A Cohort Study of the Long-Term Influences of SARS-CoV-2 on Kidney Allograft Outcomes in Chinese Recipients: 1-Year Follow-Up Experience.

IF 3.1 4区 医学 Q1 UROLOGY & NEPHROLOGY
Kidney Diseases Pub Date : 2025-02-12 eCollection Date: 2025-01-01 DOI:10.1159/000543935
Yisheng Ji, Shuang Fei, Hongsheng Ji, Fan OuYang, Runmin Ding, Li Sun, Hao Chen, Xiaobing Ju, Jun Tao, Zhijian Han, Mulong Du, Zijie Wang, Ruoyun Tan, Min Gu
{"title":"A Cohort Study of the Long-Term Influences of SARS-CoV-2 on Kidney Allograft Outcomes in Chinese Recipients: 1-Year Follow-Up Experience.","authors":"Yisheng Ji, Shuang Fei, Hongsheng Ji, Fan OuYang, Runmin Ding, Li Sun, Hao Chen, Xiaobing Ju, Jun Tao, Zhijian Han, Mulong Du, Zijie Wang, Ruoyun Tan, Min Gu","doi":"10.1159/000543935","DOIUrl":null,"url":null,"abstract":"<p><strong>Introduction: </strong>The aim of the study was to investigate the long-term effects of the novel severe acute respiratory syndrome coronavirus (SARS-CoV-2) infection and novel coronavirus disease (COVID-19) on prognosis of kidney transplant recipients.</p><p><strong>Methods: </strong>A 1-year retrospective study was carried out among 362 domestic kidney transplant recipients who were divided into observational (COVID-19) and control groups. Stratification analysis was then carried out to investigate whether repeated infections and infection severity could influence graft prognosis. Kaplan-Meier curves assessed 1-year graft survival, while one-way analysis of variance (ANOVA) compared graft function and laboratory parameters. Generalized estimating equations and repeated-measures ANOVA confirmed the magnitude of the impact of COVID-19 on kidney grafts. Generalized logistic regression and Cox regression established a model for analyzing COVID-19 risk factors. Meta-analysis and subgroup analysis were performed for validation.</p><p><strong>Results: </strong>Exposure of COVID-19 had a significant effect on graft function within 1 year (<i>p</i> < 0.001), and this kind of effect was mostly brought by severer infections in the stratification analysis regarding graft survival rate (<i>p</i> < 0.001), estimated glomerular filtration rate (eGFR) level (<i>p</i> < 0.001), and 1-year eGFR slope (<i>p</i> = 0.014). Diagnostic model showed tacrolimus patients are less likely to get severe COVID-19 than cyclosporine (<i>p</i> = 0.004). Hyperglycemia (<i>p</i> = 0.004) and low hemoglobin (<i>p</i> = 0.023) are adverse factors for severe pneumonia. Hemoptysis, hypo-lymphopenia, high procalcitonin and ferritin are linked to poor allograft outcomes with SARS-CoV-2 infection.</p><p><strong>Conclusions: </strong>COVID-19 severity is linked to poor kidney allograft prognosis. Hyperglycemia, low hemoglobin, and drug protocols including cyclosporine rather than tacrolimus are correlated with COVID-19 pneumonia. Hemoptysis, low lymphocytes, high procalcitonin or ferritin were concerned with kidney allograft prognosis post-COVID-19.</p>","PeriodicalId":17830,"journal":{"name":"Kidney Diseases","volume":"11 1","pages":"128-142"},"PeriodicalIF":3.1000,"publicationDate":"2025-02-12","publicationTypes":"Journal Article","fieldsOfStudy":null,"isOpenAccess":false,"openAccessPdf":"https://www.ncbi.nlm.nih.gov/pmc/articles/PMC11936455/pdf/","citationCount":"0","resultStr":null,"platform":"Semanticscholar","paperid":null,"PeriodicalName":"Kidney Diseases","FirstCategoryId":"3","ListUrlMain":"https://doi.org/10.1159/000543935","RegionNum":4,"RegionCategory":"医学","ArticlePicture":[],"TitleCN":null,"AbstractTextCN":null,"PMCID":null,"EPubDate":"2025/1/1 0:00:00","PubModel":"eCollection","JCR":"Q1","JCRName":"UROLOGY & NEPHROLOGY","Score":null,"Total":0}
引用次数: 0

Abstract

Introduction: The aim of the study was to investigate the long-term effects of the novel severe acute respiratory syndrome coronavirus (SARS-CoV-2) infection and novel coronavirus disease (COVID-19) on prognosis of kidney transplant recipients.

Methods: A 1-year retrospective study was carried out among 362 domestic kidney transplant recipients who were divided into observational (COVID-19) and control groups. Stratification analysis was then carried out to investigate whether repeated infections and infection severity could influence graft prognosis. Kaplan-Meier curves assessed 1-year graft survival, while one-way analysis of variance (ANOVA) compared graft function and laboratory parameters. Generalized estimating equations and repeated-measures ANOVA confirmed the magnitude of the impact of COVID-19 on kidney grafts. Generalized logistic regression and Cox regression established a model for analyzing COVID-19 risk factors. Meta-analysis and subgroup analysis were performed for validation.

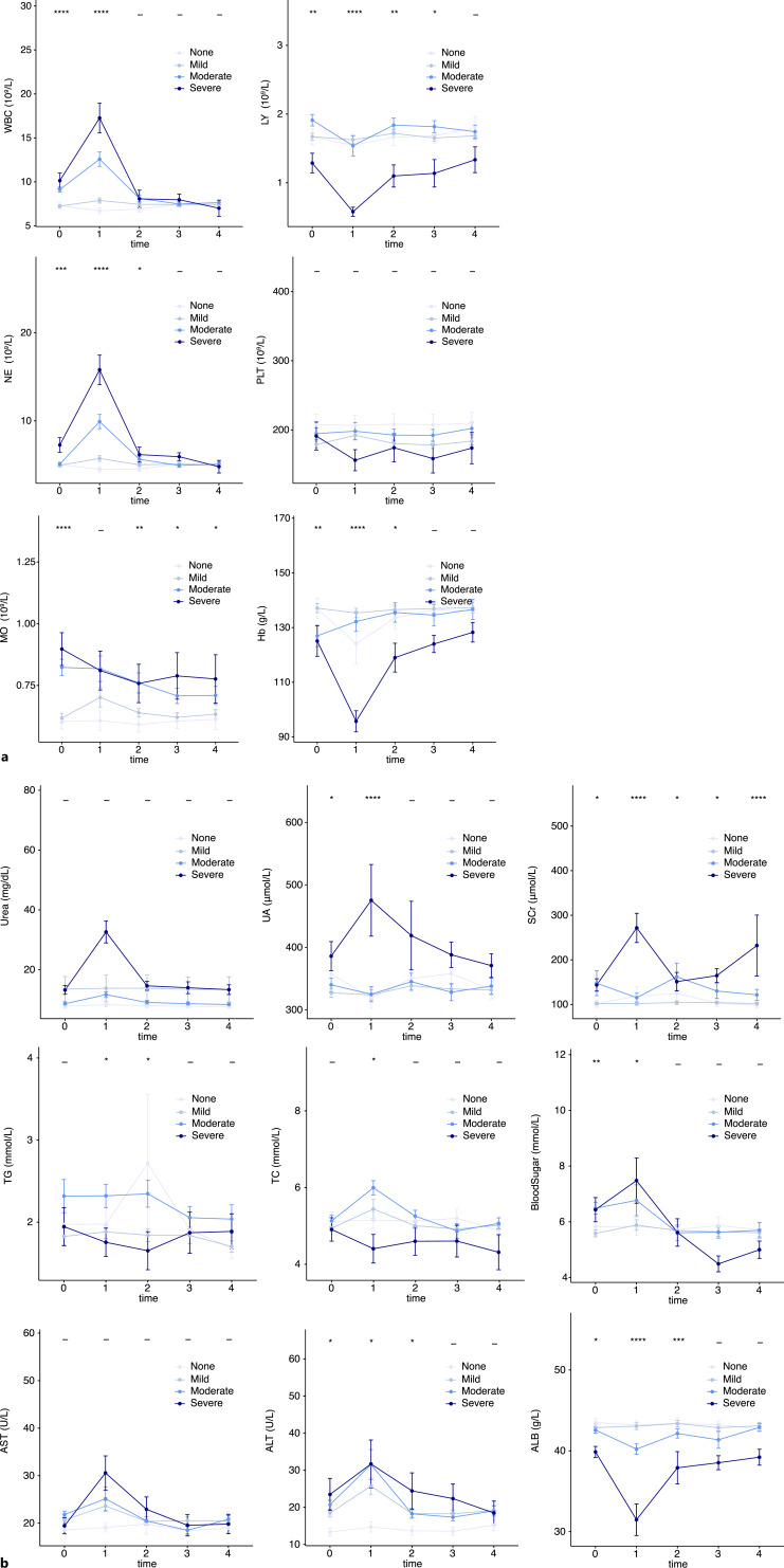
Results: Exposure of COVID-19 had a significant effect on graft function within 1 year (p < 0.001), and this kind of effect was mostly brought by severer infections in the stratification analysis regarding graft survival rate (p < 0.001), estimated glomerular filtration rate (eGFR) level (p < 0.001), and 1-year eGFR slope (p = 0.014). Diagnostic model showed tacrolimus patients are less likely to get severe COVID-19 than cyclosporine (p = 0.004). Hyperglycemia (p = 0.004) and low hemoglobin (p = 0.023) are adverse factors for severe pneumonia. Hemoptysis, hypo-lymphopenia, high procalcitonin and ferritin are linked to poor allograft outcomes with SARS-CoV-2 infection.

Conclusions: COVID-19 severity is linked to poor kidney allograft prognosis. Hyperglycemia, low hemoglobin, and drug protocols including cyclosporine rather than tacrolimus are correlated with COVID-19 pneumonia. Hemoptysis, low lymphocytes, high procalcitonin or ferritin were concerned with kidney allograft prognosis post-COVID-19.

Abstract Image

Abstract Image

Abstract Image

SARS-CoV-2对中国肾移植受者移植结果长期影响的队列研究:1年随访经验
前言:本研究旨在探讨新型严重急性呼吸综合征冠状病毒(SARS-CoV-2)感染和新型冠状病毒病(COVID-19)对肾移植受者预后的长期影响。方法:对362例国内肾移植受者进行为期1年的回顾性研究,将其分为观察组(COVID-19)和对照组。分层分析反复感染及感染严重程度对移植物预后的影响。Kaplan-Meier曲线评估1年移植物存活率,而单因素方差分析(ANOVA)比较移植物功能和实验室参数。广义估计方程和重复测量方差分析证实了COVID-19对肾移植的影响程度。广义logistic回归和Cox回归建立了COVID-19危险因素分析模型。进行meta分析和亚组分析进行验证。结果:COVID-19暴露对1年内移植物功能有显著影响(p < 0.001),且在移植物存活率(p < 0.001)、估计肾小球滤过率(eGFR)水平(p < 0.001)和1年eGFR斜率(p = 0.014)的分层分析中,这种影响主要是由严重感染带来的。诊断模型显示,他克莫司患者发生严重COVID-19的可能性低于环孢素患者(p = 0.004)。高血糖(p = 0.004)和低血红蛋白(p = 0.023)是重症肺炎的不利因素。咯血、淋巴细胞减少症、高降钙素原和高铁蛋白与SARS-CoV-2感染的同种异体移植物预后不良有关。结论:COVID-19严重程度与肾移植预后不良有关。高血糖、低血红蛋白和包括环孢素而非他克莫司在内的药物方案与COVID-19肺炎相关。咯血、低淋巴细胞、高降钙素原或高铁蛋白与covid -19术后肾移植预后有关。
本文章由计算机程序翻译,如有差异,请以英文原文为准。
求助全文
约1分钟内获得全文 求助全文
来源期刊
Kidney Diseases
Kidney Diseases UROLOGY & NEPHROLOGY-
CiteScore
6.00
自引率
2.70%
发文量
33
审稿时长
27 weeks
期刊介绍: ''Kidney Diseases'' aims to provide a platform for Asian and Western research to further and support communication and exchange of knowledge. Review articles cover the most recent clinical and basic science relevant to the entire field of nephrological disorders, including glomerular diseases, acute and chronic kidney injury, tubulo-interstitial disease, hypertension and metabolism-related disorders, end-stage renal disease, and genetic kidney disease. Special articles are prepared by two authors, one from East and one from West, which compare genetics, epidemiology, diagnosis methods, and treatment options of a disease.
×
引用
GB/T 7714-2015
复制
MLA
复制
APA
复制
导出至
BibTeX EndNote RefMan NoteFirst NoteExpress
×
提示
您的信息不完整,为了账户安全,请先补充。
现在去补充
×
提示
您因"违规操作"
具体请查看互助需知
我知道了
×
提示
确定
请完成安全验证×
copy
已复制链接
快去分享给好友吧!
我知道了
右上角分享
点击右上角分享
0
联系我们:info@booksci.cn Book学术提供免费学术资源搜索服务,方便国内外学者检索中英文文献。致力于提供最便捷和优质的服务体验。 Copyright © 2023 布克学术 All rights reserved.
京ICP备2023020795号-1
ghs 京公网安备 11010802042870号
Book学术文献互助
Book学术文献互助群
群 号:604180095
Book学术官方微信