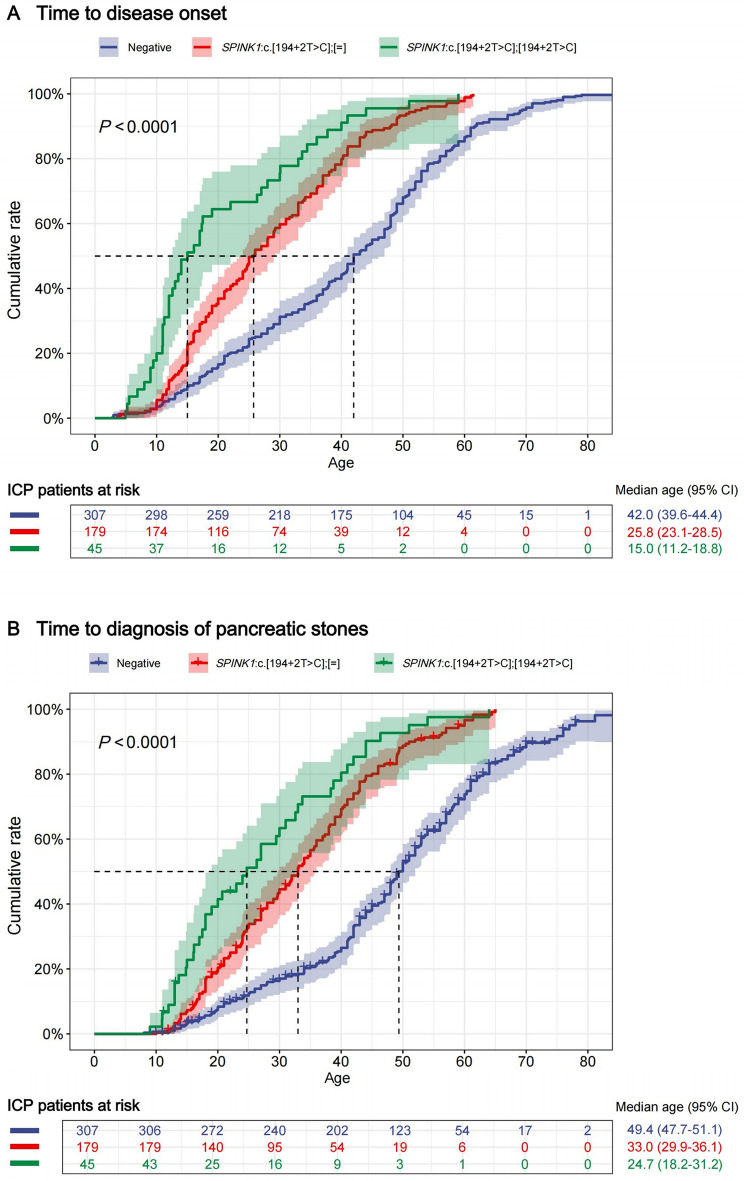
Serine peptidase inhibitor, Kazal type 1 (SPINK1), a 56-amino-acid protein in its mature form, was among the first pancreatic enzymes to be extensively characterized biochemically and functionally. Synthesized primarily in pancreatic acinar cells and traditionally known as pancreatic secretory trypsin inhibitor, SPINK1 protects the pancreas by inhibiting prematurely activated trypsin. Since 2000, interest in SPINK1 has resurged following the discovery of genetic variants linked to chronic pancreatitis (CP). This review provides a historical overview of SPINK1's discovery, function, and gene structure before examining key genetic findings. We highlight three variants with well-characterized pathogenic mechanisms: c.-4141G > T, a causative enhancer variant linked to the extensively studied p.Asn34Ser (c.101A > G), which disrupts a PTF1L-binding site within an evolutionarily conserved HNF1A-PTF1L cis-regulatory module; c.194 + 2T > C, a canonical 5' splice site GT > GC variant that retains 10% of wild-type transcript production; and an Alu insertion in the 3'-untranslated region, which causes complete loss of function by forming extended double-stranded RNA structures with pre-existing Alu elements in deep intronic regions. We emphasize the integration of a full-length gene splicing assay (FLGSA) with SpliceAI's predictive capabilities, establishing SPINK1 the first disease gene for which the splicing impact of all possible coding variants was prospectively determined. Findings from both mouse models and genetic association studies support the sentinel acute pancreatitis event (SAPE) model, which explains the progression from acute pancreatitis to CP. Additionally, SPINK1 variants may contribute to an increased risk of pancreatic ductal adenocarcinoma (PDAC). Finally, we discuss the therapeutic potential of SPINK1, particularly through adeno-associated virus type 8 (AAV8)-mediated overexpression of SPINK1 as a strategy for treating and preventing pancreatitis, and highlight key areas for future research.

Abstract Image

Abstract Image

Abstract Image

SPINK1在胰腺炎连续体和胰腺癌中的遗传学和临床意义。
丝氨酸肽酶抑制剂Kazal 1型(SPINK1)是一种56个氨基酸的成熟蛋白,是第一批被广泛研究的生化和功能酶。SPINK1主要在胰腺腺泡细胞中合成,传统上被称为胰腺分泌型胰蛋白酶抑制剂,通过抑制过早激活的胰蛋白酶来保护胰腺。自2000年以来,随着发现与慢性胰腺炎(CP)相关的遗传变异,对SPINK1的兴趣重新燃起。本文综述了SPINK1基因的发现、功能和基因结构的历史,并分析了主要的遗传发现。我们强调了三种具有明确致病机制的变异:c - 4141g > T,一种与广泛研究的p.Asn34Ser (c.101A > G)相关的致病增强子变异,它破坏了进化上保守的HNF1A-PTF1L顺式调控模块中的ptf1l结合位点;C .194 + 2T > C,一个典型的5'剪接位点GT > GC变体,保留了10%的野生型转录产物;以及在3'-非翻译区插入Alu,这通过在深层内含子区与预先存在的Alu元件形成延长的双链RNA结构而导致功能完全丧失。我们强调将全长基因剪接试验(FLGSA)与SpliceAI的预测能力相结合,建立了SPINK1,这是第一个能够前瞻性地确定所有可能编码变体剪接影响的疾病基因。小鼠模型和遗传关联研究的结果都支持前哨急性胰腺炎事件(SAPE)模型,该模型解释了从急性胰腺炎到CP的进展。此外,SPINK1变异可能导致胰腺导管腺癌(PDAC)的风险增加。最后,我们讨论了SPINK1的治疗潜力,特别是通过腺相关病毒8型(AAV8)介导的SPINK1过表达作为治疗和预防胰腺炎的策略,并强调了未来研究的重点领域。
本文章由计算机程序翻译,如有差异,请以英文原文为准。
求助全文
约1分钟内获得全文 求助全文
来源期刊
Human Genomics
Human Genomics GENETICS & HEREDITY-
CiteScore
6.00
自引率
2.20%
发文量
55
审稿时长
11 weeks
期刊介绍: Human Genomics is a peer-reviewed, open access, online journal that focuses on the application of genomic analysis in all aspects of human health and disease, as well as genomic analysis of drug efficacy and safety, and comparative genomics. Topics covered by the journal include, but are not limited to: pharmacogenomics, genome-wide association studies, genome-wide sequencing, exome sequencing, next-generation deep-sequencing, functional genomics, epigenomics, translational genomics, expression profiling, proteomics, bioinformatics, animal models, statistical genetics, genetic epidemiology, human population genetics and comparative genomics.
×
引用
GB/T 7714-2015
复制
MLA
复制
APA
复制
导出至
BibTeX EndNote RefMan NoteFirst NoteExpress
×
提示
您的信息不完整,为了账户安全,请先补充。
现在去补充
×
提示
您因"违规操作"
具体请查看互助需知
我知道了
×
提示
确定
请完成安全验证×
copy
已复制链接
快去分享给好友吧!
我知道了
右上角分享
点击右上角分享
0
联系我们:info@booksci.cn Book学术提供免费学术资源搜索服务,方便国内外学者检索中英文文献。致力于提供最便捷和优质的服务体验。 Copyright © 2023 布克学术 All rights reserved.
京ICP备2023020795号-1
ghs 京公网安备 11010802042870号
Book学术文献互助
Book学术文献互助群
群 号:604180095
Book学术官方微信