Longitudinal assessment of measured and estimated glomerular filtration-rate in autosomal dominant polycystic kidney disease: Real practice experience.

Juan M Fernandez, José C Rodriguez-Pérez, M Mercedes Lorenzo-Medina, Fancisco Rodriguez-Esparragon, Juan C Quevedo-Reina, Carmen R Hernandez-Socorro
{"title":"Longitudinal assessment of measured and estimated glomerular filtration-rate in autosomal dominant polycystic kidney disease: Real practice experience.","authors":"Juan M Fernandez, José C Rodriguez-Pérez, M Mercedes Lorenzo-Medina, Fancisco Rodriguez-Esparragon, Juan C Quevedo-Reina, Carmen R Hernandez-Socorro","doi":"10.5527/wjn.v14.i1.99044","DOIUrl":null,"url":null,"abstract":"<p><strong>Background: </strong>Equations for estimation glomerular filtration rate (eGFR) have been associated with poor clinical performance and their clinical accuracy and reliability have been called into question.</p><p><strong>Aim: </strong>To assess the longitudinal changes in measured glomerular filtration rate (mGFR) in patients with autosomal dominant polycystic kidney disease (ADPKD).</p><p><strong>Methods: </strong>Analysis of an ambispective data base conducted on consecutive patients diagnosed with ADPKD. The mGFR was assessed by iohexol clearance; while eGFR was calculated by three different formulas: (1) The chronic kidney disease epidemiology collaboration (CKD-EPI); (2) Modification of diet in renal disease (MDRD); and (3) The 24-hour urine creatinine clearance (CrCl). The primary end-points were the mean change in mGFR between the baseline and final visit, as well as the comparison of the mean change in mGFR with the change estimated by the different formulas.</p><p><strong>Results: </strong>Thirty-seven patients were included in the study. As compared to baseline, month-6 mGFR was significantly decrease by -4.4 mL/minute ± 10.3 mL/minute (<i>P</i> = 0.0132). However, the CKD-EPI, MDRD, and CrCl formulas underestimated this change by 48.3%, 89.0%, and 45.8% respectively, though none of these differences reached statistical significance (<i>P</i> = 0.3647; <i>P</i> = 0.0505; and <i>P</i> = 0.736, respectively). The discrepancies between measured and estimated glomerular filtration rate values, as evaluated by CKD-EPI (<i>r</i> = 0.29, <i>P</i> = 0.086); MDRD (<i>r</i> = 0.19, <i>P</i> = 0.272); and CrCl (<i>r</i> = 0.09, <i>P</i> = 0.683), were not correlated with baseline mGFR values.</p><p><strong>Conclusion: </strong>This study indicated that eGFR inaccurately reflects the decline in mGFR and cannot reliably track changes over time. This poses significant challenges for clinical decision-making, particularly in treatment strategies.</p>","PeriodicalId":94272,"journal":{"name":"World journal of nephrology","volume":"14 1","pages":"99044"},"PeriodicalIF":0.0000,"publicationDate":"2025-03-25","publicationTypes":"Journal Article","fieldsOfStudy":null,"isOpenAccess":false,"openAccessPdf":"https://www.ncbi.nlm.nih.gov/pmc/articles/PMC11755237/pdf/","citationCount":"0","resultStr":null,"platform":"Semanticscholar","paperid":null,"PeriodicalName":"World journal of nephrology","FirstCategoryId":"1085","ListUrlMain":"https://doi.org/10.5527/wjn.v14.i1.99044","RegionNum":0,"RegionCategory":null,"ArticlePicture":[],"TitleCN":null,"AbstractTextCN":null,"PMCID":null,"EPubDate":"","PubModel":"","JCR":"","JCRName":"","Score":null,"Total":0}
引用次数: 0

Abstract

Background: Equations for estimation glomerular filtration rate (eGFR) have been associated with poor clinical performance and their clinical accuracy and reliability have been called into question.

Aim: To assess the longitudinal changes in measured glomerular filtration rate (mGFR) in patients with autosomal dominant polycystic kidney disease (ADPKD).

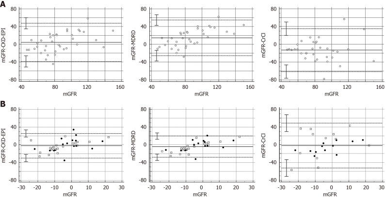
Methods: Analysis of an ambispective data base conducted on consecutive patients diagnosed with ADPKD. The mGFR was assessed by iohexol clearance; while eGFR was calculated by three different formulas: (1) The chronic kidney disease epidemiology collaboration (CKD-EPI); (2) Modification of diet in renal disease (MDRD); and (3) The 24-hour urine creatinine clearance (CrCl). The primary end-points were the mean change in mGFR between the baseline and final visit, as well as the comparison of the mean change in mGFR with the change estimated by the different formulas.

Results: Thirty-seven patients were included in the study. As compared to baseline, month-6 mGFR was significantly decrease by -4.4 mL/minute ± 10.3 mL/minute (P = 0.0132). However, the CKD-EPI, MDRD, and CrCl formulas underestimated this change by 48.3%, 89.0%, and 45.8% respectively, though none of these differences reached statistical significance (P = 0.3647; P = 0.0505; and P = 0.736, respectively). The discrepancies between measured and estimated glomerular filtration rate values, as evaluated by CKD-EPI (r = 0.29, P = 0.086); MDRD (r = 0.19, P = 0.272); and CrCl (r = 0.09, P = 0.683), were not correlated with baseline mGFR values.

Conclusion: This study indicated that eGFR inaccurately reflects the decline in mGFR and cannot reliably track changes over time. This poses significant challenges for clinical decision-making, particularly in treatment strategies.

Abstract Image

Abstract Image

Abstract Image

常染色体显性多囊肾病肾小球滤过率测量和估计的纵向评估:实际实践经验。
背景:估算肾小球滤过率(eGFR)的公式与较差的临床表现有关,其临床准确性和可靠性受到质疑。目的:探讨常染色体显性多囊肾病(ADPKD)患者肾小球滤过率(mGFR)的纵向变化。方法:对连续诊断为ADPKD的患者进行双视角数据库分析。通过碘己醇清除率评估mGFR;eGFR采用三种不同的计算公式:(1)慢性肾脏疾病流行病学合作(CKD-EPI);(2)肾病(MDRD)患者饮食调整;24小时尿肌酐清除率(CrCl)。主要终点是基线和最终访视之间mGFR的平均变化,以及mGFR的平均变化与不同公式估计的变化的比较。结果:37例患者纳入研究。与基线相比,第6个月mGFR显著降低-4.4 mL/min±10.3 mL/min (P = 0.0132)。然而,CKD-EPI、MDRD和CrCl公式分别低估了48.3%、89.0%和45.8%的变化,尽管这些差异都没有达到统计学意义(P = 0.3647;P = 0.0505;P = 0.736)。用CKD-EPI评估肾小球滤过率的测量值与估计值之间的差异(r = 0.29, P = 0.086);MDRD (r = 0.19, P = 0.272);CrCl (r = 0.09, P = 0.683)与基线mGFR值无关。结论:本研究表明eGFR不能准确反映mGFR的下降,不能可靠地跟踪随时间的变化。这对临床决策,特别是治疗策略提出了重大挑战。
本文章由计算机程序翻译,如有差异,请以英文原文为准。
求助全文
约1分钟内获得全文 求助全文
来源期刊
CiteScore
3.40
自引率
0.00%
发文量
0
×
引用
GB/T 7714-2015
复制
MLA
复制
APA
复制
导出至
BibTeX EndNote RefMan NoteFirst NoteExpress
×
提示
您的信息不完整,为了账户安全,请先补充。
现在去补充
×
提示
您因"违规操作"
具体请查看互助需知
我知道了
×
提示
确定
请完成安全验证×
copy
已复制链接
快去分享给好友吧!
我知道了
右上角分享
点击右上角分享
0
联系我们:info@booksci.cn Book学术提供免费学术资源搜索服务,方便国内外学者检索中英文文献。致力于提供最便捷和优质的服务体验。 Copyright © 2023 布克学术 All rights reserved.
京ICP备2023020795号-1
ghs 京公网安备 11010802042870号
Book学术文献互助
Book学术文献互助群
群 号:604180095
Book学术官方微信