Sleep Timing Across the Lifespan of Australian Adults.

IF 2.1 Q3 CLINICAL NEUROLOGY
Gabrielle Rigney, Matthew Browne, Charli Sargent, Michele Lastella
{"title":"Sleep Timing Across the Lifespan of Australian Adults.","authors":"Gabrielle Rigney, Matthew Browne, Charli Sargent, Michele Lastella","doi":"10.3390/clockssleep7010016","DOIUrl":null,"url":null,"abstract":"<p><p>The aim of this study was to examine sleep timing across the lifespan of Australian adults. A cross-sectional design was used to collect information on subjective sleep timing from 1225 participants (52.3% female) during a telephone interview. The participants were aged from 18 to over 80 and were grouped according to their age using 10-year increments (e.g., 18-29 y, 30-39 y, etc.). There was a diverse distribution across the lifespans, with the largest proportion of participants being from the 60-69 age group (22.8%). Participants were predominantly from New South Wales, Queensland, and Victoria. Younger adults reported going to bed later (<i>p</i> < 0.001) and waking up later than other age groups (<i>p</i> < 0.001). Wake times were earliest during middle adulthood (<i>p</i> < 0.001). There was no significant age effect on the minimum sleep required for good health (<i>p</i> = 0.159) and only a marginal decrease with age in the amount of sleep required to maintain a good mood (<i>p</i> = 0.041). In conclusion, these findings highlight significant variations in sleep timing across younger, middle-aged, and older Australian adults. The current findings could inform future Australian sleep health campaigns, in which the goal is to provide targeted strategies for age groups across their lifespans.</p>","PeriodicalId":33568,"journal":{"name":"Clocks & Sleep","volume":"7 1","pages":""},"PeriodicalIF":2.1000,"publicationDate":"2025-03-20","publicationTypes":"Journal Article","fieldsOfStudy":null,"isOpenAccess":false,"openAccessPdf":"https://www.ncbi.nlm.nih.gov/pmc/articles/PMC11940972/pdf/","citationCount":"0","resultStr":null,"platform":"Semanticscholar","paperid":null,"PeriodicalName":"Clocks & Sleep","FirstCategoryId":"1085","ListUrlMain":"https://doi.org/10.3390/clockssleep7010016","RegionNum":0,"RegionCategory":null,"ArticlePicture":[],"TitleCN":null,"AbstractTextCN":null,"PMCID":null,"EPubDate":"","PubModel":"","JCR":"Q3","JCRName":"CLINICAL NEUROLOGY","Score":null,"Total":0}
引用次数: 0

Abstract

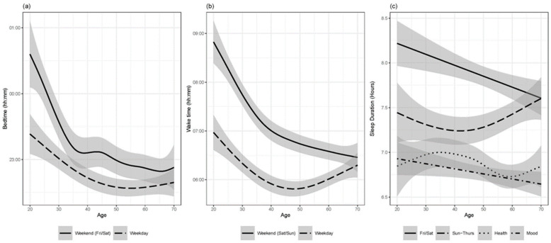
The aim of this study was to examine sleep timing across the lifespan of Australian adults. A cross-sectional design was used to collect information on subjective sleep timing from 1225 participants (52.3% female) during a telephone interview. The participants were aged from 18 to over 80 and were grouped according to their age using 10-year increments (e.g., 18-29 y, 30-39 y, etc.). There was a diverse distribution across the lifespans, with the largest proportion of participants being from the 60-69 age group (22.8%). Participants were predominantly from New South Wales, Queensland, and Victoria. Younger adults reported going to bed later (p < 0.001) and waking up later than other age groups (p < 0.001). Wake times were earliest during middle adulthood (p < 0.001). There was no significant age effect on the minimum sleep required for good health (p = 0.159) and only a marginal decrease with age in the amount of sleep required to maintain a good mood (p = 0.041). In conclusion, these findings highlight significant variations in sleep timing across younger, middle-aged, and older Australian adults. The current findings could inform future Australian sleep health campaigns, in which the goal is to provide targeted strategies for age groups across their lifespans.

Abstract Image

澳大利亚成年人一生中的睡眠时间。
这项研究的目的是研究澳大利亚成年人一生中的睡眠时间。采用横断面设计,通过电话采访收集1225名参与者(52.3%为女性)的主观睡眠时间信息。参与者的年龄从18岁到80岁以上,并根据他们的年龄以10年为单位进行分组(例如,18-29岁,30-39岁等)。不同年龄段的参与者分布各异,60-69岁年龄组的参与者比例最大(22.8%)。参与者主要来自新南威尔士州、昆士兰州和维多利亚州。与其他年龄组相比,年轻人睡得晚(p < 0.001),醒得晚(p < 0.001)。中年醒来时间最长(p < 0.001)。保持健康所需的最低睡眠时间没有明显的年龄影响(p = 0.159),保持好心情所需的睡眠时间随着年龄的增长略有下降(p = 0.041)。总之,这些发现强调了澳大利亚年轻人、中年人和老年人睡眠时间的显著差异。目前的研究结果可以为澳大利亚未来的睡眠健康运动提供信息,其目标是为各个年龄段的人提供有针对性的策略。
本文章由计算机程序翻译,如有差异,请以英文原文为准。
求助全文
约1分钟内获得全文 求助全文
来源期刊
Clocks & Sleep
Clocks & Sleep Multiple-
CiteScore
4.40
自引率
0.00%
发文量
0
审稿时长
7 weeks
×
引用
GB/T 7714-2015
复制
MLA
复制
APA
复制
导出至
BibTeX EndNote RefMan NoteFirst NoteExpress
×
提示
您的信息不完整,为了账户安全,请先补充。
现在去补充
×
提示
您因"违规操作"
具体请查看互助需知
我知道了
×
提示
确定
请完成安全验证×
copy
已复制链接
快去分享给好友吧!
我知道了
右上角分享
点击右上角分享
0
联系我们:info@booksci.cn Book学术提供免费学术资源搜索服务,方便国内外学者检索中英文文献。致力于提供最便捷和优质的服务体验。 Copyright © 2023 布克学术 All rights reserved.
京ICP备2023020795号-1
ghs 京公网安备 11010802042870号
Book学术文献互助
Book学术文献互助群
群 号:604180095
Book学术官方微信